0 引言
截至2018年,渤海油田已在3个稠油油田开展了聚合物驱矿场试验,聚合物驱稠油开发效果明显。未来将有10余个油田的150余口井转聚驱开发,稠油聚驱潜力巨大[1-2]。因此,需要深入研究稠油聚驱的驱油机理和驱替规律,从而指导聚驱油藏的高效开发。目前,研究聚驱稠油机理的方法主要有试验法、数模法和数字岩心法等。传统数模无法从微观角度分析多孔介质内的驱替规律,聚驱岩心试验具有不可重复性,研究成本高[3-5]。与上述两种方法相比,数字岩心法具有可重复性、可控制性的特点,适合于开展特征规律研究弄清稠油聚驱的微观驱替规律[6-15]。本文在前人研究的基础上,基于油水两相三维数字岩心,综合聚合物的黏弹性、浓度的扩散、吸附、捕集以及稠油的非牛顿流体特性等,建立了聚驱稠油数字岩心模型,研究稠油聚合物驱的微观驱替规律。
1 数字岩心模型的建立数字岩心模型由孔隙和喉道构成,采用网络模型尺寸、孔喉长度、孔喉半径、孔喉比、配位数、形状因子等描述孔隙网络空间。模型如图 1所示。模型中山,球体代表孔隙,球体之间的圆柱体代表喉道。
|
| 图 1 数字岩心模型示意图 Fig.1 Schematic diagram of the digital core model |
喉道半径由截断式威布尔分布函数表征:
|
(1) |
式中:rt为喉道半径,m;rmax、rmin为最大和最小喉道半径,m;x为[0, 1]之间的任意数;δ和γ分别为尺度参数和形状参数,无因次。
孔隙半径rp可定义为:
|
(2) |
式中:α为孔喉比;rti为与孔隙连通的喉道半径,m;n为配位数。
在数字岩心模型中,采用形状因子来描述孔喉截面的形状,实际储集层岩石的孔喉截面采用正方形、三角形和圆形等3种几何形状表征,形状因子G定义为:
|
(3) |
式中:A为横截面积,m2;p为周长,m。
2 渗流过程的描述在初始状态下,数字岩心模型中充满水,呈强水湿状态。模型首先进行排液,模拟原油运移成藏,原油的侵入改变了部分单元的润湿性,随后进行吸吮,模拟水驱油的过程。
2.1 初次排液初次排液阶段,孔隙和喉道中充满水,仅发生活塞式驱替。油相侵入后,油相压力逐渐增加,毛细管压力、含油饱和度随之增加,两者其一达到设定值后,初次排液结束。根据侵入逾渗算法,油相首先进入具有最低的进入毛细管压力的孔喉单元。
对于正方形和三角形的孔隙截面,进入毛细管压力为:
|
(4) |
式中:


孔隙截面为圆形时,进入毛细管压力为:
|
(5) |
由于初次排液改变了部分孔喉表面的润湿性,同时模型的角隅中还残留有水,所以一次水驱机理较初次排液过程更复杂,其驱替机理有活塞驱替、孔隙填充及节流等3种模式。
2.2.1 活塞驱替如图 2所示,在连通孔隙的喉道中,发生活塞式驱替,当模型忽略润湿滞后的影响,毛细管进入压力的计算公式可采用式(4)和式(5)计算。
|
| 图 2 活塞驱替 Fig.2 Piston displacement |
数字岩心内发生润湿滞后时(θa >θr),随着驱替过程的进行,毛细管压力下降,角隅中的油水界面曲率半径随之增加。当接触角小于θa时,油水界面保持不变,接触角为定值θh(θr<θh<θa)。当接触角大于θh后,界面开始移动,此时接触角为前进接触角θa。
当毛细管压力大于0时,其作为推动力,模型自发进行活塞式驱替。其进入毛细管压力表达式为:
|
(6) |
当毛细管压力等于0时,此时的前进角达到极值,记为自发活塞式驱替的最大前进角:
|
(7) |
式中:pcmax为排液结束后的最大毛细管压力,Pa。
随着毛细管压力继续下降至负值,其为阻力,模型发生强制活塞式驱替。其进入毛细管压力表达式为:
|
(8) |
如图 3所示,在孔隙中发生孔隙填充。当孔隙的配位数为n时,存在(n-1)种孔隙填充模式。
|
| 图 3 孔隙填充 Fig.3 Pore filling |
当θr < θa < θamax时,毛细管压力为驱替动力,孔隙填充为自发模式,其进入毛细管压力计算式为:
|
(9) |
式中:ki为第i个相连喉道的权重系数,xi为其随机变量(0 < xi < 1)。
当θa >θamax时,毛细管压力为阻力,孔隙填充为强制模式,毛细管进入压力与水相填充的相邻喉道数无关,其可采用式(4)和式(5)计算。
2.2.3 卡断卡断过程如图 4所示。当角隅中的水发生膨胀,油水界面与邻近角隅中的水层接触,不再稳定,水进入孔隙和喉道中逐渐填充的过程即为卡断。
|
| 图 4 卡断过程 Fig.4 Breaking process |
卡断包括自发和强制两种模式,取决于毛细管压力的正负。
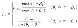
当θa < π/2-β1,毛细管压力大于0,其为动力,模型发生自发式卡断。此时油水界面沿着孔隙壁向前进角θa处移动,当两界面接触后,发生卡断。其进入毛细管压力为:
|
(10) |
式中:β1和β2为三角形孔隙角隅的半角,rad。
当θa>π/2-β1,毛细管压力小于0,其为阻力,模型发生强制式卡断。随着油水界面沿着孔隙壁向前移动,界面曲率降低,自发充填就变得不稳定,发生强制式卡断,此时进入毛细管压力为:
|
(11) |
模型中,连通各个孔隙的喉道流量计算式为:
|
(12) |
式中:gij为喉道有效导流能力,m3/Pa,ij代表其连通的两个孔隙;pi、pj分别为两个孔隙中的压力。
模型中,进入每个孔隙的流量与从孔隙中流出的流量相等,即孔隙流量守恒:
|
(13) |
根据孔隙和喉道的流量计算公式,可建立一个线性方程组,已知模型两端初始压力,可求取每个孔隙的压力,进而计算各喉道的流量,最终得到模型总流量。
4 聚合物驱稠油微观机理聚合物和稠油均为非牛顿流体,具有不同的流变特性,在研究多孔介质内的微观驱替规律时,需要考虑聚合物的扩散、吸附、捕集等,以及稠油的非牛顿流体特性。
在模型中,假设聚合物仅溶于水,聚合物溶液的压力可以认为是水相的压力。根据模型中不同的驱替模式选取驱替对象,计算压力场、饱和度场、聚合物溶液质量浓度场等,同时考虑聚合物溶液质量浓度和剪切速度对聚合物溶液黏度的影响。重复上述计算过程,直至模型所有元素被驱替为止。
4.1 质量浓度计算为了研究聚合物的流动特性,需要求出模型中各孔隙吼道的聚合物质量浓度,浓度的计算考虑对流和由于聚合物质量浓度差引起的扩散。
聚合物在孔隙中的扩散图如图 5所示,孔隙i、j和喉道的长度分别用li、lj、lij表示。当孔隙i、j间存在聚合物质量浓度差时,聚合物发生扩散。孔隙间聚合物的扩散量Fij由Leslie扩散模型表征:
|
| 图 5 聚合物在孔隙中的扩散 Fig.5 Polymer diffusion in the pores |
|
(14) |
式中:Dm为聚合物扩散系数;Aw为相连喉道水相流动截面积,m2;Qijw为聚合物体积流量,m3/s;Ctiin和Ctjout分别为喉道两端连接的孔隙内聚合物质量浓度,mg/m3;ltij为两孔隙间的距离,m。
同一孔隙的聚合物质量浓度相同,喉道内的聚合物质量浓度由其连接孔隙的聚合物质量浓度决定,式(14)变换为:
|
(15) |
式中:Ci、Cj为孔隙i、j中的聚合物的质量浓度,mg/m3。
由聚合物组分质量守恒原理可知:
|
(16) |
式中:ni为孔隙i的配位数。
由式(15)可得到模型内每组孔喉的聚合物质量浓度方程,求解模型的方程组,可以获得聚合物溶液质量浓度分布场。
4.2 黏弹性聚合物溶液黏度与质量浓度的关系可表述为:
|
(17) |
式中:μp为零剪切黏度,mPa·s;μw为水相黏度,mPa·s;Cp为聚合物质量浓度,mg/m3;AP1、AP2、AP3为系数。
由于聚合物具有黏弹性,在数字岩心模拟过程中,考虑剪切速度对聚合物溶液黏度的影响时,采用上随体Maxwell模型来描述聚合物溶液的黏弹性:
|
(18) |
式中:τ为剪切应力,Pa;

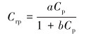
聚合物溶液的吸附是指聚合物分子在孔隙表面发生聚集的现象。采用兰茂尔等温吸附描述聚合物溶液在孔隙和喉道中的吸附现象,则孔喉中单位面积上的聚合物组分吸附量Crp可由下式表示:
|
(19) |
式中:a为表征吸附量的系数,(cm/cm3)-1;b为吸附常数,(mg/cm3)-1。
聚合物在孔隙中的吸附扩散如图 6所示。由图 6可知,聚合物的吸附降低了孔喉有效半径,降低了水相渗透率。可采用水相渗透率下降系数表征这一物化特征。
|
| 图 6 聚合物在孔隙中的吸附扩散 Fig.6 Adsorption and diffusion of polymer in pores |
|
(20) |
式中:Rk为渗透率下降系数,无因次;r为孔喉半径,μm;m为孔隙半径减小量,μm。
4.4 捕获模拟过程中,定义了聚合物捕获的临界喉道尺寸Ctr、捕获概率Ch和捕获体积比Cvr等捕获参数。当孔隙连接最大喉道尺寸小于捕获的临界喉道尺寸时,以捕获概率Ch随机模拟数字岩心模型中发生的捕集现象。
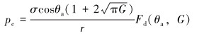
4.5 稠油的非牛顿特性稠油一般指在地层条件下黏度大于50 mPa·s的原油,其相对密度大、黏度高、流动性差,常表现出非牛顿特性。本文采用幂律模式来描述稠油的非牛顿特性:
|
(21) |
式中:K′为稠度系数,s为幂律指数。
5 驱替规律分析 5.1 数字岩心模拟相渗与渤海油田S区块相渗拟合根据上述数字岩心模型的建立方法,建立数字岩心模型,模拟水驱微观驱替过程,将模拟相渗与渤海油田S区块的相渗曲线拟合(见图 7),修正孔喉参数,得到与真实岩心相符的数字岩心模型。岩心模型总孔隙数为8 000个,平均喉道半径为10.97 μm,平均喉道长度为13.60 μm,平均配位数为3.847,平均孔喉比为3.6,平均形状因子为0.04,水相黏度为0.5 mPa·s,油相黏度为70.0 mPa·s。
|
| 图 7 数字岩心与S区块相渗拟合图 Fig.7 Matching of the digital core and the S block |
5.2 不同含水率条件下稠油聚合物驱饱和度分布
在相渗曲线拟合的基础上进行聚合物驱稠油的数字岩心模拟试验。模型采用质量浓度为1 750 mg/L、黏度为24.4 mPa·s、松弛时间为1.057 4 s的聚合物溶液作为驱替液,模拟聚合物驱稠油过程。根据模拟结果绘制出不同含水体积分数(fw)条件下黏弹性聚合物驱含水饱和度分布图,如图 8所示。
|
| 图 8 不同含水体积分数条件下黏弹性聚合物驱含水饱和度分布图 Fig.8 Saturability distribution of viscoelastic polymer flooding under different water cut conditions |
图 8中蓝色代表孔隙被水填充,红色代表孔隙被油填充,中间颜色代表孔隙的不同含水饱和度。从图 8可以看出,随着含水体积分数fw的升高,红色部分越来越少,蓝色部分越来越多,含水饱和度升高,含油饱和度降低。
5.3 黏弹性对稠油聚合物驱采收率的影响采用数字岩心模拟聚合物驱稠油过程,计算纯黏性聚合物驱与同黏度的黏弹性聚合物驱的采收率,分别研究聚合物的黏性和弹性对采收率的贡献。
5.3.1 聚合物黏性对稠油聚合物驱采收率的影响将聚合物的松弛时间设为0,忽略聚合物的弹性作用,分别模拟水驱和纯黏性聚合物驱至含水体积分数98%,计算采收率,分析聚合物黏性的贡献值,如图 9所示。从图 9可以看出,只考虑聚合物黏性作用时,聚驱的采收率大于水驱的采收率,且随着聚合物黏度的增加,采收率逐渐增大。聚合物的黏性作用增加了驱替相黏度,同时吸附作用降低了驱替相渗透率,增加了油水流度比,使孔喉内的油相更多地被驱替出岩心。
|
| 图 9 不同黏性聚合物驱的采收率 Fig.9 Recovery ratio of with different viscous polymer flooding |
5.3.2 聚合物弹性对稠油聚合物驱采收率的影响
模型采用黏度为24.4 mPa·s、不同松弛时间的聚合物溶液作为驱替液,分别模拟水驱、纯黏性聚驱和黏弹性聚驱至含水体积分数98%,计算采收率,分析聚合物弹性的贡献值,如图 10所示。
|
| 图 10 不同弹性聚合物驱的采收率 Fig.10 Recovery ratio of with different elastic polymer flooding |
从图 10可以看出,黏弹性聚合物溶液采收率大于水和纯黏性聚合物驱的采收率,且随着松弛时间的增加,即弹性作用的增强,采收率增大。聚合物的弹性增加了孔喉中聚合物的弹性阻力,使相同流速下附加压力增大,进而增大了孔喉的临界驱替毛细管压力,使聚合物能够进入更多的孔喉内驱替残余油滴,提高残余油的流动,降低残余油饱和度,增加采收率。
5.4 稠油聚驱微观剩余油类型研究统计水驱和聚驱后的剩余油类型,分析稠油聚合物的驱替规律。数字岩心中的微观剩余油包括孤滴状(n=1)、斑块状(2≤n≤4)、网络状(n≥5)和油水混合状态(Sw≥0.15)等4种类型,水驱和聚驱的剩余油类型对比结果见图 11。从图 11可以看出,聚驱后4种类型的剩余油个数均小于水驱,且斑块状和网络状的剩余油比例均有所减少,油水混合状和孤滴状剩余油比例明显增加,聚驱使得数字岩心内的剩余油分布更加复杂、更加分散,提高了驱油效率,使得聚驱的采收率大于水驱。
|
| 图 11 水驱和聚驱的剩余油类型对比图 Fig.11 Comparison of remaining oil types after water flooding and polymer flooding |
6 结论
(1) 建立了油水两相微观数字岩心模拟方法,利用渤海S区块的实际相渗曲线与数字岩心模拟相渗曲线拟合,获得了与实际情况符合度较高的油水两相数字岩心模型。
(2) 在油水两相模型的基础上,考虑聚合物的黏弹性、浓度的扩散、吸附、捕集等现象,以及稠油的非牛顿特性,建立了聚驱稠油数字岩心模拟方法。
(3) 对比研究了等黏度条件下纯黏性和黏弹性聚合物驱的采收率,黏弹性聚合物溶液采收率大于纯黏性聚合物驱的采收率,且随着松弛时间的增加,即弹性作用的增强,采收率提高。
(4) 数字岩心内微观剩余油包括油水混合状态、孤滴状、斑块状和网络状等4种类型,聚驱减少了剩余油孔隙个数,且斑块状和网络状的剩余油比例均有所减少,油水混合状和孤滴状剩余油比例明显增加,使得剩余油分布更加复杂、更加分散,提高了驱油效率。
| [1] |
张凤久, 姜伟, 孙福街. 海上稠油聚合物驱关键技术研究与矿场实验[J]. 中国工程科学, 2011, 13(5): 28-33. ZHANG F J, JIANG W, SUN F J. Key technology research and field test of offshore viscous polymer flooding[J]. Engineering Sciences, 2011, 13(5): 28-33. DOI:10.3969/j.issn.1009-1742.2011.05.005 |
| [2] |
郭太现, 苏彦春. 渤海油田稠油油藏开发现状和技术发展方向[J]. 中国海上油气, 2013, 25(4): 26-30, 35. GUO T X, SU Y C. Current status and technical development direction in heavy oil reservoir development in Bohai Oilfields[J]. China Offshore Oil and Gas, 2013, 25(4): 26-30, 35. |
| [3] |
王斐斐, 王子振, 舒腾飞. 聚合物分散溶解系统数值模拟研究[J]. 石油机械, 2018, 46(10): 65-71. WANG F F, WANG Z Z, SHU T F. Numerical simulation study on polymer dispersion and dissolution system[J]. China Petroleum Machinery, 2018, 46(10): 65-71. |
| [4] |
孙骞, 范志, 孙宝江, 等. 深水稠油开发技术发展现状与前景展望[J]. 石油钻采工艺, 2013, 35(3): 51-54. SUN Q, FAN Z, SUN B J, et al. Development status and prospect of deep-water heavy oil production technology[J]. Oil Drilling & Production Technology, 2013, 35(3): 51-54. DOI:10.3969/j.issn.1000-7393.2013.03.017 |
| [5] |
张志熊, 牛贵锋, 王良杰, 等. 海上油田注聚井单管分层注聚测调新技术[J]. 石油机械, 2016, 44(10): 59-62. ZHANG Z X, NIU G F, WANG L J, et al. New testing technology for single-pipe layered polymer injection in offshore oilfield polymer injection well[J]. China Petroleum Machinery, 2016, 44(10): 59-62. |
| [6] |
周子健.葡北二断块中低渗油藏聚合物驱油实验研究[D].大庆: 东北石油大学, 2014. ZHOU Z J. Experimental study on polymer flooding in middle-low permeability reservoir of No.2 block of Pubei[D]. Daqing: Northeast Petroleum University, 2014. |
| [7] |
聂飞朋. 海上油田聚合物驱单管多层注聚工艺技术[J]. 石油机械, 2014, 42(2): 31-33. NIE F P. Single string multilayer polymer injection technology for polymer flooding in offshore oilfields[J]. China Petroleum Machinery, 2014, 42(2): 31-33. DOI:10.3969/j.issn.1001-4578.2014.02.008 |
| [8] |
赵玲, 石雪, 夏惠芬. 基于Marching Cubes算法的数字岩心建模方法研究[J]. 石油机械, 2018, 46(10): 97-102. ZHAO L, SHI X, XIA H F. Digital core modeling method based on Marching Cubes algorithm[J]. China Petroleum Machinery, 2018, 46(10): 97-102. |
| [9] |
姚军, 赵秀才, 衣艳静, 等. 数字岩心技术现状及展望[J]. 油气地质与采收率, 2005, 12(6): 52-54. YAO J, ZHAO X C, YI Y J, et al. The current situation and prospect on digital core technology[J]. Petroleum Geology and Recovery Efficiency, 2005, 12(6): 52-54. DOI:10.3969/j.issn.1009-9603.2005.06.017 |
| [10] |
FATT I. The network model of porous media-I. Capillary pressure characteristics[J]. Trans. AIMM, 1956, 207: 144-459. |
| [11] |
FATT I. The network model of porous media-Ⅱ. Dynamic properties of a single size tube network[J]. Trans. AIMM, 1956, 207: 160-163. |
| [12] |
SORBIE K S, CLIFFORD P J, JONES E R W. The rheology of pseudoplastic fluids in porous media using network modeling[J]. Journal of Colloid and Interface Science, 1989, 130(2): 508-534. DOI:10.1016/0021-9797(89)90128-8 |
| [13] |
侯健, 李振泉, 陈月明. 利用三维网络模型研究滞留聚合物微观分布规律[J]. 计算力学学报, 2006, 23(4): 453-458. HOU J, LI Z Q, CHEN Y M. Research on retained polymer distribution laws by three-dimension network model[J]. Chinese Journal of Computational Mechanics, 2006, 23(4): 453-458. DOI:10.3969/j.issn.1007-4708.2006.04.013 |
| [14] |
李兵, 凌其聪, 鲍征宇, 等. 用数字化图像分析法确定岩石物性[J]. 新疆石油地质, 2008, 29(2): 253-255. LI B, LING Q C, BAO Z Y, et al. Application of digital image processing to determination of petrophysical property[J]. Xinjiang Petroleum Geology, 2008, 29(2): 253-255. |
| [15] |
蔡涵鹏, 贺振华, 唐湘蓉, 等. 碳酸盐岩孔隙结构影响分析和等效孔隙结构参数计算[J]. 石油物探, 2013, 52(6): 566-572. CAI H P, HE Z H, TANG X R, et al. Influence analysis of carbonate pore structure and calculation of equivalent pore structure parameters[J]. Geophysical Prospecting for Petroleum, 2013, 52(6): 566-572. |


