0 引言
为了更好地强化压裂作业的增产效果,提出了一种新的波动注入水力压裂增产工艺[1],即人为地通过快速改变压裂泵组工作转速(或工作频率)的方式,实现压裂泵组“不稳定的排量和压力”输出。对该工艺的相关基础研究内容开展了前沿性的调研与研究,从理论上初步证实了该工艺在提高压裂增产效果方面具有可行性和可靠性[2-3]。
波动注入水力压裂本质上是通过快速改变排量而引起压力瞬时改变过程,与传统稳定注入时的流动压力相比,在压裂泵快速改变排量或压力阶段井筒所发生的压力波动或瞬变更为明显。由于未考虑流体重力和摩阻的影响,笔者前期的研究似乎不能更好地解释该工艺所引起的井筒不稳定流动特性,可能无法精确地揭示井筒中不稳定流动的压力传播规律,甚至难以准确地描述不稳定流动对压裂改造效果和井筒管柱动力学行为的影响机制[4-5]。尽管有部分学者研究了脉冲射流和钻井循环系统的压力波动机理[6-7],但是所描述的流体压力波动与本文所讨论的不稳定流动形成的机制不同,研究结论和认识差异较大。为此,笔者在采用波动注入水力压裂工艺的前提下,以垂直井筒连续管环空压裂为例[1, 5, 8],根据膨胀管-弹性流体理论[9-10],对上述关键科学问题进行了系统分析。这对于更好地研究和应用波动注入水力压裂工艺具有重要的理论价值和现实意义,为非稳态水力压裂工艺的先导性试验和规模化应用奠定了理论基础。
1 基本假设在波动注入水力压裂作业中,通过快速改变注入排量与压力引起井筒不稳定流动,产生压力激动。为便于分析,做如下假设:
(1) 连续管和套管是膨胀管,即井筒环形空间在压力波动下会发生明显膨胀;
(2) 井筒中流体是不可压缩的黏弹性流体;
(3) 垂直井筒中流体流动考虑重力作用;
(4) 忽略流体在地面管线中的流动时间和摩阻,仅考虑井筒中的流动时间和摩阻;
(5) 忽略井筒中连续管偏心对环空压裂摩阻和压力波动的影响。
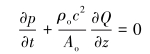
2 不稳定流动引起的压力波传播与反射机理连续管环空压裂过程中,压裂泵注入排量与压力的瞬时改变会引起井筒中不稳定流动,这种不稳定流动会引起环空压力波动,从而在环空内形成连续的不稳定压力波。当压力波沿环空管路传播时,这种压力波动(增压)使此流体所在处的环空管路断面发生膨胀,而该处流体受到压缩;随后该处流体的上游流体以同样的方式被压缩,以后依次撞击压缩,全部管路中的流体处于瞬时静止状态,此时引起的增压以波速传播到孔眼,这种情况不稳定。当压力波通过环空管路沿孔眼和裂缝通道进入地层后,被压缩的流体以最初的流速继续流向地层,使流体逐级释放,而其所在处的环空管路断面也收缩到原来的直径。上述过程将无限地重复发生,在此过程中,被压缩的流体层之间也存在反射波。但由于摩阻的存在,井筒中发生的激动过程(压力波)很快衰减,反射波也将不断减弱。上述即为井筒中不稳定流动时压力波形成、传播和反射的机理。
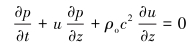
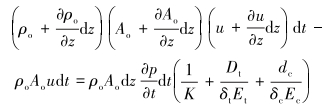
3 不稳定流动引起的压力波动模型 3.1 连续性方程对井筒中连续管取环形控制体ABCD,其长度为dz,其内有一个向下游方向传播的压力波,如图 1所示。在dt时间内流入控制体的流体质量可以表示为ρoAoudt,流出控制体的流体质量可以表示为
|
| 图 1 垂直井筒中不稳定流动示意图 Fig.1 Schematic diagram of unstable flow in a vertical wellbore |
在dt时间内,由于控制体内流体的压缩和环形空间的膨胀而能提供的流体质量增量是因在dt时间内平均压力的增加而引起,即ρoAodz
根据质量守恒定律,dt时间内流入控制体的净质量等于由于流体的压缩和环空的膨胀所能提供的质量,即:
|
(1) |
式中:p为环空流体压力,MPa,且p=p(z, t);u为环空流体流速,m/s,且u=u(z, t);ρo为环空流体密度,kg/m3;z为坐标,正方向为流体流动方向,或井深,m;t为流动时间,s;Ao为环空横截面积,m2,且
略去三阶微量,化简得:
|
(2) |
略去二阶微量(dzdt),得:
|
(3) |
根据波速方程,有
|
(4) |
式中:c为压力波波速,m/s。
流体为弹性流体,具有一定的压缩性,则有:
|
(5) |
式中:ρ′o为初始压力下的流体密度,kg/m3,此初始压力是进行压力测量的基准点。
流体密度的改变和环空面积的改变都由压力变化引起,因此有:
|
(6) |
|
(7) |
将式(6)和式(7)代入式(4)得:
|
(8) |
由于

|
(9) |
根据波速方程,则有:
|
(10) |
式(10)即为以微分形式表示的井筒中环空不稳定流动的连续性方程。
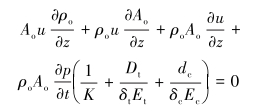
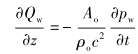
3.2 动量方程环形控制体ABCD沿z方向运动时承受4种力的作用:重力、上下控制面压差产生的力、管壁的平均压力对流体的反作用力和控制体与环空管壁之间的摩擦阻力。控制体所受的重力为:
|
(11) |
式中:dGg为控制体所受的重力,kN;g为重力加速度,m/s2。
控制体上下控制面压差所产生的力为:
|
(12) |
式中:dFp为控制体压差产生的力,kN。
环空管壁的平均压力对流体的反作用力为:
|
(13) |
式中:dFe为环空管壁的平均作用力对流体的反作用力,kN。
控制体与环空管壁之间的摩擦阻力为:
|
(14) |
式中:dFt为控制体与连续管外壁之间的摩擦力,kN;dFc为控制体与套管内壁之间的摩擦力,kN;τtco为控制体与环空管壁之间的摩擦剪切应力,MPa。
根据动量定理,作用于控制体流动方向(即z增加方向)的合力等于控制体动量变化速率,即:
|
(15) |
忽略二阶微量,则式(15)简化为:
|
(16) |
将式(16)两边除以Aodz,整理得:
|
(17) |
式中:ξ为环空管路平均水力半径,m,且ξ= 
根据全导数定义,将
|
(18) |
将式(18)代入式(17)得:
|
(19) |
根据流体摩阻范宁方程,环空注入流体的摩擦剪切应力为:
|
(20) |
式中:fo为环空流体摩阻系数,由流体流态决定。
将式(20)代入式(19),且两边除以ρo得:
|
(21) |
式(21)即为以微分形式表示的井筒中环空不稳定流动的动量方程。
式(10)和式(21)共同表示波动注入水力压裂过程中不稳定流动在会膨胀的井筒环空管路中的运动传播问题。
3.3 模型求解为了能够获得井筒压力波动的解析解,同时又不丢失不稳定流动的特性,对上述连续性方程和动量方程进行必要的简化处理。将式(10)中的非线性项





根据弹性流体理论[9],如果波速c很大,那么





垂直井筒中不稳定流动的基本方程为:
|
(22) |
|
(23) |
考虑到井筒中不稳定流动由压裂泵组不稳定的注入排量引起,将式(22)和式(23)改写为排量的形式,即:
|
(24) |
|
(25) |
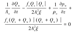
现在要解决的问题是
|
(26) |
式中:Qs为稳定状态时压裂柱塞泵组注入的排量,m3/min;Qw为波动状态时压裂柱塞泵组的脉动排量分量,m3/min。
根据偏微分定义,于是有:
|
(27) |
由于稳定状态时排量Qs在井筒z长度上不变,所以

同理有:
|
(28) |
由于稳定状态时排量Qs不随时间变化,所以

同样地,将井筒中环空压力p(z, t)看成稳定压力和脉动压力分量之和,即:
|
(29) |
式中:ps为稳定状态时井筒中的环空压力,MPa;pw为波动状态时井筒中的环空压力分量,MPa。
考虑到



|
(30) |
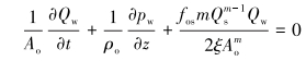
将方程(25)化为:
|
(31) |
为了便于计算分析,将摩阻系数fo看作一个常数fos。为此,必须将式(31)中的



其中,m为常数,可根据环空管壁表面粗糙度取值1.75~2.00。
根据二项式定理,将
|
(32) |
如果与Qs相比,Qw很小,那么二阶以上各项可以略去,故式(32)可写为:
|
(33) |
将式(31)代入式(29)得:
|
(34) |
于是问题转化为求解方程(30)和(34)。
联立式(30)和式(34),通过相应方程对时间t和井深z求导,得:
|
(35) |
式(35)即为波动注入水力压裂下井筒中不稳定流动的压力波方程。该方程考虑了井筒中环空压裂摩阻、波速及重力的影响。
假设波速c不变,由于摩阻的影响,虽然压力波沿井筒传播随着距离而衰减,但在井筒任意特定位置上压力波的波幅将不会发生改变,所以对于施加于井口正弦型的脉动压力而言,方程(35)的解必定是:
|
(36) |
式中:po为压力波振幅,MPa;ω为压裂柱塞泵组的工作频率,Hz。
压裂柱塞泵组的工作频率为[1]:
|
(37) |
式中:a为压裂柱塞泵组的泵数,台;k′为每台压裂柱塞泵柱塞数,个;n为每台压裂柱塞泵曲轴的转速,r/min。
将式(36)代入式(35)得:
|
(38) |
将式(38)调整为:
|
(39) |
设
|
(40) |
式中:γ为压力波传播常数。
方程(40)为谐波方程,其解的形式为:
|
(41) |
将式(41)代入式(40)得:
|
(42) |
则方程(40)的解为:
|
(43) |
式中:C1和C2为待定常数,由边界条件确定。
将式(43)代入式(36)得:
|
(44) |
式中:l为井深,m。
因此,波动注入水力压裂过程中,井筒中不稳定流动时的环空压力为:
|
(45) |
式中:pin(0)为稳定状态时井口压裂柱塞泵组输入的泵压,MPa。
式(45)即为井筒中不稳定流动时的环空压力模型。该模型描述了由于压裂泵工作转速n(或工作频率ω)的变化所引起的井筒中环空压力波的传播特性。若给定波动压力pw,则可以获得环空压力。式(45)表明,波动注入水力压裂作业过程中,在井底z=l处引起了压力激动,形成了不稳定的压力波源,为储层岩石损伤断裂和裂缝扩展提供了交变载荷依据。
为了求解波动排量Qw,对方程(44)关于时间t求导:
|
(46) |
根据方程(30)得:
|
(47) |
将式(44)代入式(45)并积分得:
|
(48) |
式(48)即为井筒中不稳定流动时正弦波动排量方程的通解。
针对波动注入水力压裂,井筒中流体的不稳定流动产生于边界条件,具体地说是井口不稳定注入的压裂泵。这种不稳定的注入必然产生沿井筒向下游传播的压力波,其前提是下游的信息对上游的状况不起作用。如果压裂中发生岩石裂缝或孔眼局部堵塞,就容易产生沿井筒-z方向向上的压力传播,会造成井筒压力激动更为严重,并且同一瞬间的激动过程会在井筒中环空管路的不同部位产生不同压力,这可能导致环空管路的不同部位的波速差异,即波速的可变性[9],从而使得井筒中不稳定流动的理论分析更加复杂而难以精确描述。
4 压裂泵快速改变频率(转速)的时间控制机制压力波在井筒环空管路系统中往返传递的周期为:
|
(49) |
式中:Tp表示压力波在井筒中传递一个往返的时间, s。
一般来说,由于压力波速c很大,压力波在井筒中往返传递时可能仅需几秒甚至更短的时间,所以对于波动注入水力压裂,如果要产生沿井筒向下游传输的持续的不稳定压力波和波动压力,那么压裂泵组改变频率(或转速)的时间要短于Tp,即调整转速的控制时间是秒级甚至毫秒级的数量级,调整非常快,这就是快速改变压裂泵频率(或转速)的机制。从这一角度来看,目前正在大规模使用的定转速、定排量的压裂泵组无法实现“快速改变频率”,从而也就无法实现“波动排量压裂”工艺,因此需要着手设计和制造新型先进的“变频压裂泵组[1]”,为加快波动注入水力压裂增产工艺的应用提供装备支撑。
5 波动干涉效应的提出传统稳定压裂过程中,压裂泵的注入排量和压力基本处于稳定状态,从而使井筒中的流体保持稳定流动,不会发生“压力升高或压力波动”现象。然而,波动注入水力压裂打破传统压裂思维,人为地通过快速改变压裂泵工作转速的方式来产生不稳定的注入排量和压力,从而在井筒中产生不稳定流动,瞬时改变流体流速,引起井筒中流体势能(压能)与动能之间的相互转换,最终在井筒中产生不稳定的“压力波动”,形成持续的“压缩-释放(反射)-传播”的不稳定压力波源,这种效应称为“波动干涉效应”,即压裂泵组注入排量和压力的波动干扰井筒中流体的压力和流动状态。
当波动干涉效应产生后,势必迫使井底压力增大且呈波动现象,施加在井壁上产生波动交变应力,容易引起井壁岩石的疲劳损伤断裂,增加岩石内部的微裂缝,从而促进井壁岩石的起裂和延伸。一旦井壁岩石破裂形成裂缝,这种波动交变应力会以脉动应力波的形式在裂缝中传播[1],不断加剧岩石疲劳损伤,延伸微裂缝并沟通天然裂缝,逐渐向井壁围岩深处扩展,可以显著增加储层波及面积,增大储层岩石的渗透性和有效裂缝改造体积,大幅度地增强压裂效果,从而提高油气井的产量。
6 应用结果与分析已知某直井井深3 641 m,采用ø139.7 mm×9.17 mm P110套管完井。采用ø50.8 mm×3.96 mm QT900连续管波动注入环空加砂压裂工艺对该井盒8下1、山12气层进行压裂改造,射孔层位约3 450.0和3 500.0 m。在环空压裂过程中,主压裂泵数a=1,柱塞数k′=3,曲轴转速n=600~2 400 r/min;稳定排量Qs=3.0 m3/min,波动排量振幅Qw0=0.2~0.4 m3/min,波动压力振幅pw0=5 MPa;压裂流体密度ρo=1.4 kg/m3。下面对比分析井筒中稳定和不稳定流动对环空波动压力和环空压力的影响规律。
6.1 稳定和不稳定流动环空波动压力与环空压力分析稳定和不稳定流动下井深3 500 m处的环空波动压力和环空压力计算结果见表 1。
| 流体名称 | 稳定流动 | 不稳定流动 | |||
| 波动压力/MPa | 环空压力/MPa | 波动压力/MPa | 环空压力/MPa | ||
| 前置液 | 0.00 | 76.53 | 1.54 | 78.07 | |
| 携砂液 | 0.00 | 79.22 | 2.72 | 81.94 | |
| 顶替液 | 0.00 | 77.92 | 1.58 | 79.50 | |
| 注:稳定排量3.0 m3/min时的井口输入泵压为50 MPa,波速为1 000 m/s,转速为1 600 r/min,流动时间1 200 s。 | |||||
由表 1可以看出,与稳定流动相比,不稳定流动下环空中的压力增大了一个波动压力数值,使井底环空压力明显增加。对于不稳定流动,当井口波动注入压力振幅为5 MPa时,压力波从井口传递到井底出现了显著的压力衰减现象,衰减幅度为60%~70%。如果要获得相同的井底环空压力,则采用波动注入方式时井口泵入压力比稳定注入方式的泵入压力小。这表明采用波动注入方式可以降低井口环空最高压裂作业压力。
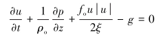
6.2 波动排量和工作转速对环空波动压力的影响所确定的井筒中环空波动压力pw的计算结果是一系列复数,其大小主要取决于工作频率ω(或工作转速n)和波动排量,因此这些复数的模数在一定的波动排量下随ω(或n)而变化。现计算不同波动排量下井深3 500 m处不同工作转速(n)下的pw模数,就可以得到|pw|随工作转速的变化曲线,如图 2所示。由图 2可以看出:相同波动排量下,随着压裂泵工作转速的增大,井筒中环空流体的不稳定流动加剧,从而引起井底环空波动压力出现明显的波动;当工作转速约为1 000和2 000 r/min时,井底环空波动压力均出现最大值;在相同工作转速下,随着波动排量的增加,井底环空波动压力显著增大。上述结果表明,压裂泵的工作转速和波动排量显著影响井底环空波动压力,容易形成井壁围岩的交变应力,有利于储层岩石的起裂和延伸。
|
| 图 2 不同波动排量下井底环空波动压力随工作转速的变化曲线 Fig.2 Change of bottom-hole annulus wave pressure with rotation speed under different wave displacements |
在井口处施加强迫激励,根据图 2就可以预测出该点的下游井筒中环空波动压力正在发展的状态。井筒中环空波动压力振幅的实际大小主要取决于井口处强迫激励的波动压力振幅和波动排量振幅,而这两个波动振幅取决于压裂泵的工作转速,因此,如果不能确定此振幅或工作转速,则无法计算最高环空波动压力。对于水力裂缝起裂,希望能够获得较高的井底环空波动压力,从而有利于快速破裂岩石和降低井口环空最高压裂作业压力,因此需要确定压裂泵快速调整的临界转速范围,以维持井底较高的环空波动压力。
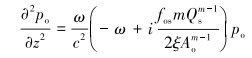
6.3 压裂时间对环空波动压力的影响图 3所示为不同波动排量下井底环空波动压力随压裂时间的变化曲线。由图 3可以看出,随着压裂时间的延长,井底环空波动压力呈波动形式,这表明井底环空波动压力会以脉动压力波的形式向裂缝内传播。波动注入压裂引起的井底环空脉动压力波通过“压缩-释放-压缩”作用施加在井壁上,使井壁岩石产生波动交变应力,从而诱导井壁岩石发生疲劳损伤破裂,促进岩石内部产生微裂缝并逐渐贯穿,增加井壁岩石的起裂和延伸能力,从而提高储层渗透率。随着波动排量的增大,这种脉动压力波的压缩、释放(反射)、叠加与波能量显著增大,容易加剧岩石的疲劳损伤,可以大幅度地增强压裂效果。因此,在波动注入水力压裂作业过程中,采用一定的波动排量压裂可以产生比传统稳定排量更好的压裂效果。
|
| 图 3 不同波动排量下井底环空波动压力随压裂时间的变化曲线 Fig.3 Change of bottom-hole annulus wave pressure with fracturing time under different wave displacements |
通过环空波动压力的变化值(峰值与谷值的差)来说明环空压力的变化,可以估计最大和最小实际环空压力发生的位置和时间,而且还要预测确定压力峰值的位置和定时问题(即压力峰值能稳定持续的时间问题)。在压裂时间处于900~1 800 s和1 800~2 700 s这两个临界范围内出现波动压力峰值,所以在该段压裂时间范围内环空压力同样处于峰值,容易使井壁围岩产生交变应力峰值,但是压力峰值或应力峰值稳定持续的时间较短。因此,需要合理确定有利于提高波动压裂效果的最佳时机。
7 结论及建议(1) 在波动注入水力压裂作业中,井筒中产生了明显的不稳定流动,这种不稳定流动引起的压力波沿井筒呈现压力衰减现象。
(2) 井筒中实际环空波动压力的振幅大小取决于井口处“变频压裂泵”强迫激励的波动压力振幅和波动排量振幅。
(3) 与稳定注入相比,采用波动注入方式可以增加井底环空压力和降低井口环空最高压裂作业压力。
(4) 水力裂缝开启后,井底环空压力会以脉动压力波的形式在裂缝中传播,不断加剧岩石疲劳损伤断裂,增加岩石微裂缝,提高储层渗透率,从而大幅改善压裂效果。
| [1] |
仝少凯, 高德利. 水力压力波动注入压裂增产工艺的力学原理[J]. 石油钻采工艺, 2018, 40(2): 265-274. TONG S K, GAO D L. Mechanical principles of hydraulic pressure fluctuation injection based on fracturing technology[J]. Oil Drilling & Production Technology, 2018, 40(2): 265-274. |
| [2] |
仝少凯, 高德利. 水力压裂基础研究进展及发展建议[J]. 石油钻采工艺, 2019, 41(1): 101-115. TONG S K, GAO D L. Basic research progress and development suggestions on hydraulic fracturing[J]. Oil Drilling & Production Technology, 2019, 41(1): 101-115. |
| [3] |
仝少凯, 高德利. 不稳定流体注入时裂缝内压力和尖端应力分析[J]. 石油机械, 2018, 46(11): 65-71. TONG S K, GAO D L. Analysis of pressure and tip stress in hydraulic fracture under unstable fluid injection condition[J]. China Petroleum Machinery, 2018, 46(11): 65-71. |
| [4] |
TONG S K, GAO D L, YUE Y F. Dynamic response of coiled tubing perforation under unstable fluid injection[J]. Arabian Journal for Science and Engineering, 2019. DOI:10.1007/s13369-019-03905-8 |
| [5] |
仝少凯, 高德利. 水力波动注入压裂下连续管的动态力学行为[J]. 石油机械, 2019, 47(6): 101-107. TONG S K, GAO D L. Dynamic mechanical behavior of coiled tubing under wave injection hydraulic fracturing[J]. China Petroleum Machinery, 2019, 47(6): 101-107. |
| [6] |
张毅, 李根生, 史怀忠, 等. 水力脉冲射流压力波动特性规律研究[J]. 石油机械, 2016, 44(2): 17-22. ZHANG Y, LI G S, SHI H Z, et al. Study on pressure fluctuation characteristics of hydraulic pulsed jet[J]. China Petroleum Machinery, 2016, 44(2): 17-22. |
| [7] |
眭越, 马青芳, 胡志坚. 连续循环钻井系统分流增压过程压力波动机理[J]. 石油机械, 2015, 43(8): 16-20. SUI Y, MA Q F, HU Z J. Pressure fluctuation mechanism of diversion and boosting process for continuous circulation drilling system[J]. China Petroleum Machinery, 2015, 43(8): 16-20. |
| [8] |
LIVESCU S, CRAIG S, AITKEN B. Coiled tubing friction in extended-reach wells[R]. SPE 179100, 2016.
|
| [9] |
FOX J A, CHENG Z Z. Hydraulic analysis of unsteady flow in pipe networks[M]. Beijing: Petroleum Industry Press, 1983: 4-38.
|
| [10] |
LIVESCU S, CRAIG S, AITKEN B. Fluid-hammer effects on coiled tubing friction in extended-reach well[J]. SPE Journal, 2017(2): 365-373. |


