2. 中国石油大学(华东)石油工程学院
2. School of Petroleum Engineering, China University of Petroleum(Huadong
0 引言
水力喷射式海底挖沟通常用于海底管道和电缆等铺设工程,是提高深水海底管线在海底的稳定性及防止外部机械损伤的最有效措施之一[1-2]。水力喷射设备具有结构简单、挖沟效率高及对土层适应性强等优点,泵压通常在1.5 MPa左右[3]。常规水力喷射式挖沟机所用喷嘴为锥形喷嘴,依靠形成的连续射流实现冲蚀挖沟[4-6]。当遇到高强度土层时,连续射流的冲蚀效果变差,挖沟效率会降低。因此,研究冲蚀能力更强的射流和相应的喷嘴结构十分必要。
通常,空化射流借助于空化现象产生的高速微射流可大大提高冲蚀效果和效率[7]。在已知的空化射流喷嘴中,缩扩形喷嘴与锥形喷嘴最为接近,其流阻也比其他空化射流喷嘴小。以往的研究表明缩扩形喷嘴在高压喷射时容易诱发射流空化[8]。低压喷射时(如喷嘴压降1.5 MPa),射流空化对缩扩喷嘴结构尺寸的依赖关系尚不清楚。
针对低泵压海底挖沟工况,笔者基于理论分析,设计了新型缩扩形空化射流喷嘴,通过数值模拟和砂样冲蚀试验,分析了喷嘴结构参数对射流及其冲蚀效果的影响。笔者的研究不仅能丰富空化射流理论,而且也能为水力挖沟工程提供一种新型高效空化射流喷嘴。
1 缩扩形喷嘴设计在高压水射流技术领域,采用特殊的喷嘴结构诱导产生空化射流,如旋流式和自振式喷嘴用于高压喷射破岩等显著提高了射流冲蚀能力和效率[4, 9-10]。通常,空化射流喷嘴的流量系数较小,射流的有效喷距也比较短。
1.1 缩扩形喷嘴结构与其他空化射流喷嘴相比,缩扩形喷嘴在结构上与锥形喷嘴最相近,喷嘴流阻也较小。缩扩形喷嘴结构如图 1所示,前部分采用典型的Leach & Walker锥形喷嘴结构[8],出口部分设计为扩张形式,用来诱发射流空化。借此,希望在保持连续射流有效喷距长的优势下,喷嘴能够诱导射流空化。图中:α为入口收缩角, β为扩张角,Lc为收缩段,Ld为喉道,Le为扩张段,do为喉道直径。
|
| 图 1 缩扩形喷嘴结构示意图 Fig.1 Structural schematic of the converging and expanding nozzle |
1.2 喷嘴扩张段功能理论分析
理论上,流场中空化现象起源于局部压力的降低。当压力降低至一定值时,液体汽化或其中的溶解气析出形成空泡核,空泡核继续长大形成空泡,遇到下游局部压力的稍微升高或强烈脉动时,空泡会破裂。空泡溃灭过程中形成高速微射流,可提高射流冲蚀能力。控制空泡的溃灭难度大,而控制空泡的孕育相对容易[10-13]。
图 1所示喷嘴在一定的扩张段长度和角度下,喉部喷出的高速流体由于高速剪切作用,立即卷吸携带其周围流体,导致扩张锥内流体减少和压力降低,可诱发空化产生。理论认为,扩张段长度过短或角度太大,都不利于低压区的形成;扩张段长度过长或角度过小,会导致空化的过早发育或喷嘴流动阻力的显著增加。此次研究中将β设为30°。
2 缩扩形喷嘴诱导空化喷射数值模拟 2.1 射流介质及数学模型处理笔者模拟采用Fluent软件[14],多相流模型采用Mix-ture,主相为不可压缩液态水,第2相为水蒸气,湍流模型选用RNG k-ε模型,压力与速度耦合选用SIMPLEC算法,采用二阶迎风式的湍流输运方程和动量方程。以含气体积分数为参数来判断空化的孕育能力并确定空化孕育的发生区域。
2.2 物理模型及流场边界条件喷嘴及流场为轴对称结构,因此取其轴线截面的
|
| 图 2 缩扩形喷嘴及流场物理模型示意图 Fig.2 Schematic diagram of physical model of converging and expanding nozzle and flow field |
2.3 网格划分
对喷嘴及流场模型区域进行网格划分,对喉部及扩张段进行局部网格加密。流场网格划分如图 3所示。网格数为23 860个。
|
| 图 3 喷嘴及流场网格划分 Fig.3 Nozzle and flow field meshing |
2.4 流场空化相关特性分析
流场中射流速度云图如图 4所示。流场静压力云图如图 5所示。
|
| 图 4 径向速度和轴向速度云图 Fig.4 Radial velocity and axial velocity distribution |
|
| 图 5 流场静压力云图 Fig.5 Flow field static pressure distribution |
根据图 4,扩张段喷射主流与其周围流体具有强剪切特点,主流卷吸外围流体严重。该区域径向速度为负值是射流卷吸外围流体的直观说明。
图 5表明,压力最低的区域主要在喷嘴扩张段,该处的压力远低于远场出口压力。结合图 4,基于扩张段一定角度和长度约束,射流卷吸携带扩张段内环形区域的流体在该区域形成低压,在射流边界附近形成一个有利于空化初生和空泡长大的孕育流场,从而有利于形成空化射流。
流场空化孕育能力可以利用数值模拟得到的流场含气体积分数(可视为空泡核体积分数)来表示。图 6为流场模拟得到的含气体积分数分布云图。
|
| 图 6 流场中含气体积分数分布云图 Fig.6 Distribution of the gas concentration (volume) in the flow field |
根据图 6,流场中的最大含气体积分数达到了0.9,喷嘴孕育射流空化的能力强。空泡核的孕育区域靠近壁面,主要集中在扩张段,与图 5的低压区相对应[15]。
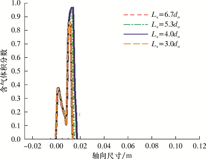
2.5 扩张段长度对流场含气体积分数的影响其他参数不变,改变喷嘴扩张段的长度(Le =3.0do、4.0do、5.3do和6.7do),考察喷射流场内含气体积分数的变化。扩张段流场强剪切层处含气体积分数变化见图 7。
|
| 图 7 扩张段流场高剪切层处的含气体积分数 Fig.7 Gas concentration(volume) at the high shear layer in the flow field at the converging section |
图 7中的横坐标为轴向位置坐标(扩张段开始坐标为0.009 m),含气体积分数值取自距轴线1.5 mm(喷嘴半径)处,由喉部喷出的主流与周围淹没流体的掺混在该处最强。4条曲线对应于4个不同扩张段长度的喷嘴。可以看出,不同扩张段长度对强掺混区(射流边界)的含气体积分数影响很大。当Le=4do时,该区域含气体积分数最高,说明该结构喷嘴产生空泡核的效果最好。
3 扩张段结构参数对喷射冲蚀效果的影响试验通过在相同条件下对人造砂样的冲蚀效果,对比分析喷嘴扩张段结构参数对射流性能的影响。冲蚀试验在淹没水深0.15 m条件下进行。水力参数主要通过控制喷嘴的压力降来实现,喷嘴压降采用海底挖沟现场的控制压力,即1.5 MPa。冲蚀切割喷嘴移速为1.5 m/min。
模拟渤海海底不同的泥砂强度,配制冲蚀试验所用较硬质的砂样试件,抗直剪强度为50 kPa。
3.1 试验喷嘴结构参数喷嘴收缩段及喉部参数设计借鉴Leach & Walker推荐的最佳参数范围。入口收缩角均为20°,喷嘴直径do=3 mm。扩张段角度为30°喷嘴结构参数变化的是扩张段长度,参数变化范围见表 1。表中J代表锥形喷嘴,对应非空化射流。
| 喷嘴代号 | 喉道长度/mm | 扩张段长度/mm | 扩张角/(°) |
| F | 9.0 | 9.0 | 30 |
| G | 9.0 | 12.0 | 30 |
| H | 9.0 | 16.0 | 30 |
| I | 9.0 | 20.0 | 30 |
| J | 4.5 | 0.0 | 0 |
3.2 扩张段长度对冲蚀效果的影响
试验冲蚀喷距为0.04 m。冲蚀试验结果见表 2。冲蚀破坏后的砂样试件如图 8所示。将冲蚀深度和宽度无因次化(喷嘴直径倍数)并绘图,得到扩张段长度对冲蚀效果的影响曲线,结果如图 9所示。
| 喷嘴代号 | F | G | H | I | J |
| 深度 | 20 | 45 | 29 | 22 | 26 |
| 宽度 | 16 | 38 | 18 | 17 | 10 |
|
| 图 8 冲蚀破坏后的砂样试件 Fig.8 Sand sample after erosion damage |
|
| 图 9 扩张段长度对冲蚀效果的影响曲线 Fig.9 Influence of the converging section length on the erosion effect |
表 2和图 9表明,当扩张段长度为4.0d0时,冲蚀效果最佳。对比4种喷嘴,G喷嘴对应的冲蚀深度和宽度比其他喷嘴的效果分别可提高125%和75%。扩张段长度对冲蚀效果的影响显著,过长和过短会对射流空化效果产生不利影响。相比锥形喷嘴J,G喷嘴的冲蚀深度及宽度分别提高了73%和280%,空化效果的冲蚀优势得以充分体现。
4 结论(1) 基于经典的锥形Leach & Walker喷嘴结构,设计了缩扩形空化喷嘴,分析了喷嘴诱发射流产生空化的基本原理。数值模拟及流场特点分析发现,该喷嘴在低压1.5 MPa条件下孕育诱发射流空化的能力强,空化孕育区域主要在扩张段靠近壁面区域。
(2) 利用淹没条件下对砂样试件的冲蚀试验,考察了扩张段长度喷嘴结构参数对冲蚀深度和宽度的影响,得到了海底挖沟泵压条件下缩扩形喷嘴的合理结构参数:收缩角为20°,喉道长度为3.0do,角度30°的扩张段长度为4.0do。
(3) 试验结果表明:缩扩形喷嘴的扩张段长度明显影响喷嘴射流冲蚀能力。喷嘴扩张段长度为4.0do时比3.0do、5.3do和6.7do时的冲蚀深度及宽度可分别提高125%和75%,与锥形喷嘴相对比,冲蚀深度及宽度分别提高了73%和280%。
| [1] | OCHTMAN J A, DEN BOER A S. Post plowing for rigid lines-controlled trench depth and high progress rate[R]. OTC 3738, Houston: Offshore Technology Conference, 1980. |
| [2] | NIEDORODA A W, PALMER A C. Subsea trench infill[R]. OTC 5340, Houston: Offshore Technology Conference, 1986. |
| [3] |
杨永印, 李根生. 超高压水射流破岩及切割实验研究[J].
石油大学学报(自然科学版), 2003, 27(1): 36-37, 48.
YANG Y Y, LI G S. Experiment on cutting of super-high pressure water jet[J]. Journal of the University of Petroleum, China, 2003, 27(1): 36-37, 48. |
| [4] |
吴强. 用于喷射式挖沟机的喷嘴结构及喷嘴组合的研究[D]. 青岛: 中国石油大学(华东), 2011. WU Q. Study on nozzle configuration and nozzle combination used on jet trencher[D]. Qingdao: China University of Petroleum, 2011. |
| [5] |
迟令宝. 海底犁式挖沟机总体结构研究[D]. 哈尔滨: 哈尔滨工程大学, 2010. CHI L B. Study on general structures of the submarine plough[D]. Harbin: Harbin Engineering University, 2010. |
| [6] |
张国光. 世界著名水下开沟机械设计施工公司与机型介绍[J].
海洋技术, 1996, 15(2): 55-64.
ZHANG G G. Developing company and type of famous submarine trenching machines[J]. Ocean Technology, 1996, 15(2): 55-64. |
| [7] |
王积伟.
液压传动[M]. 北京: 机械工业出版社, 2006.
WANG J W. Hydraulic transmission[M]. Beijing: Machinery Industry Press, 2006. |
| [8] | LEACH S J, WALKER G L, SMITH A V, et al. Some aspects of rock cutting by high speed water jets and discussion[J]. Philosophical Transactions of the Royal Society of London. Series A, Mathematical and Physical Sciences, 1966, 260(1110): 295-310. DOI: 10.1098/rsta.1966.0051 |
| [9] |
王汝元, 李兆敏, 孙兴文. 锥型喷嘴组合射流特性试验研究[J].
石油大学学报(自然科学版), 1991, 15(3): 52-56.
WANG R Y, LI Z M, SUN X W. Experimental study on combined jet characteristics of tapered nozzles[J]. Journal of the University of Petroleum, China, 1991, 15(3): 52-56. |
| [10] | YANG Y Y, ZOU D Y, SUN W L, et al. A swirling jet from a nozzle with tangential inlets and its characteristics in breaking-up rocks[J]. Petroleum Science, 2012, 9(1): 53-58. DOI: 10.1007/s12182-012-0182-0 |
| [11] | HAMMITT F G. Cavitation and multiphase flow phenomena[M]. New York: McGraw-Hill, 1980. |
| [12] | LEROUX J B, ASTOLFI J A, BILLARD J Y. An experimental study of unsteady partial cavitation[J]. Journal of Fluids Engineering, 2004, 126(1): 94-101. DOI: 10.1115/1.1627835 |
| [13] | HICKLING R, PLESSET M S. Collapse and rebound of a spherical bubble in water[J]. Physics of Fluids, 1964, 7(1): 7-14. DOI: 10.1063/1.1711058 |
| [14] |
卢义玉, 王晓川, 康勇, 等. 缩放型喷嘴产生的空化射流流场数值模拟[J].
中国石油大学学报(自然科学版), 2009, 33(6): 57-60.
LU Y Y, WANG X C, KANG Y, et al. Numerical simulation for cavitation water jet flow field through convergent-divergent nozzle[J]. Journal of the University of Petroleum, China, 2009, 33(6): 57-60. |
| [15] |
赵丁选, 王倩, 杜苗苗. 基于Fluent角型喷嘴内部空化行为的数值模拟[J].
东北大学学报(自然科学版), 2016, 37(9): 1283-1287.
ZHAO D X, WANG Q, DU M M. Fluent-based numerical simulation of the cavitation behavior in the angle nozzle[J]. Journal of Northeastern University (Natural Science), 2016, 37(9): 1283-1287. |



