2. 中国石油大学(北京)
2. China University of Petroleum(Beijing)
0 引言
近年来,结合锥形齿与常规PDC齿的优点[1-2],出现了许多布置锥形齿及常规PDC齿的混合布齿钻头,即在常规PDC钻头的齿后排同轨布置一排锥形齿,使两种齿保持一定的高度差,当前排主PDC齿受载荷较大或者发生一定量磨损时,利用锥形齿较好的吃入能力预先破碎一定量的岩石,降低齿的破岩难度,达到提升机械钻速的目的[3-4]。
虽然混合布齿PDC钻头在硬地层中表现出了良好的钻进能力,但关于混合布齿破岩机理研究的文献依然很少,主要还是集中在单齿破岩机理研究方面。在PDC齿单齿破岩机理研究方面,T.RICHARD等[5]通过单齿切削试验发现,PDC齿破岩时,随着切削深度的不同岩石存在塑性破坏及脆性破坏两种破坏机制,而且岩石处于脆性破坏模式时工具的破岩效率较高;CHE D.等[6]通过单齿切削试验研究发现,PDC齿破碎岩石时岩石内部存在压溃与开裂两种成屑机制,岩石局部应力大时呈现压溃成屑方式,而开裂成屑则由内部拉伸或剪切断裂引起;邓敏凯等[7]利用数值仿真和试验的方法对PDC齿破岩规律进行研究后发现,PDC齿上的受力周期性波动且最大接触应力大多发生在齿的边缘,前倾角为15°~20°、侧倾角为5°时破岩效果最好;CHE D.[6]、L.GERBAUD[8]和马清明等[9]基于理论分析和试验也分别建立了PDC齿的单齿受力数学模型。在锥形齿单齿破岩机理研究方面,孙源秀等[10]采用室内试验方法对单个锥形齿的破岩机理进行了研究,结果表明锥形齿的锥顶角越小越有利于吃入岩石,锥形齿倾角为15°时吃入岩石的能力较强,锥形齿与常规PDC齿破岩机理有着本质的不同;豆宁辉等[11]采用数值模拟方法对锥形齿切削岩石的破岩机理进行了研究,认为锥形齿切削岩石时切向上以剪切破坏为主、侧向上以挤压拉伸断裂破坏为主,前倾角为5°时锥形齿破岩效果最差;孙源秀等[12]采用试验方法对比研究了锥形齿与常规PDC齿的破岩效果,认为锥形齿比常规PDC齿更适用于硬地层、高钻压的钻井环境,并设计出一种混合布齿PDC钻头[4],室内试验结果表明该钻头比常规PDC钻头钻进效率有一定提高。
本文采用试验与数值模拟相结合的方法,开展了基于预破碎的岩石切削试验与分析研究。研究结果可为混合布齿PDC钻头的布齿设计提供参考。
1 试验研究 1.1 试验设备及耗材锥形齿与PDC齿组合切削试验在自行设计的单齿破岩试验台上进行。试验台主要由控制系统、切削平台及数据采集系统组成[13],如图 1所示。
|
| 图 1 单齿破岩试验台及其数据采集系统 Fig.1 Single cutter rock breaking test bench and its data acquisition system |
图 1中,岩石水平运动的负方向为x方向,切削齿所受的轴向力(Fn)方向为z方向,与x、z垂直的方向为y方向。试验时,岩石用岩石夹紧装置固定并且可沿x负方向匀速运动。切削齿固定在切削齿座上,切削倾角可在-25°~25°之间调节,切削深度可通过深度调节机构调节,调节精度可达0.01 mm。切削齿受到的岩石反作用力由标定过的三轴力传感器测量并由数据采集卡记录,力信号的采集频率为1 kHz。
试验岩样使用尺寸为100 mm×100 mm×70 mm、密度为2 448 kg/m3的白砂岩,其弹性模量、泊松比、单轴抗压强度分别为26 GPa、0.3、32 MPa。PDC齿采用现场常用的直径为13.4 mm切削齿。锥形齿的结构尺寸为:直径14.86 mm,锥顶角78°,锥顶半径2 mm,锥顶高度6 mm。
1.2 试验步骤(1) 利用单个锥形齿在倾角15°,切削速度5 mm/s,深度分别为0.3、0.6、0.9、1.2和1.5 mm条件下切削白砂岩,记录切削力的变化并收集岩屑。
(2) 锥形齿切削岩石之后,进行组合切削试验,即利用PDC齿在倾角-15°、切削深度1.5 mm及切削速度5 mm/s的切削条件下同轨切削锥形齿切削过的、带凹槽的岩石,记录此时PDC齿切削力的变化并收集岩屑。
(3) 为了更好地分析锥形齿预破碎岩石对后续PDC齿破岩及整体破岩的影响,本文设置了对照试验,即PDC单齿试验。采用单个PDC齿在倾角-15°、切削深度1.5 mm及切削速度5 mm/s的切削条件下切削白砂岩,记录其切削力变化情况并收集岩屑,最后将组合切削试验结果与PDC单齿试验结果进行对比。
2 数值模拟研究鉴于切削齿切削岩石时岩石内部的应力、应变变化及裂纹生成与扩展等过程尚不能通过试验的方法直观观测,本文对1.2节的试验进行了数值模拟研究。
2.1 模型假设(1) 将切削齿吃入、切削岩石的过程简化为切削齿在给定深度直线切削岩石的过程。
(2) 将岩石材料视为无原生裂纹的各向同性材料,忽略其不均质性。
(3) 切削齿的硬度比岩石大得多,实际上切削齿切削岩石时切削齿本身变形量极微小,因而在建立数值计算模型时将切削齿视为刚体。
2.2 切削齿及岩石材料模型数值计算模型将切削齿视为刚体,使用MAT_RIGID(020)材料模型,设置其密度为7 800 kg/m3,弹性模量为860 GPa,泊松比为0.07。
岩石材料模型的选取根据M.C.JAIME等[14-15]的研究成果,采用MAT_CSCM(159)材料模型。这种材料模型的优点在于可以很好地将实际切削时岩石内部压溃、开裂及成屑的现象表现出来,并且材料模型本身就包含了单元生死算法,无需另外设置。
2.3 边界条件、接触算法及网格划分本研究采用尺寸为25 mm×25 mm×15 mm的岩石实体模型。数值计算时,将岩石底部固定,限制其6个自由度;将岩石底面和侧面定义为无反射边界以消除应力反射对结果的不利影响;锥形齿与PDC齿均以0.8 m/s的速度切削岩石,锥形齿先于PDC齿与岩石接触并切削岩石。数值计算模型如图 2所示。
|
| 图 2 数值计算模型 Fig.2 Numerical calculation model |
切削齿与岩石的接触定义为面-面接触,法向定义为硬接触,切向采用库伦摩擦模型,静摩擦因数为0.20,动摩擦因数为0.15。
本模型中PDC齿与岩石均采用实体单元进行网格划分,岩石网格大小为1.00 mm,并对其上半部分进行网格加密,设置其网格大小为0.25 mm;切削齿网格大小均为0.50 mm。
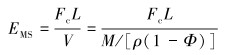
3 结果与分析 3.1 数据处理方法切削齿破碎岩石时受到的岩石作用力主要包括两部分:与切削方向相反的切削力(Fc)和与切削方向垂直的轴向力(Fn)。由于切削岩石过程中Fn不做功,只有Fc做功,所以在计算切削齿破岩效率时只考虑Fc。切削齿破岩效率以破碎单位体积岩石切削齿所做的功即机械比功来衡量,其计算式为:
|
(1) |
式中:EMS为机械比功,L为切削齿在一定时间内切削岩石的长度,V为切削掉岩石的总体积,M为切削生成岩屑总质量,ρ为岩石密度,Φ为岩石孔隙度。
EMS值越大表示破碎单位体积岩石所做功越多,即切削效率越低。实际切削过程中Fc、Fn并不是一个恒定值,并且在切削初段和末段有较大波动,因而本文通过截取中间一段较为平稳的力信号数据来计算平均值,并利用该平均值计算机械比功,结果如图 3所示。
|
| 图 3 切削齿受力变化图(切削深度0.3 mm) Fig.3 Change of the force of the cutter (cutting depth 0.3 mm) |
3.2 切削力的变化
锥形齿切削岩石时受到的Fc与Fn随着切削深度的变化而变化(见图 4)。
|
| 图 4 锥形齿受力及机械比功随切削深度的变化曲线 Fig.4 Effects of cutting depth on the force and mechanical specific work of conical cutter |
由图 4可以看出,随着切削深度的增加,Fc与Fn都呈增加趋势,其原因是切削深度的增加会导致切削截面积的增加,从而需要更大的力来破碎岩石[9]。但是,切削深度的增加反而使得机械比功下降,即切削效率得到提升,其原因是当切削深度超过临界深度时,岩石内部破坏机制由塑性破坏为主过渡到以脆性破坏为主[5]。
图 5为锥形齿在不同深度下切削岩石后的切痕及岩屑。由图 4和图 5可以看出,当切削深度由0.6 mm增加到0.9 mm时,机械比功大幅降低,且切痕周围岩石出现明显的崩塌现象,岩屑的粒度也显著增加。这表明锥形齿切削岩石时,岩石内部由塑性破坏为主过渡到脆性破坏为主的临界切削深度介于0.6~0.9 mm之间。
|
| 图 5 锥形齿在不同深度下切削岩石后的切痕及岩屑 Fig.5 Cuts and cuttings of the conical cutter after cutting rock at different depths |
组合破岩时齿受力随预破碎深度的变化曲线如图 6所示。由图 6可看出,锥形齿预破碎使后续PDC齿切削时受到的Fc与Fn变小,即PDC齿吃入地层的难度变小,且锥形齿预破碎的深度越深,Fc与Fn越小。这是因为预破碎深度增加使得PDC齿切削面积变小。此外,通过对比单个PDC齿破岩的力信号与组合切削时PDC齿的力信号后发现,后者力信号的变化幅度远小于前者,如图 7所示。
|
| 图 6 组合破岩时齿受力随预破碎深度的变化曲线 Fig.6 Effect of pre-breaking depth of conical cutter under composite rock breaking |
|
| 图 7 PDC齿单独切削及组合切削下齿受力变化对比图 Fig.7 Comparison of the force changes of the PDC cutter under individual cutting and composite cutting |
本文计算了单个PDC齿切削岩石和组合切削岩石时PDC齿力信号的标准差,结果如图 8所示。标准差越小意味着受力越平稳。从图 8可以看出,锥形齿预破碎会使后续PDC齿切削岩石的过程变得更加平稳,这有利于延长PDC齿的使用寿命。
|
| 图 8 PDC齿单独切削及组合切削下受力信号标准差 Fig.8 Standard deviation of force signal of PDC cutter under individual cutting and composite cutting |
3.3 切削效率的变化
组合切削试验时,PDC齿切削岩石的机械比功随着预破碎深度的变化曲线如图 9所示。从图 9可以看出:在锥形齿预破碎的情况下,PDC齿切削岩石时的机械比功比PDC齿单独切削岩石时的机械比功小,即PDC齿的破岩效率有所提升;随着锥形齿预破碎岩石深度的增加,PDC齿切削效率的提升越明显。
|
| 图 9 PDC齿破岩机械比功随预破碎深度的变化曲线 Fig.9 Effect of pre-breaking depth of conical cutter on mechanical specific work of PDC cutter rock breaking |
数值模拟结果如图 10和图 11所示。由图 10可以看出,锥形齿的预破碎使得周围岩石存在残余塑性变形及裂纹,降低了PDC齿的破岩难度,从而提升了其破岩效率。由图 11可以看出,锥形齿预破碎深度为1.2 mm比0.3 mm时岩石内部存在更多的残余塑性变形及裂纹,即随着预破碎深度的增加,岩石内部存在损伤的部分也增多。数值模拟情况很好地解释了试验中PDC齿切削效率随着锥形齿预破碎深度增加而提升的现象。
|
| 图 10 锥形齿预破碎后岩石内部应变云图 Fig.10 Internal strain distribution of rock after pre-breaking of conical cutter |
|
| 图 11 锥形齿不同预破碎深度下岩石内部损伤范围对比 Fig.11 Comparison of internal damage range of rock under different pre-breaking depth of conical cutter |
通过岩屑称量及各个试验最终切痕对比,无论是否存在锥形齿的预破碎,试验最终切削掉的岩石总量都基本相同。通过计算破碎等量岩石在PDC齿单独切削和组合切削两种方式下所需的总功(见图 12),组合切削的破岩方式反而使得破岩所需总功变高。这种现象可能是组合切削方式使岩屑粒度变得更小且引入了一部分摩擦功所导致。由此可见,混合布齿PDC钻头破岩的高效性并非表现在降低钻头整体破岩的功耗上,而是表现在混合布齿PDC钻头能降低破岩时PDC齿的破岩难度和延长PDC齿的使用寿命,进而提升钻头的整体性能。
|
| 图 12 不同切削条件下破碎等量岩石所做的总功 Fig.12 Total work done by breaking equal rocks under different cutting conditions |
4 结论
(1) 锥形齿的预破碎可以有效降低后续PDC齿吃入和切削岩石的难度。
(2) PDC齿切削锥形齿预破碎后的岩石时破岩效率有所提高,锥形齿的预破碎深度越深,提升效果越明显。
(3) 锥形齿对岩石的预破碎可以显著降低PDC齿受冲击的程度,从而可以延长PDC齿乃至整个钻头的使用寿命。
(4) 锥形齿与PDC齿组合切削岩石相比单个PDC齿切削岩石会增加少量的总能耗。
(5) 混合布齿PDC钻头破岩的高效性并非表现在降低钻头整体破岩的功耗上,而是表现在混合布齿PDC钻头能降低破岩时PDC齿的破岩难度、延长PDC齿的使用寿命,进而提升钻头的整体性能。
| [1] |
AL-ENEZI D, GOSWAMI B, TAKATE Y, et al. Conical diamond element on PDC bits sets new drilling performance benchmark in Northern Kuwait Field[R]. SPE 183781-MS, 2017.
|
| [2] |
童金旺. 几种典型难钻地层提速方法[J]. 石油机械, 2016, 44(12): 38-41. TONG J W. Methods of drilling speed promotion for several typical difficult drilling formations[J]. China Petroleum Machinery, 2016, 44(12): 38-41. |
| [3] |
孙源秀.锥形PDC齿破岩机理研究与新型钻头研制[D].青岛: 中国石油大学(华东), 2016. SUN Y X. Research on rock-breaking mechanism of stinger cutters and new bits development[D]. Qingdao: China University of Petroleum (Huadong), 2016. |
| [4] |
汪为涛. 非均质地层锥形辅助切削齿PDC钻头设计与试验[J]. 石油钻探技术, 2018, 46(2): 58-62. WANG W T. Design and test of a new PDC bit with tapered auxiliary cutter for heterogeneous formations[J]. Petroleum Drilling Techniques, 2018, 46(2): 58-62. |
| [5] |
RICHARD T, DETOURNAY E, DRESCHER A, et al. The scratch test as a mean to measure strength of sedimentary rocks[R]. SPE 47196-MS, 1998.
|
| [6] |
CHE D, ZHU W L, EHMANN K F. Chipping and crushing mechanisms in orthogonal rock cutting[J]. International Journal of Mechanical Sciences, 2016, 119: 224-236. |
| [7] |
邓敏凯, 伍开松, 胡伟. PDC钻头切削齿破岩仿真与试验分析[J]. 石油机械, 2014, 42(1): 10-13. DENG M K, WU K S, HU W. Rock-breaking simulation and experimental analysis of PDC bit cutter[J]. China Petroleum Machinery, 2014, 42(1): 10-13. |
| [8] |
GERBAUD L, MENAND S, SELLAMI H. PDC bits: all comes from the cutter rock interaction[R]. SPE 98988-MS, 2006.
|
| [9] |
马清明, 王瑞和. PDC切削齿破岩受力的试验研究[J]. 中国石油大学学报(自然科学版), 2006, 30(2): 45-47. MA Q M, WANG R H. Experimental study for force of PDC cutter breaking rock[J]. Journal of China University of Petroleum (Edition of Natural Science), 2006, 30(2): 45-47. |
| [10] |
孙源秀, 邹德永, 侯绪田, 等. 锥形PDC齿犁切破岩受力试验研究[J]. 石油机械, 2014, 42(9): 23-26. SUN Y X, ZOU D Y, HOU X T, et al. Test of force of conical PDC cutter during rock plow-breaking[J]. China Petroleum Machinery, 2014, 42(9): 23-26. |
| [11] |
豆宁辉, 杨顺辉. 锥形PDC齿破岩机理仿真研究[J]. 石油矿场机械, 2015, 44(11): 12-17. DOU N H, YANG S H. Simulation research of conical PDC cutter rock-breaking mechanism[J]. Oil Field Equipment, 2015, 44(11): 12-17. |
| [12] |
孙源秀, 邹德永, 徐城凯, 等. 锥形聚晶金刚石复合片钻头(PDC)齿与常规PDC齿破岩效果对比试验[J]. 科学技术与工程, 2015, 15(36): 159-162. SUN Y X, ZOU D Y, XU C K, et al. Contrast experiment on conical PDC cutter and conventional PDC cutter[J]. Science Technology and Engineering, 2015, 15(36): 159-162. |
| [13] |
刘忠, 胡伟, 缪明才, 等. PDC钻头混合布齿切削试验装置[J]. 石油机械, 2019, 47(5): 44-49. LIU Z, HU W, MIAO M C, et al. Cutting test device for PDC bit with mixed cutter arrangement[J]. China Petroleum Machinery, 2019, 47(5): 44-49. |
| [14] |
JAIME M C, ZHOU Y, LIN J S, et al. Finite element modeling of rock cutting and its fragmentation process[J]. International Journal of Rock Mechanics & Mining Sciences, 2015, 80(4): 137-146. |
| [15] |
JAIME M C. Numerical modeling of rock cutting and its associated fragmentation process using the finite element method[D]. Pittsbur: University of Pittsburgh, 2012.
|

