0 引言
螺纹管因其制造简单,传热性能及力学性能良好而广泛应用于能源、化工和制冷等领域。在石油行业,管壳式换热器90%以上采用光管,而此类换热器钢材消耗量大,换热效果较低,亟待改进。目前有关该方面的研究大都集中于结构优化,而评价螺旋管的性能主要考虑其经济性(压降和制造成本)和传热性能。降低制造成本最为有效的途径为采用强化换热技术[1]。韩怀志等[2]发现在工况相同的情况下,波节管的总体换热性能优于光管,尤其是在雷诺数较大时,其综合换热性能更加明显。黄鹏[3]研究了截面分别为三角形、矩形和半圆形3种结构的螺旋槽管的传热性能和阻力性能,结果表明3种结构的螺旋管的传热性能均有所提高,但阻力性能也同时增加。
现有文献大多研究管内单向螺纹管的结构参数对其传热性能及流阻的影响,鲜有报道关于交叉螺纹管的研究。鉴于此,笔者采用数值模拟的方法对高效螺纹管强化传热机理及其结构参数对其性能的影响进行分析。
1 数值计算模型诸多学者研究表明[4-8],RNG k-ε湍流模型和增强型壁面处理方式可以相对准确地模拟螺纹管内流体流动特性和传热特性。
1.1 几何尺寸及网格划分高效螺纹管的管体内外表面设置有螺旋线,即在管体长轴顺时针方向旋转的3条平行线与逆时针旋转的3条平行线相互交叉构成的三维立体螺旋线,具体形状见图 1。图中D为管子外径,β为管子螺旋角度,L为螺距,H为螺纹深度。
|
| 图 1 高效螺纹管结构示意图 Fig.1 Structural schematic diagram of high-efficiency screwed pipe |
模拟对象的几何尺寸如图 1所示。利用ANSYS 12.0提供的ICEM进行网格划分,结果如图 2所示。表 1给出了18种不同高效螺纹管的结构参数。
|
| 图 2 高效螺纹管表面网格 Fig.2 Surface mesh of high-efficiency screwed pipe |
| 序号 | β/(°) | H/mm | L/mm | H/D | L/D |
| 1# | 15 | 0.4 | 7.01 | 0.016 | 0.280 |
| 2# | 15 | 0.5 | 7.01 | 0.020 | 0.280 |
| 3# | 15 | 0.6 | 7.01 | 0.024 | 0.280 |
| 4# | 25 | 0.6 | 12.20 | 0.024 | 0.488 |
| 5# | 25 | 0.9 | 12.20 | 0.036 | 0.488 |
| 6# | 25 | 1.0 | 12.20 | 0.040 | 0.488 |
| 7# | 30 | 1.0 | 15.10 | 0.040 | 0.604 |
| 8# | 33 | 1.0 | 16.98 | 0.040 | 0.679 |
| 9# | 35 | 1.3 | 18.31 | 0.052 | 0.733 |
| 10# | 37 | 1.0 | 19.70 | 0.040 | 0.788 |
| 11# | 39 | 1.3 | 21.17 | 0.052 | 0.87 |
| 12# | 41 | 1.6 | 22.73 | 0.064 | 0.909 |
| 13# | 43 | 1.3 | 24.38 | 0.052 | 0.976 |
| 14# | 45 | 1.6 | 26.17 | 0.064 | 1.047 |
| 15# | 47 | 1.6 | 28.04 | 0.064 | 1.122 |
| 16# | 50 | 1.4 | 31.16 | 0.056 | 1.247 |
| 17# | 50 | 1.7 | 31.16 | 0.068 | 1.247 |
| 18# | 50 | 1.9 | 31.16 | 0.076 | 1.247 |
| 注:L=(πD/3) tgβ。 | |||||
1.2 控制方程的选取
管中流体可视为稳态、单相、伴随传热的三维流动过程,控制方程选取如下。
连续性方程:
|
(1) |
动量方程:
|
(2) |
能量方程:
|
(3) |
式中:xj表示直角坐标系的坐标方向;uj为坐标方向的速度,m/s;ρ为流体密度,kg/m3;μt为湍动黏度,Pa·s;p为压力,Pa;Pγt为湍流普朗特数。
湍动能和湍动耗散方程为:
|
(4) |
|
(5) |
式中:Gk为平均速度梯度引起的湍流脉动动能产生项;αk和αε分别表示k和ε湍流普朗特数;C1ε和C2ε分别为1.42和1.68;C3ε为浮力对ε的影响系数;Gb为浮力引发的湍流脉动动能项[9]。
入口速度根据雷诺数Re确定(Re选取3 000~40 000),出口条件为自由出流。
1.3 边界条件的设定模型的边界条件充分考虑凝汽器工况及环境温度,因此入口温度为循环水温度(304 K),管壁温度取凝汽器压力下乏汽的饱和温度(318 K),
1.4 求解控制参数的设置方程采用ANSYS FLUENT 12.0稳态求解,压力与速度耦合形式采用Simple格式;动量离散项采用Quick格式;湍动能和湍流耗散率采用Second order upwind格式。
2 模拟结果分析图 3为高效螺纹管纵向截面速度矢量图。由图可以看出,顺时针螺旋线和逆时针螺旋线可以使流体在交叉区域形成涡流,有利于提高传热效率。这是由于管子内壁交叉网格导致湍流的持续局部扩展,产生一个逆压梯度区。图 3中A点为起点,D点为终点(∂p/∂x=0),B点为分离点,C点为回归点(∂u/∂y=0)。随着逆压梯度的增大,在逆压梯度区域内离心力的作用下产生二次涡流,从而降低了边界层厚度,因此,产生较高的局部传热系数。而交叉位置两侧均有涡流的存在,使得管体不会因为涡流的存在产生振动,相反,在交叉的螺旋线内的固定涡流也可能降低传热效率。局部涡流的存在导致动能耗散,从而导致压降升高。
|
| 图 3 高效螺纹管纵向截面速度矢量图 Fig.3 Longitudinal interface speed vector of high-efficiency screwed pipe |
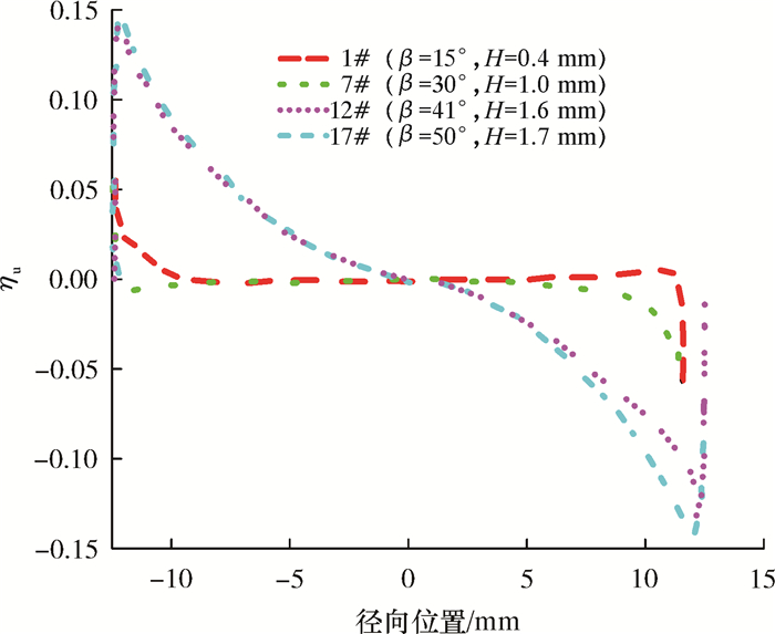
高效螺纹管内的流体在流动方向不会产生旋转,主要是因为在相邻2个网格内产生2个相反的旋转,见图 3。为了阐述内部螺旋线对流场的影响引入无量纲数ηu,ηu为切向分速度与初始速度的比值。图 4为2种螺纹管充分发展阶段在入口速度为1 m/s时的切向速度分布图。
|
| 图 4 不同螺纹管切向速度分布图 Fig.4 Tangential velocity distribution of different screwed pipe |
从图 4中可以看出,高效螺纹管的最大切向速度在壁面附近,对比1#、7#、12#和17#管可以看出,平均ηu几乎为0,说明高效螺纹管内的流体并没有随着螺旋角度及螺纹深度的增大而变化。
引入无量纲数ηNu和ηf,用于比较高效螺纹管不同结构参数在传热和压降方面的性能。其中,ηNu为高效螺纹管努塞尔数与光管的努塞尔数的比值,ηf为高效螺纹管流阻系数与光管流阻系数的比值。
图 5给出了3种不同螺纹角度下螺纹深度对高效螺纹管传热性能的影响。对比3种系列管可以看出,在螺旋角度不变的情况下,随着螺纹深度的增加ηNu增大,并且同一系列(相同螺旋角度)下不同的螺纹深度的增大速率基本相同。小角度(1#~3#管)螺纹管随Re增大ηNu增大幅度略微下降,而大角度螺纹管相对努塞尔数趋向于常数。当螺旋角度为15°,螺纹深度为0.6 mm时,相对努塞尔数增大1.82倍。对比3#管和4#管可以看出,较高的螺旋角并没有改善相对努塞尔数,而在β=25°系列管中,在螺纹深度为1.0 mm时相对努塞尔数的最大增大倍数为2.18倍。
|
| 图 5 3种系列高效螺纹管ηNu随Re变化图 Fig.5 Effect of Re on the ηNu of three series of high-efficiency screwed pipes |
图 5中螺旋角为50°系列管中即使螺纹深度较大(1.4~1.9 mm),但相对努塞尔数增长倍数不大,对比6#管和18#管可以看出,6#管相对努塞尔数增幅比18#管增幅大很多,然而18#管的螺旋深度比6#管大2倍。这表明大螺旋角度并不能有效地强化传热。
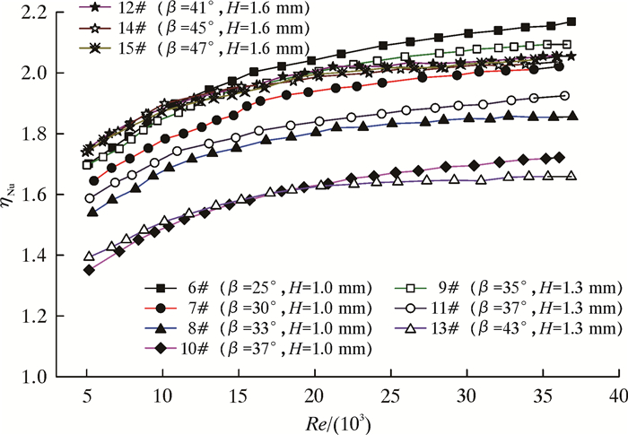
图 6为6#~15#高效螺纹管不同的螺旋角度与螺纹深度对高效螺纹管的影响。对比图中6#管、7#管、8#管和10#管可以看出,在相同螺纹深度H=1.0 mm,随着螺旋角增大,相对努塞尔数增大倍数降低。然而对比12#管、14#管和15#管变化趋势基本相同,导致这一现象的原因是管内流体随着交叉螺旋线在交叉位置形成较大的扰动。从图 4中可以看出,随着螺旋角度的增大,顺时针方向螺旋线产生的切向分速度变大,但逆时针方向也会产生一个相同的切向分速度,这说明会在交叉位置产生一个更大的扰动,因此随着角度的变大会削弱螺纹深度的影响。
|
| 图 6 6#~15#高效螺纹管ηNu随Re变化图 Fig.6 Effect of Re on the ηNu of 6#~15# high efficiency screwed pipes |
为了说明螺纹深度对压降的影响,图 7给出了3种系列高效螺纹管ηf随着Re变化趋势。在同一螺旋角度下随着螺纹深度的增大,相对流阻系数增大且斜率几乎不变,对比3#、4#和16#管可以看出,随着螺旋角度的增大,相对流阻系数增大,这说明较大的螺旋角会增大管内流体的扰动,进而增大压力损失。小角度螺旋角和大角度螺旋角斜率之间的差异比图 5中相对传热系数要小。对于3#、6#和18#管,ηf增大量分别为3.4、5.0和3.7,显然ηf增大量要显著高于ηNu。而对于大角度下16#、17#和18#管变化趋势比较平稳,主要是由于螺距L变大,一方面减少了管壁变形量,流体扰动减少从而引起ηNu增幅不大,另一方面大螺旋角削弱螺纹深度的影响如前文所述。
|
| 图 7 3种系列高效螺纹管ηf随Re变化图 Fig.7 Effect of Re on the ηf of three series of high-efficiency screwed pipes |
图 8给出了6#~15#高效螺纹管相同螺纹深度、不同螺旋角度时,相对流阻系数ηf随Re变化图。由图可以看出,ηf随着螺纹角度的增大而变小,螺纹深度为1.0 mm时,6#管的最大ηf增大5.0倍;螺纹深度为1.3 mm时,9#管的最大ηf增大4.7倍;螺纹深度为1.6 mm时,12#、14#和15#管的ηf几乎趋于平稳。
|
| 图 8 6#~15#高效螺纹管ηf随Re变化图 Fig.8 Effect of Re on the ηf of 6#~15# high efficiency screwed pipes |
R.L.WEBB[10]基于前人的研究提出了一个比较完善的性能评价标准,采用其中的一种作为高效螺纹管的评价标准。相同换热量和泵功率下,强化元件与光管的换热面积之比为ηF,若ηF越大,则说明强化性能越弱。
图 9和图 10为强化性能比随Re变化图。螺纹深度H<1.0 mm的管子(1#~5#),强化性能随着Re的增大而下降,且下降斜率变小。对于螺纹深度大于1.0 mm的管子,强化性能随着Re的增大而下降,最终保持不变。
|
| 图 9 强化比随螺纹深度的变化图 Fig.9 Change of the reinforcement ratio with the thread depth |
|
| 图 10 高效螺纹管不同螺纹深度和螺旋角度下的强化比 Fig.10 The reinforcement ratio of the high-efficiency screwed pipe with different thread depths and thread angles |
上述分析表明,在高雷诺数下,高效螺纹管在较小螺纹深度下性能更好,而在中等雷诺数下,较大螺纹深度下性能更好。
3 结论(1) 高效螺纹管交叉网格导致湍流的持续局部扩展,从而降低了边界层厚度,在交叉位置产生2个旋转方向相反的涡流,有利于增强传热性能。
(2) 6#管传热强化效果最佳,随着Re的增加,强化传热系数ηF逐渐变小,但同时也带来较高的压力损失。
(3) 高效螺纹管螺旋角的最佳范围为20°~30°,在此区间内较小的螺纹深度会得到较大的努塞尔数,另外,传热增加的同时摩擦因数也会增加。
(4) 由于机械制造的局限性,螺纹深度受螺距、管径、管子材质和壁厚的影响。为了排除这些因素对结果的影响,研究中所采用管子的参数符合相关限制条件要求。
| [1] |
龚波.波纹管传热与流动阻力的数值模拟研究[D].哈尔滨: 哈尔滨工业大学, 2006. GONG B. The numerical simulation of heat transfer and flow resistance in corrugated pipes[D].Harbin: Harbin Institute of Technology, 2006. http://cdmd.cnki.com.cn/Article/CDMD-10213-2007033714.htm |
| [2] |
韩怀志, 李炳熙, 何玉荣, 等. 波节管氦气流动与传热特性数值模拟研究[J].
工程热物理学报, 2012, 33(12): 2159-2162.
HAN H Z, LI B X, HE Y R, et al. Numerical simulation research of helium flow and heat transfer characteristic in corrugated tube[J]. Journal of Engineering Thermophysics, 2012, 33(12): 2159-2162. |
| [3] |
黄鹏.螺旋槽管强化传热特性的数值模拟研究[D].西安: 西安科技大学, 2011. HUANG P. Numerical simulation of heat transfer enhancement in spiral groove tubes[D]. Xi'an: Xi'an University of Science and Technology, 2011. |
| [4] | PETHKOOL S, EIAMSA-ARD S, KWANKAOMENG S, et al. Turbulent heat transfer enhancement in a heat exchanger using helically corrugated tube[J]. International Communications in Heat and Mass Transfer, 2011, 38(3): 340-347. DOI: 10.1016/j.icheatmasstransfer.2010.11.014 |
| [5] | MOHAMMED H A, ABBAS A K, SHERIFF J M. Influence of geometrical parameters and forced convective heat transfer in transversely corrugated circular tubes[J]. Int.Commun.Heat Mass Transf., 2013, 44: 116-126. DOI: 10.1016/j.icheatmasstransfer.2013.02.005 |
| [6] | UHIA F J, FERNANDEZ-SEARA J. Heat transfer and friction characteristics of spirally corrugated tubes for outer ammonia condensation[J]. Int. J. Refrig., 2012, 35: 2022-2032. DOI: 10.1016/j.ijrefrig.2012.05.021 |
| [7] | TANG X, DAI X, ZHU D. Experimental and numerical investigation of convective heat transfer and fluid flow in twisted spiral tube[J]. Int. J. Heat Mass Transf., 2015, 90: 523-541. DOI: 10.1016/j.ijheatmasstransfer.2015.06.068 |
| [8] |
杨世铭, 陶文铨.
传热学[M]. 3版. 北京: 高等教育出版社, 2006.
YANG S M, TAO W Q. Heat transfer[M]. 3rd edition. Beijing: Higher Education Press, 2006. |
| [9] | CHOUDHURY D. Introduction to the renormalization group method and turbulence modeling[M].[S.l.]: Fluent Incorporated, 1993. |
| [10] | WEBB R L. Performance evaluation criteria for use of enhanced heat transfer surfaces in heat-exchanger clesign[J]. Int.J.Heat Mass Transfer, 1981, 24(4): 715-726. DOI: 10.1016/0017-9310(81)90015-6 |


