2. 中海油研究总院有限责任公司;
3. 北京工业大学
2. CNOOC Research Institute Co., Ltd.;
3. Beijing University of Technology
0 引言
井底恒压钻井技术是控压钻井技术的一种,要保持井底压力恒定,就要求控压钻井系统控压响应时间短,即从发现井底压力变化到平衡压力变化的时间要短[1-7]。控压响应时间由脉冲信号传输时间[8]、地面检测控制系统分析判断井下信号时间、节流阀和回压泵动作响应时间、回压调节不稳定流动时间以及井底压力的动态平衡恢复时间等5部分组成。
有关控压响应时间的计算,前人已经做了一些研究。吕振虎等[9]以回压改变后环空钻井液的不稳定流动时间为研究对象,建立了控压响应时间的刚性模型。该刚性模型虽然解决了弹性模型[10]计算参数获取困难的问题,但依旧存在一些不足。刚性模型没有考虑井底发生气侵时沿井筒向上流动过程中气体体积分数的变化,而气体体积分数的变化将显著影响压力波在环空内的传播速度[11],从而导致控压响应时间的计算结果存在较大差异。为此,笔者以回压改变过程中的响应时间为研究对象,在刚性水击理论的基础上充分考虑井筒多相流动下气体流动参数沿井筒变化的实际情况,建立了回压响应时间的数学模型,并进行了影响因素的敏感性分析。
1 回压响应时间模型建立 1.1 基本假设回压响应时间模型建立过程中的基本假设如下:①环空内的流动视为一维平板流动;②忽略钻柱的弹性变形,仅考虑流速变化引起的水力不稳定过程。
1.2 井筒多相流模型当井底发生气侵后,环空是一个充斥着气、液、固三相的混合流体。因此,有必要建立井筒多相流模型,通过求解多相流模型获取流体流动参数沿井筒变化的情况,实现对回压响应时间的准确计算。由于垂直井筒中岩屑体积分数非常小,并且变化甚微[12],在计算中将固、液看成一相,建立气液两相流模型。
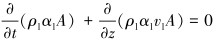
气相和液相的质量守恒方程分别为:
|
(1) |
|
(2) |
式中:A为流道面积,m2;ρg和ρl分别为气相和钻井液的密度,kg/m3;αg和αl分别为气相和钻井液的体积分数;vg和vl分别为气相和钻井液的实际流速,m/s。
动量守恒方程为:
|
(3) |
式中:g为重力加速度,m/s2;pfa为环空内多相流摩阻压降,Pa。
根据文献[13-15]的研究成果,垂直环空气液两相流的流型基本可分为泡状流、段塞流、搅动流和环状流。
1.3 响应时间模型[16]钻杆内钻井液向下流动,环空内钻井液向上流动。假定在钻井过程中需要调节井口回压,环空压力的重新分布使管内的流速由v0(回压改变前环空流体速度)到v∞(回压改变后环空流体速度)发生过渡变化,在环空流动方向上任取一段微元体进行受力平衡分析。微元体模型如图 1所示。
|
| 图 1 井筒微元体模型 Fig.1 Wellbore microelement model |
由力学平衡可得:
|
(4) |
式中:ρimix为井筒任意微元段混合流体密度,kg/m3;Dpo和Db分别为钻杆外径和钻头直径,m;v为环空返速,m/s。
定义几何参数
|
(5) |
式中:f为摩擦因数,取f=1。
考虑实际的钻井液为非牛顿流体,故采用赫巴流变模式计算摩擦因数f,具体的计算公式详见文献[18]。
井筒任意微元段内气体体积分数和气体密度的不同导致混合流体密度也发生变化,具体计算公式如下:
|
(6) |
式中:αig为井筒任意段含气体积分数;ρig为井筒任意段气体的密度,kg/m3。
对式(4)从井底到井口进行积分可得:
|
(7) |
式中:Δp为回压值的改变量,Pa;pwf为回压值改变时的井底压力,Pa;ΔHi为井筒任意微元段的长度,m。
定义参数
稳定流动时,流速不随时间变化[19],由平衡方程可得:
|
(8) |
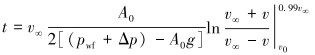
在工程应用中取流速达到0.99v∞,环空近似达到稳定状态,对式(7)分离变量并积分后得到回压响应时间公式:
|
(9) |
对塔中某深井分别采用本文模型与刚性模型进行计算,通过求解多相流模型准确计算气侵后的回压响应时间。基础数据为:井深5 000 m,钻头直径215.9 mm,钻杆外径127.0 mm,钻井液排量27 L/s,钻井液密度1.12 g/cm3,井口回压1 MPa。不同气侵量Qg下的回压响应时间和气体体积分数分布分别如图 2和图 3所示。
|
| 图 2 回压响应时间曲线 Fig.2 Back pressure response time |
|
| 图 3 气体体积分数分布曲线 Fig.3 Gas volume fraction distribution |
由图 2和图 3可知,同一气侵量下,本文模型计算得到的响应时间长于刚性模型。这是因为井底发生气侵之后,气体在沿井筒向上流动过程中,气体发生膨胀使得体积分数增加,气体体积分数的增加增大了压力波在环空中的传播阻力,降低了压力波在环空中的传播速度。因此,考虑井筒气体流动参数变化后,本文模型计算得到的响应时间要长于刚性模型。
另外,随着气侵量的增大,本文模型与刚性模型计算结果之差逐渐增大,这是因为在小气量侵入井筒时,井筒内多相流流型基本为泡状流,其气体体积分数与刚性模型的体积分数相差不大,响应时间之差也不大,而随着气侵量的进一步增大,井筒上部出现大段段塞流区域,段塞流区域的气体体积分数明显大于泡状流。因此气侵量越大,本文模型与刚性模型计算的结果之差越大。
3 回压响应时间影响因素分析为进一步分析回压响应时间的影响因素,利用上述井身结构及钻井流体相关参数,对4 000~5 000 m井段进行模拟计算。其中钻头直径215.9 mm,钻杆外径127.0 mm,气侵量0.20 m3/s。
3.1 环空间隙对响应时间的影响图 4为环空间隙对响应时间的影响曲线。由图 4可知,随着环空间隙变小,响应时间显著缩短。这是因为随着环空间隙的变小,环空流速v0增大。另外,环空间隙的变小使得几何参数C值显著增大,进而导致稳定流动时的流速v∞减小。综上所述,环空间隙变小使得v0增大而v∞减小,这两者的变化共同导致了响应时间的缩短。
|
| 图 4 环空间隙对响应时间的影响曲线 Fig.4 Effect of annulus clearance on response time |
3.2 排量对响应时间的影响
图 5为排量对响应时间的影响曲线。由图 5可知,随着排量的不断增大,响应时间基本不发生改变。这是因为随着排量的增大,环空流速v0增大,但与此同时,排量的增大使得环空压耗增大,进而导致稳定流动时的流速v∞增大。综上所述,排量的增加使得v0和v∞同时增大,这两者的变化共同导致了响应时间基本维持在一个水平上。因此,排量的改变对响应时间基本没有影响,其为一个惰性因素。
|
| 图 5 排量对响应时间的影响曲线 Fig.5 Effect of displacement on response time |
3.3 套压对响应时间的影响
图 6为套压pc对响应时间的影响曲线。由图 6可知,随着套压的增大,响应时间显著缩短。这是因为套压的增大使得近井口附近气体受压,导致气体体积分数下降,井筒混合流体的密度升高,混合流体体积弹性模量增大,进而使压力波传播速度增大,回压响应时间减小。
|
| 图 6 套压对响应时间的影响曲线 Fig.6 Effect of the casing pressure on the response time |
综上所述,在大气侵量情况下,可适当增加井口回压,一方面补偿了由于气侵造成的井底压力下降,另一方面可以降低环空气体体积分数,缩短回压的响应时间,有利于实现安全、高效钻井。
4 结论(1) 以刚性水击理论为基础,充分考虑井筒多相流动下各相流动参数沿井筒的变化,建立了回压响应时间的数学模型,有利于提高现场控压钻井技术的控压精度。
(2) 与刚性模型对比分析可知,井底发生气侵之后,气体沿井筒向上流动过程中,气体发生膨胀使得体积分数增加,气体体积分数的增加增大了压力波在环空中传播的阻力,降低了压力波在环空中的传播速度。因此考虑井筒气体流动参数变化后,回压响应时间明显延长,并且随着气侵量增大,两种模型计算结果的差异越大。
(3) 在大气侵量情况下,可适当增加井口回压,一方面补偿了由于气侵造成的井底压力下降,另一方面可以降低环空气体体积分数,缩短回压响应时间,有利于实现安全、高效钻井。
| [1] |
周英操, 崔猛, 查永进. 控压钻井技术探讨与展望[J]. 石油钻探技术, 2008, 36(4): 1-4. ZHOU Y C, CUI M, ZHA Y J. Discussion and prospect of managed pressure drilling technology[J]. Petroleum Drilling Techniques, 2008, 36(4): 1-4. DOI:10.3969/j.issn.1001-0890.2008.04.001 |
| [2] |
VIEIRA P, ARNONE M, COOK I, et al. Constant bottomhole pressure: managed pressure drilling technique applied in exploratory well in Saudi Arabia[R]. SPE 113679-MS, 2008.
|
| [3] |
KOZICZ J. Managed-pressure drilling-recent experience, potential efficiency gains, and future opportunity[R]. SPE 103753, 2006.
|
| [4] |
黄兵, 石晓兵, 李枝林, 等. 控压钻井技术研究与应用新进展[J]. 钻采工艺, 2010, 33(5): 1-4. HUANG B, SHI X B, LI Z L, et al. Progress in the research and application of pressure control drilling technology[J]. Drilling & Production Technology, 2010, 33(5): 1-4. |
| [5] |
韩煦, 韩玉安. 基于Matlab的控压钻井压力控制建模方法[J]. 石油钻探技术, 2017, 45(3): 67-71. HAN X, HAN Y A. A pressure control modeling approach for managed pressure drilling using Matlab[J]. Petroleum Drilling Techniques, 2017, 45(3): 67-71. |
| [6] |
郗凤亮, 徐朝阳, 马金山, 等. 控压钻井自动分流管汇系统设计与数值模拟研究[J]. 石油钻探技术, 2017, 45(5): 23-29. XI F L, XU C Y, MA J S, et al. Design and numerical of an automatic diverter manifold in managed pressure drilling[J]. Petroleum Drilling Techniques, 2017, 45(5): 23-29. |
| [7] |
刘伟, 周英操, 王瑛, 等. 国产精细控压钻井系列化装备研究与应用[J]. 石油机械, 2017, 45(5): 28-32. LIU W, ZHOU Y C, WANG Y, et al. Domestic accurate managed pressure drilling series equipment and technology[J]. China Petroleum Machinery, 2017, 45(5): 28-32. |
| [8] |
刘修善, 苏义脑. 泥浆脉冲信号的传输速度研究[J]. 石油钻探技术, 2000, 28(5): 24-26. LIU X S, SU Y N. Study on transmission velocity of mud pulse signal[J]. Petroleum Drilling Technology, 2000, 28(5): 24-26. DOI:10.3969/j.issn.1001-0890.2000.05.009 |
| [9] |
吕振虎, 陈平, 马天寿. 精细控压钻井中环空不稳定流动时间响应分析[J]. 石油天然气学报, 2014, 36(11): 120-125. LÜ Z H, CHEN P, MA T S. Time response analysis of unstable flow in annulus affected by back pressure change[J]. Journal of Oil and Gas Technology, 2014, 36(11): 120-125. DOI:10.3969/j.issn.1000-9752.2014.11.025 |
| [10] |
余金海, 孙宁, 刘健. 精细控压钻井控压响应时间浅析[J]. 石油钻采工艺, 2011, 33(2): 20-24. YU J H, SUN N, LIU J. Analysis on pressure controlling response time of delicate controlled pressure drilling[J]. Oil Drilling & Production Technology, 2011, 33(2): 20-24. DOI:10.3969/j.issn.1000-7393.2011.02.005 |
| [11] |
刘磊, 王跃社, 周芳德. 气液两相流压力波传播速度研究[J]. 应用力学学报, 1999, 16(3): 22-27. LIU L, WANG Y S, ZHOU F D. Propagation speed of pressure wave in gas-liquid two-phase flow[J]. Chinese Journal of Applied Mechanics, 1999, 16(3): 22-27. |
| [12] |
何淼, 柳贡慧, 李军, 等. 气侵期间岩屑运移规律研究[J]. 科学技术与工程, 2014, 14(16): 27-31. HE M, LIU G H, LI J, et al. The research of cuttings migration during gas invasion[J]. Science Technology and Engineering, 2014, 14(16): 27-31. DOI:10.3969/j.issn.1671-1815.2014.16.006 |
| [13] |
CAETANO E F, SHOHAM O, BRILL J P. Upward vertical two-phase flow through an annulus-part 2:modeling bubble, slug, and annular flow[J]. Journal of Energy Resources Technology, 1992, 114(1): 14-30. |
| [14] |
HASAN A R, KABIR C S. A study of mulyiphase flow behavior in vertical wells[J]. SPE Production Engineering, 1988, 3(2): 163-272. |
| [15] |
LAGE A C V M, TIME R W. Mechanistic model for upward two-phase flow in annuli[R]. SPE 63127-MS, 2000.
|
| [16] |
PEREZ-TELLEZ C, SMITH J R, EDWARDS J K. A new comprejensice, mechanistic model for underbalanced drilling impreves wellbore pressure predictions[J]. SPE Drilling & Completion, 2003, 18(3): 199-208. |
| [17] |
袁恩熙. 工程流体力学[M]. 北京: 石油工业出版社, 2001. YUAN E X. Engineering fluid mechanics[M]. Beijing: Petroleum Industry Press, 2001. |
| [18] |
樊洪海. 实用钻井流体力学[M]. 北京: 石油工业出版社, 2014. FAN H H. Practical drilling fluid mechanics[M]. Beijing: Petroleum Industry Press, 2014. |
| [19] |
张忠国. 管道瞬变流动分析[M]. 东营: 石油大学出版社, 1994. ZHANG Z G. Pipeline transient flow analysis[M]. Dongying: Petroleum University Press, 1994. |


