0 引言
可拆式板式换热器主要由换热板片、固定压紧板、活动压紧板、夹紧螺栓、导轨、密封垫片和支架等构件组成,通过波纹状换热板片叠加形成的交错流道实现冷、热介质热量交换,具有传热系数高和组装灵活等优点[1],广泛应用于石油、化工和冶金等行业。密封垫片作为板式换热器的一个重要部件,对其正常工作有重要影响,不仅要密封介质、防止泄漏,而且还要防止热交换介质互混。其密封原理为[2]:通过夹紧螺栓向垫片施加预紧力,使其压缩变形,从而达到密封的效果。实际工作中,密封垫片因压紧板变形产生回弹,其表面压应力减小,板式换热器因此可能发生泄漏。
目前,国内外对板式换热器密封垫片回弹性能研究较少。唐海等[3]通过研究横截面为菱形的橡胶密封垫片压缩和回弹试验,得到了橡胶压缩回弹特性;文献[4]对板式换热器进行了微变形试验,获得螺栓受力值和压紧板变形;文献[5]数值分析了预紧工况和加压工况下密封垫片的应力情况。
上述文献均未研究板式换热器压紧板变形对密封垫片密封性能的影响。鉴于此,笔者基于板式换热器静压试验结果进行数值仿真,分析压紧板变形及其密封垫片一道、二道密封回弹量,并由此研究垫片的密封性能。研究结果对板式换热器密封结构的设计具有一定的参考价值。
1 板式换热器静压试验试验主要包括2部分内容:测量某板式换热器在不同工作压力下夹紧螺栓受力值、固定压紧板和活动压紧板变形量。
试验前,首先在夹紧螺栓上粘贴应变片并组成测力电桥,再在WE-60万能材料试验机上标定,然后预紧夹紧螺栓,使得固定压紧板和活动压紧板间距为240 mm,夹紧螺栓分布如图 1所示。在固定活动压紧板两侧分别放置一带孔参考板,待参考板和压紧板间距调整合适时,将参考板焊接固定。
|
| 图 1 板式换热器夹紧螺栓分布图 Fig.1 The fastening bolt distribution of the plate heat exchanger |
双侧压力试验测试:试验压力自0.0 MPa每次以0.2 MPa递增至1.8 MPa,用SDY2206型程控静态电阻应变仪测量每次应变值,并每次用深度尺测量测量点位置固定、活动夹紧板至参考板距离。
2 仿真模拟及分析假设板式换热器中的每个换热板片及其密封垫片厚度相同,则若已知固定夹紧板和活动压紧板之间的距离,就可得密封垫片压缩比及回弹量,故应用三维设计软件Solidworks仅建立固定压紧板、活动压紧板、夹紧螺栓及支架等三维模型,忽略密封垫片和换热板片三维结构。
密封垫片、交换介质及换热板片对固定、活动压紧板的作用大小相等,方向相反,故可在固定、活动压紧板上施加压力来模拟其作用。周明连等[6]在试验中发现板式换热器内存在偏流等流量分配不均现象;景步云等[7]对R22板式蒸发器中沿流动方向的各点分布参数进行数值模拟,表明介质流动时压力沿板长方向变化。
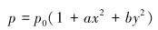
上述研究表明,板式换热器换热板片、密封垫片及换热介质作用在压紧板上的压力分布不均,故在固定压紧板上建立局部坐标系,原点为固定压紧板中心,宽度方向为x轴,长度方向为y轴,外法线方向为z轴,假设施加在固定压紧板上的压力p为:
|
(1) |
式中:p0为工作压力;a、b为自变量。
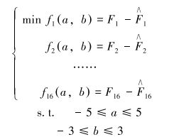
应用HyperStudy软件进行DOE(The Design of Experiments Method)试验设计[8],其中选用中心复合法(Central Composite Design)进行试验研究,试验点总数为2n+2n+1,n为参数个数,然后基于DOE试验设计点进行响应面拟合,并根据拟合的响应面进行多目标优化设计。结合式(1)设计参数,可确定板式换热器多目标优化问题的数学形式[9-10],表示如下:
|
(2) |
式中:fi (a, b)为目标函数, i=1, ……,16;F1,……,F16为夹紧螺栓仿真模拟值;

采用NSGA2[11](Non-Dominated Sorting in Genetic Algorithm-Ⅱ)算法并应用上述数学模型进行优化,NSGA-Ⅱ是最优秀的多目标优化算法之一,其具体过程如下:
(1) 随机产生初始种群P0,然后对种群进行非劣排序,每个个体被赋予秩;再对初始种群执行二元竞标赛选择、交叉、变异,得到新的种群Q0,令t=0。
(2) 形成新的群体Rt=Pt∪Qt,对种群Rt进行非劣排序,得到非劣前端E1, E2,……。
(3) 对所有Ei拥挤比较操作
(4) 对种群Pt+1执行复制、交叉和变异,形成种群Qt+1。
(5) 如果终止条件成立,则结束;否则,t=t+1,转到(2)。
经过1 000多步优化后,得到该多目标优化问题的Pareto最优解集。Pareto最优解并不唯一,选择其中一组作为最优解,即a=1.28, b=-0.58,则可得施加在固定压紧板上的压力为:
|
(3) |
为验证采用NSGA-Ⅱ算法的多目标优化效果,计算板式换热器在工作压力1.0 MPa下夹紧螺栓的受力值(见表 1),以及不同工作压力下夹紧螺栓受力值(见图 2)。由图 2和表 1可见,仿真与试验测试结果基本一致,误差在工程许可范围内。
| 左侧 螺栓 | 仿真值/
kN | 测量值/
kN |
右侧 螺栓 | 仿真值/
kN | 测量值/
kN | |
| 1 | 78.0 | 93.8 | 1 | 78.1 | 103.0 | |
| 2 | -19.4 | -8.5 | 2 | -19.6 | -7.9 | |
| 3 | 171.7 | 178.7 | 3 | 171.7 | 176.6 | |
| 4 | 220.5 | 226.8 | 4 | 220.3 | 220.8 | |
| 5 | 224.4 | 218.2 | 5 | 224.4 | 220.9 | |
| 6 | 174.2 | 175.3 | 6 | 174.2 | 169.5 | |
| 7 | -10.2 | -3.6 | 7 | -10.2 | 2.5 | |
| 8 | 88.8 | 112.2 | 8 | 88.8 | 81.3 |
|
| 图 2 不同工作压力下夹紧螺栓受力值 Fig.2 Forces on the fastening bolt under different working pressures |
板式换热器中间夹紧螺栓受力值大,左2、左7、右2和右7号螺栓受力值小,可以考虑拆除,重新调整其他螺栓布局。在最大工作压力1.6 MPa下,夹紧螺栓最大应力值为8.4 MPa,伸长量为9.3×10-6 m,故夹紧螺栓伸长量对密封垫片的影响可忽略不计。
在工作压力下,固定压紧板和活动压紧板发生了鼓胀变形,沿固定压紧板和活动压紧板宽度方向取一相同位置进行测量,结果如图 3所示。由图可知,仿真与试验测试结果基本一致。因固定压紧板和活动压紧板的变形,使得板式换热器支架发生侧向偏移。在试验测试中,板式换热器支架与其他零部件之间由螺栓连接;而在仿真模拟中,其连接方式为固结,刚度大于螺栓连接,因此试验测试得到的位移曲线较仿真模拟曲线的刚体位移大。
|
| 图 3 在工作压力1.0 MPa下固定、活动压紧板变形 Fig.3 The deformation of the fixed/movable impact plate under the working pressure of 1.0 MPa |
图 4为由固定压紧板和活动压紧板变形引起的密封垫片回弹量。由图可见,随着工作压力不断增大,密封垫片回弹量呈线性增长,其中二道密封垫片的回弹量是一道密封垫片回弹量的2倍多。
|
| 图 4 板式换热器密封垫片回弹量 Fig.4 The resilience of the seal gasket of the plate heat exchanger |
已知板式换热器密封条件为:夹紧螺栓预紧时,密封垫片应力值σ≥τ;换热器工作时,密封垫片应力值σ≥2mp0,其中τ为垫片比压力,m为垫片系数,GB 16409规定可拆式板式换热器橡胶密封垫片系数m=1.0。
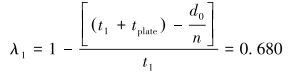
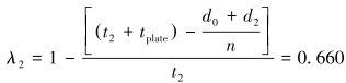
试验测试中,固定压紧板和活动夹紧板初始距离d0=240 mm。已知板式换热器换热片厚度:tplate=0.6 mm;密封垫片厚度:一道t1=5.0 mm, 二道t2=5.2 mm;换热片数量:n=60。若将密封垫片压缩比定义为垫片变形后3个主应力方向的厚度与变形前的初始厚度之比,则预紧时密封垫片一道压缩比λ1和二道压缩比λ2分别为:
|
(4) |
|
(5) |
该型号板式换热器最大工作压力为1.6 MPa。由图 4可见,此时密封垫片回弹量为:一道d1=0.79 mm;二道d2=2.03 mm,则回弹后密封垫片一道压缩比λ1和二道压缩比λ2分别为:
|
(6) |
|
(7) |
文献[3]对橡胶压缩回弹性能做了研究,根据其研究结果,当压缩比λ=0.75时,密封垫片的压应力为5.58 MPa,而该型号板式换热器一、二道密封垫片的压缩比都小于0.75,因此其压应力都满足关系σ≥2mp0=3.2 MPa,这说明密封垫片密封良好,回弹对其密封性能影响很小。
3 结束语密封对板式换热器非常重要,对板式换热器进行了静压试验测试,并基于试验结果在HyperStudy软件中进行了DOE试验设计,通过设计点拟合出响应面,再结合NSGA-Ⅱ算法以压紧板压力为设计参数对夹紧螺栓进行了多目标优化,其仿真结果与试验测试结果吻合,二者得到了互相印证。研究结果表明:固定压紧板和活动压紧板压力分布不均匀,均匀布置夹紧螺栓使得其中间受力大,两侧受力小,需重新调整螺栓布局;固定压紧板和活动压紧板厚度大,使得在实际工作压力作用下一道、二道密封垫片回弹量小,对板式换热器密封性能的影响可忽略不计。
| [1] | 黄亚勤, 冯剑威, 王会强. 可拆式板式换热器故障分析及结构优化[J]. 轻工机械, 2010, 28(2): 100–102. |
| [2] | 李丽. 板式换热器的橡胶密封垫片的制作与使用[J]. 科技创新导报, 2010(12): 72. DOI: 10.3969/j.issn.1674-098X.2010.12.056 |
| [3] | 唐海, 张永德, 常春梅, 等. 可拆卸板式换热器垫片压缩回弹性能试验与分析[J]. 压力容器, 2010, 27(11): 13–17. DOI: 10.3969/j.issn.1001-4837.2010.11.003 |
| [4] | 盛晓茜, 柯贞东, 姜峰. 板式换热器微变形实验研究[J]. 机械制造与自动化, 2011, 40(2): 167–169. |
| [5] | 安维峥, 徐鸿, 于洪杰, 等. 考虑垫片时滞效应的管板-法兰-垫片-螺栓连接系统三维有限元分析[J]. 压力容器, 2005, 22(8): 29–34. |
| [6] | 周明连. 板式换热器流动分布的理论分析及试验研究[J]. 北方交通大学学报, 2001, 25(1): 67–71. |
| [7] | 景步云, 谷波, 黎远光. 板式蒸发器仿真计算模型[J]. 系统仿真学报, 2003, 15(10): 1481–1483. DOI: 10.3969/j.issn.1004-731X.2003.10.036 |
| [8] | 浦广益. ANSYS Workbench 12基础教程与实例详解[M]. 北京: 中国水利水电出版社, 2010: 72-88. |
| [9] | 肖晓伟, 肖迪, 林锦国, 等. 多目标优化问题的研究概述[J]. 计算机应用研究, 2011, 28(3): 805–808. |
| [10] | 奉铜明, 钟志华, 闫晓磊, 等. 基于NSGA-Ⅱ算法的多连杆悬架多目标优化[J]. 汽车工程, 2010, 32(12): 1063–1066. |
| [11] | 雷德明, 平新平. 多目标智能优化算法及其应用[M]. 北京: 科学出版社, 2009. |

