2. 北京市建筑安全监测工程技术研究中心;
3. 中石油川庆钻探长庆井下技术作业公司
2. Beijing Engineering Research Center of Monitoring for Construction Safety;
3. Changqing Downhole Service Company, CNPC Chuanqing Drilling Engineering Company Limited
0 引言
压裂车是进行压裂、酸化施工作业的重要装备之一,动力系统是压裂车的关键部分,具有排量大、压力高等特点,其工作状态会直接影响压裂车的工作性能。压裂车工作环境恶劣,工况多变,长时间运行后动力系统难免会出现故障,一旦故障发生,可能会造成严重损失,因此,及时对压裂车动力系统进行故障诊断具有重要意义[1]。
特征提取、特征选择和模式识别是故障诊断的3个重要步骤。由于压裂车动力端激励源众多,对其进行故障诊断也更加复杂。目前,针对压裂车动力系统的相关诊断研究并不多,现场检测多采用传统振动监测仪,对振动信号的特征提取分析大都基于时域或频域等单一特征,对时变性较大、强噪声、载荷变化复杂的现场振动信号的诊断准确率较低[2]。若要准确提取压裂车动力系统故障特征,需要时-频联合分析方法。经验模态分解[3]和局部均值分解[4]存在模态混叠等问题;Wigner-Ville分布[5]存在交叉项干扰;变分模态分解[6]难以确定有效的模态分量;传统单小波变换计算量大,不能同时满足诸如紧支性、对称性及正交性等优良特性;多小波包(Lifting multi-wavelet packet,LMWP)[7]使用多个不同基函数,可更好匹配压裂车振动信号中的多个特征波形,从而增强特征反映能力,结合小波提升方案[8]可加快信号分解速度,以用于在线监测。
相对于传统的特征选择和降维算法,自编码器(auto-encoder,AE)[9]能实现高效的特征降维,然而其激活函数为Sigmoid函数,抗噪能力弱、泛化能力弱且对输入较为敏感。小波函数包含尺度因子和位移因子,位移因子使小波沿着信号的时间轴进行遍历性分析,尺度因子用于分析信号不同的频率。因此,将小波和AE相结合,将具有更优异的特征提取与特征表达能力。
在故障识别方法中,传统人工神经网络易陷入局部最优;循环神经网络能有效提高网络的学习效率,但在训练过程中易产生梯度消失和爆炸现象;长短时记忆网络(Long Short-term memory,LSTM)通过设计门结构选择性的增加和去除信息,解决了循环神经网络的梯度爆炸和长期记忆能力不足等问题,在故障诊断领域有广阔的应用前景。
在多小波、提升方案、小波自编码器(Wavelet auto-encoder,WAE)和LSTM的基础上,本文实现了压裂车动力系统振动信号的精细分解和有效的特征提取与故障识别,在提高诊断精度的同时又提高了诊断效率。
1 提升多小波包特征提取多小波包括多个小波函数和尺度函数,分解和重构公式如下:
|
(1) |
式中:Hk和Gk为r×r系数矩阵,sj, k是r维低频分量,dj, k是r维高频分量,Hk*和Gk*分别为Hk和Gk的共轭转置矩阵。
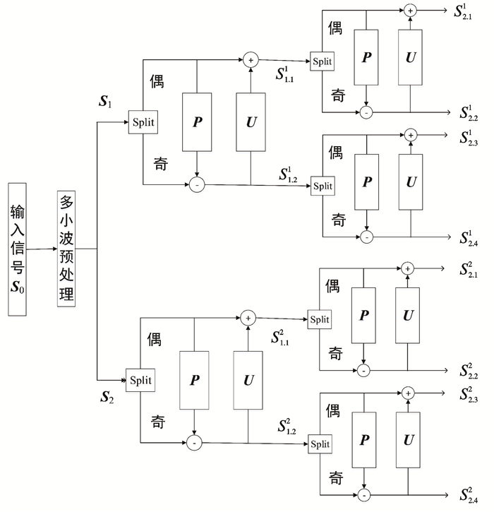
多小波包分解将多小波未分解的dj-1, n分量进一步分解,所用滤波器不变,其框架下的信号格式均为二维向量,因此需要通过重复采样将一维振动信号转化为二维信号。提升多小波包将提升方案与多小波包结合,加快了多小波包分解速度,两层提升多小波包分解过程如图 1所示。
|
| 图 1 提升多小波包分解图 Fig.1 Lifting multi-wavelet packet decomposition diagram |
图 1中,Split代表分裂过程,P和U分别为提升方案中预测器和更新器系数向量,详细计算方法见文献[10]。为了缓解信号矢量化处理过程中出现的高低频混叠问题,采用两重平衡多小波。由图 1可知,原始信号S0经重复采样的方式得到S1和S2,经两层分解后得到8个子频带信号。
设利用提升多小波包对压裂车振动信号进行N层分解,得到特征信息SNj,j=0,1,……,2N-1。小波能量定义为:
|
(2) |
式中:XjNk为SNj的第k个离散点的系数,L为SNj离散点个数。
将特征向量进行归一化得到相对能量,W作为归一化基值,计算如下:
|
(3) |
WAE使用小波函数代替AE的Sigmoid函数,结构如图 2所示。
|
| 图 2 WAE结构 Fig.2 WAE structure |
给定m维输入向量x=[x1,x2,……,xm]T,隐层小波节点j的输出hj如下:
|
(4) |
式中:m为WAE输入层和输出层节点个数,L为隐层节点个数,Wjk为隐层节点j和输入层节点k的连接权值,aj和cj分别为隐层节点j的尺度因子和位移因子,φ为Morlet小波的实部,可由式(5)表示。
|
(5) |
则隐层节点j的输出改写为:
|
(6) |
输出层节点i的输出为:
|
(7) |
|
(8) |
式中:Wij为隐层节点j与输出层节点i的连接权值。
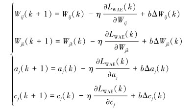
训练WAE就是调整参数,最后找到一组最优参数{Wij,Wjk,aj,cj},使输入与输出之间的损失函数最小化,损失函数定义如下:
|
(9) |
式中:N为输入样本数,xis是输入的第s个样本的第i个维度,yis是第s个重构样本的第i个维度,λ为权重衰减系数,sl为第l层节点个数,WIJ(l)为第l层权重,WIJ(1)=Wij,WIJ(2)=Wjk,则WAE参数更新公式如下。
|
(10) |
式中:η为学习率,LWAE(k)为第k次迭代时WAE的损失函数值,b为动量项系数。
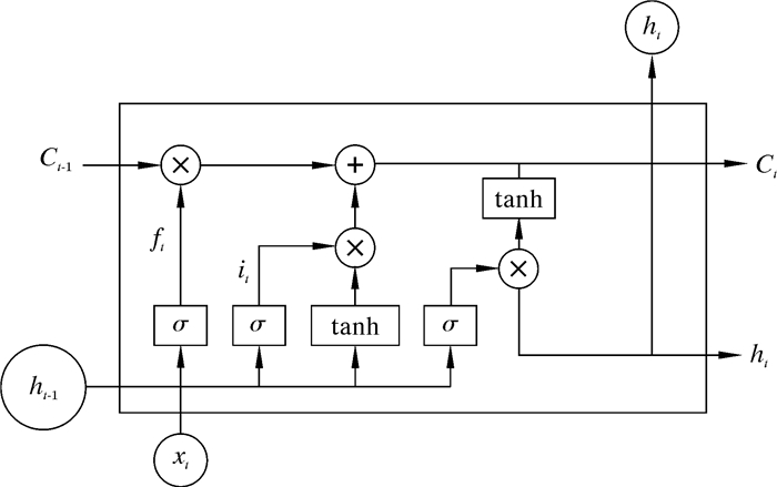
3 LSTM单元LSTM单元包括记忆细胞和3个门限:输入门、遗忘门和输出门,如图 3所示。
|
| 图 3 LSTM单元 Fig.3 LSTM unit |
当输入序列为xt时,3个门限和记忆细胞的输出如下:
|
(11) |
式中:ft为遗忘门状态,it为输入门状态,ot为输出门状态,Ct为状态单元状态,ht为中间输出状态,Whf、Wxf、Whi、Wxi、Who、Wxo、Whc、Wxc分别为相应门与xt或中间输出ht-1相乘的矩阵权重,bf、bi、bo、bc分别为相应门的偏置项,σ为Sigmoid函数。
本文设置LSTM网络为两层,后接Softmax分类器,结构如图 4所示。
|
| 图 4 LSTM网络结构 Fig.4 LSTM network structure |
综上,提出故障诊断流程如图 5所示。
|
| 图 5 故障诊断流程图 Fig.5 Troubleshooting flowchart |
故障诊断步骤如下:
(1) 通过多传感器采集压裂车动力端振动信号,随机选出80%作为训练样本,剩余的作为测试样本。
(2) 对各样本进行3层提升多小波包分解,并计算各子频带的小波相对能量,得到原始特征样本。
(3) 将原始特征样本以无监督方式训练WAE,以进一步提取特征信息。
(4) 提取WAE的隐层特征以有监督方式训练两层LSTM网络,并结合Softmax分类器进行分类。
(5) 根据测试结果判断是否满足实际期望的诊断效果,如果诊断正确率过低则修正网络,再重复步骤(3)和步骤(4),直到达到预期精度。
4 试验验证 4.1 试验数据初步分析为验证本文方法的可行性,对2000型压裂车动力端进行信号采集和初步分析。根据压裂车动力系统机体振动特点,确定本次试验测点位置,如图 6所示。
|
| 图 6 测点分布图 Fig.6 Survey point distribution map |
试验共布置8个测点,其中1~4测点分别测量动力输入端两侧的径向和轴向振动信号,5~8测点分别测量曲轴两端的径向和轴向振动信号,基本可覆盖动力系统的振动情况。试验采用MDR-80移动数据记录系统,设备采样频率为12 kHz。
在发动机转速为1 600 r/min,压力约40 MPa下进行4种工况下的信号采集,详细情况见表 1。
| 故障类型 | 训练样本 | 测试样本 | 代号 | 工况标签 |
| 无故障 | 800×8 | 200×8 | a | [1 0 0 0] |
| 一号缸弹簧轻微损坏 | 800×8 | 200×8 | b | [0 1 0 0] |
| 一号缸弹簧断裂 | 800×8 | 200×8 | c | [0 0 1 0] |
| 一号缸连杆头瓦磨损 | 800×8 | 200×8 | d | [0 0 0 1] |
限于篇幅,本文只列出一号缸弹簧断裂工况的设置,此故障是将一号缸中的弹簧去掉而产生的。
图 7为测点1采集得到的4种工况的时域信号,为减少噪声影响,将信号归一化到[0, 1]。可见,信号中均带有明显的干扰,干扰信号相对复杂,可能来自前置发动机端,也可能来自风扇端等部位,不同故障的时域波形相近而难以区分。
|
| 图 7 故障信号波形图 Fig.7 Fault signal waveform |
4.2 特征提取
试验共布置8个测点,对每个测点的振动信号各进行3层提升多小波包分解。故障诊断过程中,将8个测点的特征向量一起输入,故输入序列为X=(X1,X2,……,XM),M=8表示8个测点;Xt=(S1,S2,……,SN),N=16代表 16个子频带,Si为分解后各子频带的小波相对能量。经提升多小波包分解得到的各子频带的小波相对能量包含了丰富的故障信息,原始特征向量维数为16×8=128。采用类内类间距离判据衡量所提取的子频带小波相对能量特征的可分性指标F,F的计算见文献[11],F值越大表示故障的可区分性越好。作为对比,采用时域统计分析方法从振动信号中提取出峰峰值、有效值、方差和峭度等指标,各指标的详细计算见文献[12]。采取非线性指标量化方法RQA从递归图点密度和线结构中提取递归率、层流率等特征参数,从而定量描述信号的动态特性,RQA的详细计算见文献[13]。经计算,4种工况间的可分性参数如表 2所示。由表 2可知,相比时域特征和RQA特征,子频带小波相对能量特征较大程度提高了不同故障工况间的可分性。然而原始特征向量维数较高,特征冗余度大,本文利用WAE将原始特征向量维数降至64,并作为LSTM网络的输入。WAE的参数列于表 3,采用均匀分布法对LSTM网络初始化,并采用Adam算法优化网络参数。
| 类别 | 时域特征 | RQA | 子频带相对能量 |
| a与b | F=0.017 | F=0.002 | F=0.062 |
| a与c | F=0.071 | F=0.140 | F=1.210 |
| a与d | F=0.150 | F=0.120 | F=0.980 |
| b与c | F=0.130 | F=0.270 | F=2.130 |
| b与d | F=0.670 | F=1.180 | F=2.650 |
| c与d | F=0.210 | F=0.340 | F=1.140 |
| 参数名称 | 数值 |
| WAE输入层节点数目 | 128 |
| WAE隐层节点数目 | 64 |
| WAE初始学习率η(1) | 0.05 |
| WAE最大迭代次数 | 500 |
| 权重衰减系数λ | 0.002 |
| LSTM网络层数 | 2 |
| 每层LSTM单元个数 | 64 |
| Softmax节点个数 | 4 |
4.3 模式识别
为验证本文方法的优越性,将主成分分析(Principal components analysis,PCA)+LSTM、人工神经网络(Artificial Neural Network,ANN)与t-SNE(t-distributed stochastic neighbor embedding)+LSTM方法进行对比,为减小随机因素影响,进行5次测试,取平均结果,见表 4。
| 方法 | ANN | PCA+LSTM | t-SNE+LSTM | 本文方法 |
| 工况a识别率 | 62.11 | 84.12 | 90.53 | 99.18 |
| 工况b识别率 | 90.21 | 87.43 | 91.47 | 98.92 |
| 工况c识别率 | 58.11 | 92.34 | 92.37 | 98.91 |
| 工况d识别率 | 70.54 | 89.43 | 90.49 | 99.20 |
| 平均识别率 | 73.22 | 88.33 | 91.21 | 99.05 |
由表 4可知,与其他方法相比,本文方法具有更高的识别准确率,平均识别率达到99.05%。ANN结构为128-23-4,由经验公式确定。由于ANN容易陷入局部最优,且训练阶段学习新样本有遗忘旧样本的趋势,导致诊断正确率低,仅73.22%;PCA+LSTM方法中采用PCA将原始128维特征向量降至64维,然后输入LSTM网络,但PCA本质是一种线性降维方法,处理非线性问题较差,平均诊断正确率为88.33%;t-SNE+LSTM方法中采用t-SNE将原始128维特征向量降至64维,然后输入LSTM网络,t-SNE是一种非线性降维方法,但其目标函数非凸,也可能会得到局部最优解,其识别准确率高于PCA+LSTM,达到91.21%。
权重衰减系数λ的适当选取既可以增强WAE的特征提取性能,又能加快计算。根据经验,本文将λ限制在0.000~0.010范围内,由文献[14]的交叉验证法确定最优值。权重衰减系数对平均诊断正确率的影响如图 8所示。由图 8可知,λ=0.002时有助于模型取得更好的性能。
|
| 图 8 权重衰减系数λ对平均诊断正确率的影响 Fig.8 Effect of weight attenuation coefficient λ on average test accuracy |
5 结论
提出的基于提升多小波包、WAE和LSTM的故障诊断方法,能有效地对压裂车动力系统故障进行识别,得到如下结论:
(1) 提升多小波包结合小波子频带相对能量能有效表征压裂车动力系统的故障特征,具有较大的故障可区分度,为LSTM提供了比较优秀的特征样本。
(2) 将自编码器和小波理论相结合,增加了时频局部特性表示,增强了自动提取特征能力。
(3) LSTM网络较好地解决了传统神经网络的梯度消失和爆炸问题,验证了LSTM网络在压裂车动力系统故障诊断中的适用性,后续将对WAE、LSTM神经元个数扩展方法以及参数优化方法等方面进行进一步研究。
| [1] |
吴汉川. 大型压裂装备应用问题解析及发展方向[J]. 石油机械, 2017, 45(12): 53-57. WU H C. Issue analysis of large scale fracturing equipment application and its development trend[J]. China Petroleum Machinery, 2017, 45(12): 53-57. |
| [2] |
马晓伟, 刘健, 孙延迪, 等. 基于ADAMS的压裂车三缸泵振动分析[J]. 机电工程, 2014, 31(11): 1415-1418. MA X W, LIU J, SUN Y D, et al. Vibration analysis of triplex pump installed on the fracturing truck based on ADAMS[J]. Journal of Mechanical&Electrical Engineering, 2014, 31(11): 1415-1418. |
| [3] |
张安安, 黄晋英, 卫洁洁, 等. 基于EMD-SVD与PNN的行星齿轮箱故障诊断研究[J]. 机械传动, 2018, 42(12): 160-165. ZHANG A A, HUANG J Y, WEI J J, et al. Research offault diagnosis of planetary gearbox based on EMD-SVD and PNN[J]. Journal of Mechanical Transmission, 2018, 42(12): 160-165. |
| [4] |
李巧艺, 单奇, 陈跃威, 等. 改进LMD和排列熵的滚动轴承故障诊断[J]. 机械设计与制造, 2018(4): 51-53. LI Q Y, SHAN Q, CHEN Y W, et al. Fault diagnosis of rolling bearing based on the improved LMD and permutation entropy[J]. Machinery Design&Manufacture, 2018(4): 51-53. DOI:10.3969/j.issn.1001-3997.2018.04.015 |
| [5] |
贾朱植, 祝洪宇, 杨理践, 等. 鼠笼电机起动暂态转子断条Wigner-Ville分布诊断方法[J]. 电机与控制学报, 2018, 22(7): 69-77. JIA Z Z, ZHU H Y, YANG L J, et al. Diagnosis of broken rotor bars in squirrel cage induction motor during start-up transient based on Wigner-Ville distribution[J]. Electric Machines and Control, 2018, 22(7): 69-77. |
| [6] |
陈婉. 基于变分模态分解和LFOA-RVM的轴承故障诊断[J]. 机械强度, 2018, 40(6): 1297-1302. CHEN W. Rolling bearing fault diagnosis based onvariational modal decomposition and LFOA-RVM[J]. Journal of Mechanical Strength, 2018, 40(6): 1297-1302. |
| [7] |
袁静, 魏颖, 訾艳阳, 等. 自适应多小波混合构造方法及在故障诊断中应用[J]. 振动与冲击, 2016, 35(23): 6-13. YUAN J, WEI Y, ZI Y Y, et al. Adaptive multiwavelet hybrid construction method and applications in fault diagnosis[J]. Journal of Vibration and Shock, 2016, 35(23): 6-13. |
| [8] |
SWELDENS W. The lifting scheme:a construction of second generation wavelet[J]. Society for Industryand Applied Mathematics on Mathematical Analysis, 1997, 29: 511-546. |
| [9] |
赵光权, 刘小勇, 姜泽东, 等. 基于深度学习的轴承健康因子无监督构建方法[J]. 仪器仪表学报, 2018, 39(6): 82-88. ZHAO G Q, LIU X Y, JIANG Z D, et al. Unsupervised health indicator of bearing based on deep learning[J]. Chinese Journal of Scientific Instrument, 2018, 39(6): 82-88. |
| [10] |
姜洪开, 王仲生, 何正嘉. 基于自适应提升小波包的故障微弱信号特征早期识别[J]. 西北工业大学学报, 2008, 26(1): 99-100. JIANG H K, WANG Z S, HE Z J. Early identification of weak-signal fault features under very unfavorable environment using adaptive lifting scheme packet[J]. Journal of Northwestern Polytechnical University, 2008, 26(1): 99-100. DOI:10.3969/j.issn.1000-2758.2008.01.020 |
| [11] |
LIU X F, BO L. Identification of resonance states of rotorbearing system using RQA and optimal binary tree SVM[J]. Neurocomputing, 2015, 152: 36-44. DOI:10.1016/j.neucom.2014.11.021 |
| [12] |
郭庆丰, 王成栋, 刘佩森. 时域指标和峭度分析法在滚动轴承故障诊断中的应用[J]. 机械传动, 2016, 40(11): 172-175. GUO Q F, WANG C D, LIU P S. Application of time domain index and kurtosis analysis method in the fault diagnosis of rolling bearing[J]. Journal of Mechanical Transmission, 2016, 40(11): 172-175. |
| [13] |
赵鹏, 周云龙, 孙斌. 递归定量分析在离心泵故障诊断中的运用[J]. 振动.测试与诊断, 2010, 30(6): 612-616. ZHAO P, ZHOU Y L, SUN B. Application of recurrence quantification analysis to fault diagnosis of centrifugal pump[J]. Journal of Vibration, Measurement&Diagnosis, 2010, 30(6): 612-616. |
| [14] |
林悦, 夏厚培. 交叉验证的GRNN神经网络雷达目标识别方法研究[J]. 现代防御技术, 2018, 46(4): 113-119. LIN Y, XIA H P. Radar target recognition based on crossvalidation GRNN[J]. Modern Defence Technology, 2018, 46(4): 113-119. DOI:10.3969/j.issn.1009-086x.2018.04.018 |


