0 引言
水力压裂是油气藏储层改造和试油完井作业的一项重要技术,广泛应用于低渗透油气藏及页岩气储层改造中,取得了良好的效果。目前国内外许多水力压裂专家及油气田压裂工程师的研究与现场经验指出,压裂时地面压裂泵组以稳定大排量和高压力向井筒注入高浓度压裂液,是实现裂缝开启和延伸扩展、改善压裂效果以及提高油气井产量和采收率的主要途径。但是笔者前期研究发现,相比于稳态注入过程,在保持现有压裂规模(液量和砂量)不变的前提下,人为地将地面压裂泵组的输出排量和压力以不稳定的方式注入时,可以显著提高水力压裂的改造效果。分析结果认为,作业时压裂泵组以不稳定的排量和压力注入过程中,不稳定的注入排量和压力沿井筒方向以压力波的形式在井底储层附近产生较大的“压力振动”,这种压力振动会产生压力振动波。该压力振动波通过储层射孔孔道(原始裂缝)传播,在储层孔道或原始裂缝内人为地增加一定的内压,再加之孔道内部或原始裂缝内注入流体的稳态压力,将在储层中产生新裂缝或延伸扩展原始裂缝。由于裂缝内压力或应力的增大,可以进一步延伸和扩展新裂缝,从而延长油气与井筒的流动通道,增加井筒供给面积,大幅度地改善水力压裂改造效果,提高油气井的产量和采收率。
目前,关于水力压裂及裂缝扩展方面,国内外学者进行了大量的理论研究、参数优化、室内试验研究以及现场应用分析。B.LECAMPION等[1]分析了井筒内的流量分配对于裂缝扩展的稳定性影响,同时考虑了井筒中的摩擦阻力,通过分析井筒的摩擦阻力对流量分配的影响,发现在考虑摩擦阻力后裂缝有可能会稳定扩展;庄茁等[2]对页岩水力压裂中的关键基础力学问题进行了研究,建立了页岩本构模型和断裂力学理论,开展了页岩人工裂缝扩展的大型物理模型试验;张汝生等[3]考虑流体在裂缝面横向、纵向流动,采用有限元软件ABAQUS模拟了岩石水力压裂的三维复合裂缝起裂与扩展;李根生等[4]概述了井壁地应力、地应力与裂缝走向、射孔方位、间距等地应力及射孔参数对水力压裂的影响理论和试验研究进展;田守嶒等[5]介绍了水力喷射射孔和水力射孔裂缝起裂控制机理,分析了水力喷砂射孔效果的影响因素;D.N.MECHAN等[6]分析了储层非均质性和裂缝方位对裂缝长度和井网优化的影响;L.E.JR.EAST和韩继勇等[7-8]分析了水力压裂在水平井完井的厚页岩储层和长庆低渗透储层中的成功应用案例;O.A.ALGADI等[9]利用连续管多级水力压裂技术在非常规储层Permian Basin进行了水平井试验,试验中增产效果显著。
上述文献针对水力压裂起裂机理、裂缝扩展和现场应用等方面开展了相关研究,取得了一些认识和结论,但在不稳定流体注入条件下水力压裂的关键科学问题研究不足,特别是不稳定流体注入条件下井筒压力计算、裂缝内压力分布和裂缝尖端应力等相关的理论研究较少。此外,还需要从理论上解释不稳定注入方式是否对提高水力压裂改造效果具有积极作用。因此,笔者根据流体力学、波动力学及断裂力学理论,分析了不稳定流体注入时水力裂缝内压力和尖端应力的变化规律,研究结果可为变排量压裂工艺的提出和科学设计提供理论依据。
1 井筒内波动压力连续管环空压裂过程中,井筒内不稳定流体的压力和流量脉动过程可视为压力波的传播过程。为获得由于压裂泵注入排量动态变化而引起的井筒内附加的波动压力,根据流体力学理论,不稳定流体在井筒内流动的运动方程为[10]:
|
(1) |
式中:ρo为环空流体的密度,g/cm3;u(x, t )为环空任意深度和流动时间下流体的流速,m/s;p(x, t) 为环空任意深度和流动时间下流体的波动压力,MPa;t为环空流体流动时间,s;x为坐标,正方向为流体流动方向。
由于压裂柱塞泵组输出系统的特性,使环空内的流体产生一定频率的流量波动和压力波动。为便于分析,设压裂柱塞泵组输出的排量以正弦波形式描述,即:
|
(2) |
式中:Qo(t) 为压裂柱塞泵组输出排量,m3/min;
压裂柱塞泵组曲轴的运转频率为:
|
(3) |
式中:m为压裂柱塞泵组的泵数;k为每台压裂柱塞泵柱塞数;n为每台压裂柱塞泵曲轴的转速,r/min。
环空内不稳定流体的波动流量可描述为:
|
(4) |
式中:Dt为管柱外径,mm;dc为套管内径,mm。
将式(2)~式(4)代入式(1)并积分可得:
|
(5) |
式中:l为井深,m。
式(5)和式(4)即为不稳定流体注入条件下井筒内环空流体的波动压力和波动流量计算模型,为分析水力压裂过程中不稳定注入排量对储层裂缝内压力及尖端应力的影响提供了载荷依据。
2 裂缝内压力分布不稳定流体注入条件下,当井底压力(稳态注入井底压力+井底波动压力)超过储层岩石破裂压力后,岩石将发生破裂并形成主裂缝。不稳定的水力压力振动波沿裂缝长度方向传播,增大了裂缝内的压力,使裂缝内的净压力也随之增大,从而迫使裂缝不断开启和延伸[11]。
裂缝内任一点的净压力为:
|
(6) |
式中:pfnp (ξ, t) 为裂缝内ξ方向任意一点的净压力,MPa;pfc (ξ, t) 为裂缝内ξ方向任意一点的压力,MPa;pc为裂缝的闭合压力,MPa。
图 1为储层岩石裂缝内任意一点的压力分布示意图。图中岩石裂缝的长、宽、高分别沿ξ、η和z 3个方向。为便于分析,按照惯例对裂缝做如下假设:
|
| 图 1 裂缝内任意一点压力分布 Fig.1 Pressure distribution in the fracture |
(1) 裂缝的开启、扩展和延伸均在ξ、η平面内;
(2) 裂缝的高度沿整个缝长ξ方向不变,即在上、下层受阻;
(3) 不考虑裂缝端面形状(椭圆或矩形)对射入裂缝内水力压力振动波波形的影响,压力振动波沿裂缝内初始稳态流体的自由面传播。
井筒和裂缝系统中纵波与横波的转换示意图如图 2所示。考虑井底内有限(空间)的水力流体域,它通过岩石中长、宽、高的立体裂缝通道与无限大的储层相连通。根据波动力学理论[12],假定井底水力振动产生的压力波沿缝长ξ方向推进,裂缝内稳态流体自由面的压力波形方程为Ψ(ξ, t) ,Ψ实际上可看作裂缝内压力波面到稳态流体自由面的垂直压力振幅。裂缝内自由压力波面也可以写成:
|
| 图 2 井筒和裂缝系统中纵波与横波的转换示意图 Fig.2 Longitudinal and transverse waves of unstable fluid between wellbore and fracture |
|
(7) |
式(7)对时间t求导数得:
|
(8) |
其微分方程的边界条件为:
|
(9) |
式中:U(ξ, η, t)为裂缝内压力波传播的位(势)函数。
假设U(ξ, η, t)位(势)函数有幂级数解:
|
(10) |
将式(9)及式(10)代入式(8)整理并化简,得近似解:
|
(11) |
式中:λ为水力压力波波长,m;T为水力压力波传播周期,s;t为时间,s;ξ为裂缝长度,m。
式(11)满足初始条件t=0时,Ψ(l, 0)= 
故裂缝内ξ方向任意一点的压力为:
|
(12) |
式中:pfw为裂缝内稳态注入流体的自由面压力,MPa。
从而得裂缝内ξ方向任意一点的净压力为:
|
(13) |
水力压力振动波在裂缝内传播,其传播速度取决于岩石的剪切模量和密度,即:
|
(14) |
其中:
|
(15) |
式中:G为岩石的剪切模量,MPa;ρr为岩石的密度,g/cm3;E为岩石的弹性模量,MPa;μ为岩石的泊松比。
波动过程中,压力波在1个周期内传播的波速与波长、波周期满足下式:
|
(16) |
联立式(14)~式(16)得:
|
(17) |
式(17)即为水力压力振动波在裂缝内传播波长与周期的关系式,据此可以假定裂缝内压力波的传播波长λ,根据式(11)判断压力波能量在裂缝内的传播情况。
3 裂缝的尖端应力在裂缝净压力pfnp(ξ, t) 作用下,裂缝尖端不断开启和延伸,使裂缝缝长逐渐增加,裂缝尖端出现了明显的应力变化。为简化分析,将裂缝的三维应力问题转化为二维问题来处理。根据断裂力学理论,孔边单侧裂纹在内压作用下裂缝尖端的应力场、位移场和应力强度因子为[13]:
|
(18) |
|
(19) |
|
(20) |
对于对称的裂缝扩展问题,有:
|
(21) |
式中:

裂缝尖端的应力场式(18)和位移场式(19)中的待定系数取决于裂缝以外的边界条件,可由最小势能原理确定。其势能变分方程为:
|
(22) |
式中:sp为静力边界;sc为裂纹表面;Ti为sc边界上面力分量。
将式(18)、式(19)及式(21)代入式(22),可得关于上述待定系数的线性代数方程组:
|
(23) |
其中:
|
(24) |
可以看出,式(23)包括3N+1个方程。当k=1,2,3时,m=1,……,N。式(24)也有3N+1个待定常数,这些待定常数为

联立式(24)求解此方程组(23),即可得待定系数。
故求解可得孔壁单侧裂纹尖端的应力强度因子KI、孔壁峰值应力σpm和系统总势能Π为:
|
(25) |
|
(26) |
|
(27) |
其中:
|
(28) |
式中:tz为长方体储层沿z方向的厚度,计算取有效储层厚度,m;σ为孔边单侧裂纹内的压力,计算取裂缝内的波动压力,MPa。
4 工程算例 4.1 裂缝内压力实例分析将ø50.8 mm连续管喷射压裂工具串下入至ø139.7 mm×9.17 mm P110套管中,射孔层位置约x=3 500 m。已知连续管环空压裂主压裂泵数m=1,柱塞数k=3,曲轴转速n=454 r/min,运转相位

|
| 图 3 不同波长条件下裂缝内波动压力随传播时间变化曲线 Fig.3 The fluctuating pressure in fracture versus propagation time under different wavelengths |
由图 3可以看出:一定裂缝长度下,裂缝内的波动压力随着压力波传播时间呈明显的衰减现象;随着水力压力波波长的增加,裂缝内的波动压力衰减幅度加剧,压力能量损失加快。这是因为水力压力振动波在裂缝内传播时,并不是无约束自由传播状态,而是受裂缝上下岩层约束、岩石摩擦阻力以及压裂液滤失的影响,压力波振幅沿缝长方向会出现衰减现象,符合衰减波的规律。因此,压裂过程中,需要不间断地补充水力压力振动波,通过快速改变地面压裂泵组的注入排量,即采用“不稳定的排量”注入,以获得井底不稳定的水力压力振动波,持续补充裂缝内的延伸压力,从而获得更长的水力裂缝,提高油气井的供油面积,达到良好的改造效果。
4.2 裂缝尖端应力实例分析为便于对比井筒及裂缝在储层中的应力状态,引入无因次量

|
| 图 4 无因次应力强度因子KI随项数N的收敛情况 Fig.4 The convergence of dimensionless stress intensity factor KI with N |
|
| 图 5 无因次峰值应力σpm随项数N的收敛情况 Fig.5 The convergence of dimensionless peak stress σpm with N |
|
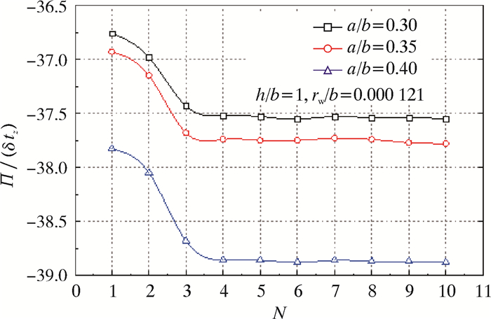
| 图 6 无因次总势能Π随项数N的收敛情况 Fig.6 The convergence of the total potential energy Π with N |
由图 4~图 6可以看出,在长裂纹条件下,当项数N>9时,无因次应力强度因子KI、峰值应力σpm、总势能Π趋于稳定,即可得稳定的可靠结果。KI与Π和σpm相比,其收敛较为迅速。在项数N不变的情况下,随无因次长度a/b的增加,KI、Π和σpm均相应地增加,裂缝延伸越长,裂缝开启和扩展的应力强度因子越大,裂缝尖端应力也越大,存储的总势能也呈增大趋势,但裂缝开启到一定程度后,所需要的裂缝应力强度因子趋于稳定,即在较小的应力作用下裂缝可延伸较长的距离。这表明,裂缝一旦开启、扩展和延伸后,裂缝只需在较小的净压力作用下,可延伸更长的距离,实现与边远储层的有效连通,提高油气井的产量。
5 结论及建议(1) 根据波动力学理论建立了水力压力振动波在裂缝内的传播方程,其传播规律为:水力压力振动波沿缝长方向传播时并不是以恒定压力振幅传播,而是呈现压力振幅衰减的规律。
(2) 不稳定流体的注入方式可以提高水力压裂的改造效果。建议压裂阶段在保持现有压裂作业规模(水量、砂量)不变的情况下,采用水力压力波动注入增产工艺,可以适当减小压裂施工排量,通过不稳定的排量注入使井底产生较大的波动压力,这样不仅可以降低压裂最高施工压力,还能提高压裂改造效果。
(3) 根据流体力学理论建立了不稳定流体注入条件下井筒内波动压力和流量计算模型,该模型考虑了压裂泵工作转速、输出排量、井深、套管内径和油管外径等参数的影响,可以较好地描述不稳定流体在井筒内引起的波动压力。
| [1] | LECAMPION B, DESROCHES J. Simultaneous initiation and growth of multiple radial hydraulic fractures from a horizontal of wellbore[J]. Journal of the mechanics and physics of solids, 2015, 82: 235-258. DOI: 10.1016/j.jmps.2015.05.010 |
| [2] |
庄茁, 柳占立, 王涛, 等. 页岩水力压裂的关键力学问题[J].
科学通报, 2016, 61(1): 72-81.
ZHUANG Z, LIU Z L, WANG T, et al. The key mechanical problems on hydraulic fracture in shale[J]. Chinese Science Bulletin, 2016, 61(1): 72-81. |
| [3] |
张汝生, 王强, 张祖国, 等. 水力压裂裂缝三维扩展ABAQUS数值模拟研究[J].
石油钻采工艺, 2012, 36(6): 69-72.
ZHANG R S, WANG Q, ZHANG Z G, et al. Research of ABAQUS numerical simulation of 3D fracture propagation in hydraulic fracturing process[J]. Oil Drilling & Production Technology, 2012, 36(6): 69-72. DOI: 10.3969/j.issn.1000-7393.2012.06.020 |
| [4] |
李根生, 黄中伟, 牛继磊, 等. 地应力及射孔参数对水力压裂影响的研究进展[J].
石油大学学报(自然科学版), 2005, 29(4): 136-142.
LI G S, HUANG Z W, NIU J L, et al. Research advace of influence of geostress and perforation parameters on hydraulic fracturing[J]. Journal of the University of Petroleum, 2005, 29(4): 136-142. DOI: 10.3321/j.issn:1000-5870.2005.04.033 |
| [5] |
田守嶒, 李根生, 黄中伟, 等. 水力喷射压裂机理与技术研究进展[J].
石油钻采工艺, 2008, 30(1): 58-62.
TIAN S C, LI G S, HUANG Z W, et al. Research on hydrajet fracturing mechanisms and technologies[J]. Oil Drilling & Production Technology, 2008, 30(1): 58-62. DOI: 10.3969/j.issn.1000-7393.2008.01.016 |
| [6] | MECHAN D N, NOREN R N, AXIZ K. Effects of reservoir heterogeneity and fracture azimuth on optimization of fracture length and well spacing[R]. SPE 17303, 1988. https://www.onepetro.org/conference-paper/SPE-17606-MS |
| [7] | JR EAST L E, GRIESER W, MEDANIEL B W, et al. Successful application of hydrajet fracturing on horizontal wells completed in a thick shale reservoir[R].SPE 91435. 2004. https://www.onepetro.org/conference-paper/SPE-91435-MS |
| [8] |
韩继勇, 逄仁德, 王书宝, 等. 水力喷射环空压裂技术在长庆油田的应用[J].
钻采工艺, 2015, 38(1): 48-50.
HAN J Y, PANG R D, WANG S B, et al. Application of hydraulic jet annulus sand filled fracturing technology in Changqing Field[J]. Drilling & Production Technology, 2015, 38(1): 48-50. DOI: 10.3969/J.ISSN.1006-768X.2015.01.13 |
| [9] | ALGADI O A, FILYUKOV R V, LUAN D. Multistage hydraulic fracturing using coiled tubing-activated frac sleeves: Case study from the Permian Basin[R]. SPE 170821, 2014. https://www.onepetro.org/conference-paper/SPE-170821-MS |
| [10] |
苏尔皇.
管道动态分析及液流数值计算方法[M]. 哈尔滨: 哈尔滨工业大学出版社, 1985: 104-106.
SU E H. Dynamic analysis of pipeline and flow numerical calculation method[M]. Harbin: Harbin Institute of Technology Press, 1985: 104-106. |
| [11] |
王鸿勋.
水力压裂原理[M]. 北京: 石油工业出版社, 1987: 15-30.
WANG H X. Principle of hydraulic fracturing[M]. Beijing: Petroleum Industry Press, 1987: 15-30. |
| [12] |
李永池.
波动力学[M]. 合肥: 中国科学技术大学出版社, 2015: 127-156.
LI Y C. Wave mechanics[M]. Hefei: Press of University of Science and Technology of China, 2015: 127-156. |
| [13] |
张行.
断裂与损伤力学[M]. 北京: 北京航空航天大学出版社, 2009: 114-135.
ZHANG H. Fracture and damage mechanics[M]. Beijing: Bei hang University Press, 2009: 114-135. |


