2. 中国石油勘探开发研究院
2. Research Institute of Petroleum Exploration & Development, CNPC
0 引言
高温高压气井及储气库注采井生产运行中,持续环空带压(SCP)现象普遍,井筒完整性问题突出,影响生产安全[1]。造成环空压力的因素包括管柱完整性、水泥环质量和地层因素[2]。目前认为环空带压的主要原因是井屏障的失效造成地层流体的泄漏或环空内流体热膨胀[3-4]。加拿大阿尔伯塔测试区域的20 725口油气井中,表层套管环空存在泄漏问题的占64%。固井质量差是气体泄漏的主要原因,气体沿环空泄漏可归结为水泥环、完井液和气柱3个部分[5]。根据环空压力来源可将环空压力模型分为2种:第1种为流体热膨胀带压模型[6-7],基于能量守恒定律和传热原理,按照体积相容性原则对井筒内温度分布和环空压力迭代计算;第2种为气体窜流模型,如R.XU等[8]假设地层压力恒定,环空液柱为微可压缩流体,建立气体通过水泥胶结界面和完井液柱流动至地表的模型及相应的数值解法,定量分析环空压力的影响因素。针对环空带压现象,油气生产商采取了一定的安全措施并制定了操作规程。如塔里木油田公司建立了高压气最大井环空许用压力分级管理图版。API RP 90标准[9]和挪威石油工业协会的Norsok D010等标准规定了环空压力管理措施。这些操作标准的制定促进了环空压力的标准化管理,但对国内气井的生产适用性较差。
实现环空压力的预测与分析,对于制定合理的管理措施,优化管柱井身结构设计,以及提高气井井筒完整性具有指导意义。笔者针对气体泄漏引起环空带压现象,考虑液体的压缩性,根据等温达西渗流和PVT状态方程,分析了气体在环空内通过水泥环和完井液柱向上流动的过程,建立了环空压力上升的1阶线性微分控制方程;通过合适的边界条件求解,得到了环空压力随时间的解析表达式,并根据现场测试数据对模型进行验证与分析。相比数值模型,笔者建立的预测模型计算复杂度更低,且量化了气体侵入流量和环空压力变化。
1 模型建立为不失一般性,考虑气体进入套管环空通过水泥环、完井液柱和上部气柱3部分的流动,如图 1所示。气体沿着水泥环向上渗流,通过完井液柱继续上移,进入顶部气柱,对环空中的液柱产生压缩作用。假设井筒传热已达到稳态,井以稳定产量生产,以保证管流的波动不会带来任何热量传递,井筒温度剖面不随时间变化。
|
| 图 1 气体沿环空流动示意图 Fig.1 Schematic diagram of gas flowing through casing annular |
初始条件下井口套管环空压力为pi。当关闭环空泄压阀的瞬间,气体通过水泥环在完井液柱中继续上升,脱离液柱后进入上部未封固环空段,导致该段气柱压力增大。由于完井液具有微可压缩性,气柱的体积会有一定增加,完井液柱的长度将随时间缩短。由于完井液密闭在环空内,质量保持恒定,高度与密度乘积不变,完井液柱施加的静压力将保持不变。
1.1 气体在水泥环中的渗流一般情况下,气体通过环空水泥环的流动为低速渗流,符合线性渗流运动方程。气体在水泥中渗流时,温度、气体黏度和压缩因子变化很小,可看作等温稳定达西渗流。
服从线性渗流的气体单向等温渗流速度解[10]表达式为:
|
(1) |
式中:k为渗透率,μ为气体黏度,p1、p2分别为多孔介质两端压差,L为气体通过介质的长度,p为压力。
气体在胶结良好的水泥石内流动类似于岩石基质中的渗流。实际中水泥环并非完全密封,气体多是通过裂缝、窜槽或者“微环空”流动,流动阻力远小于水泥石内部的渗流阻力。为此,定义综合渗透系数K表征水泥环允许气体流过的能力。对照渗透率的概念,可知该系数综合了水泥环“微环空”、窜流通道及水泥石本身对气体的通过能力。则根据式(1),初始条件下标准状况下气体等温渗流流量为:
|
(2) |
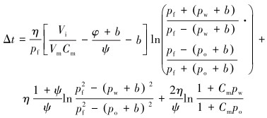
式中:Qsc为气体流量,m3/s;Ti为初始条件下地层温度,K;Zi为初始井底条件下气体的压缩因子;μi为初始井底温度压力下的气体黏度,mPa.s;Tsc为标况温度,K;psc为标况压力,MPa;K为综合渗透系数,相当于渗透率,10-9m2;A为环空截面积,m2;pf、pc分别为近井地层压力和水泥顶界面压力,MPa;Lc为水泥柱长度,m。
1.2 井口环空压力微分方程顶部气柱高度一般较小,气柱温度和压力可看作定值,等于井口环空气体的压力和温度(pw,Tw)。根据气体PVT方程,则进入顶部气柱的气体摩尔流量dn/dt可以表示为:
|
(3) |
式中:Vg为顶部气柱体积,m3;R为通用气体常数,R=8.314 5 J/(mol·K);Z为井口气体压缩因子。
忽略井口和标况下气体压缩因子的变化,气体摩尔流量dn/dt又可由体积流量表示为:
|
(4) |
由式(3) 和式(4) 可得:
|
(5) |
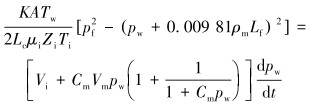
气柱膨胀的体积等于环空保护液柱体积的减少CmVmΔp,则气柱总体积为:
|
(6) |
式中:Cm为完井液压缩系数,MPa-1;Vi为气柱初始体积,m3;Vm为完井液柱初始体积,m3。
于是气体体积随时间的变化为:
|
(7) |
完井液柱与气柱的体积变化满足
|
(8) |
完井液柱受压缩时,质量保持不变,液柱压力保持恒定,即水泥顶界面压力pc的变化只与气柱压力有关。
将式(2)、式(6) 和式(8) 带入式(5) 中,可得:
|
(9) |
式中:Lf为环空中完井液柱的初始垂直高度,m,对于斜井,可通过每一测段长度和对应井斜求和得到;ρm为完井液密度,g/cm3。
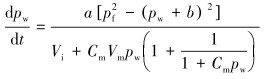
式(9) 分离变量,令
|
(10) |
令ψ=1-2Cmb-Cm2(pf2-b2),ϕ=Cm(pf2-b2),
|
(11) |
根据以上分析可知,当泄漏气体流量等于0时,最大环空压力达到最大,即有:
|
(12) |
据此可以得到最大环空压力为:
|
(13) |
式(13) 具有直观意义,当环空压力和完井液柱压力之和等于地层压力pf时,驱动压差为0,气体不再进入环空,达到了最大套管环空压力。
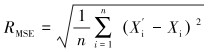
1.3 参数估计应用该模型预测环空压力和气体流量,还需已知水泥石综合渗透系数K、近井地层压力pf及环空液面深度等参数。该模型提供了一种对现场测试环空压力的分析和预测方法,通过对现场测量数据历史拟合,使用广义简约梯度法进行估算。优化目标函数为最小均方根误差RMSE,定义为:
|
(14) |
式中:X'表示n个测量数据点的模型预测值n维向量,X表示真实值向量,限制条件为拟合参数为正值。
2 应用实例R.XU在文献[8]中记录了2口环空带压井(23井和24井)的基础参数(见表 1)和现场环空压力测试结果。笔者仍采用这2口井,采用所建立的解析模型进行拟合,求得K和pf等参数,以验证模型的有效性。
| 参数值 | 23井 | 24井 |
| 地层温度Tf/K | 350.00 | 324.44 |
| 井口温度Tw/K | 288.89 | 288.89 |
| 外层套管内径/mm | 252.68 | 252.68 |
| 内层套管外径/mm | 177.70 | 193.55 |
| 水泥柱高度Lc/m | 555.04 | 980.54 |
| 初始液柱高度Lf/m | 2 521.61 | 1 960.78 |
| 初始气柱高度Lg/m | 8.23 | - |
| 完井液密度ρm/(g·cm-3) | 1.200 | 1.921 |
| 气体黏度μi/(mPa.s) | 0.020 | 0.015 |
| 完井液压缩系数Cm/MPa-1 | 2.758×10-8 | 1.034×10-8 |
| 气体压缩因子 | 0.86 | 0.92 |
采用1stOpt软件编程,对23井和24井的现场测试数据进行拟合,从而得到最优参数拟合估计值。根据参数结果绘制预测趋势,结果如图 2和图 3所示。
|
| 图 2 模型对23井测试数据拟合与预测 Fig.2 Fitting and prediction of the testing data of Well 23 with the model |
|
| 图 3 模型对24井测试数据拟合与预测 Fig.3 Fitting and prediction of the testing data of Well 24 with the model |
对于23井,近井地层压力pf和水泥环综合渗透系数K由拟合得到。对于24井,初始气柱高度Lg未知。由图 2和图 3可以看出,笔者建立的模型对23井和24井的环空压力现场测试数据能精确拟合,对环空压力趋势预测结果与理论分析一致。24井的水泥环渗透系数远高于23井,因此24井的气体流量也远大于23井,环空压力稳定所需时间远小于23井。该拟合与预测结果为采取措施治理环空压力提供了依据。如拟合得到24井的水泥环渗透系数远大于水泥石基质的渗透率,可据此判断该井水泥环密封性存在问题。
对于后期环空压力,模型拟合结果与实际有一定偏差,这是因为环空压力较大时,井口气体压缩因子与标况下气体压缩因子差别较大,忽略压缩因子变化会产生一定误差。严格来说,压缩因子在环空压力上升过程中不断变化,需在模型中考虑压缩因子的函数关系,但这会显著增加模型的复杂性。另外,测试后期由于气体流量减少和井口热量损失增加,造成后期测试数据中井口压力随着时间的延长趋于平缓。
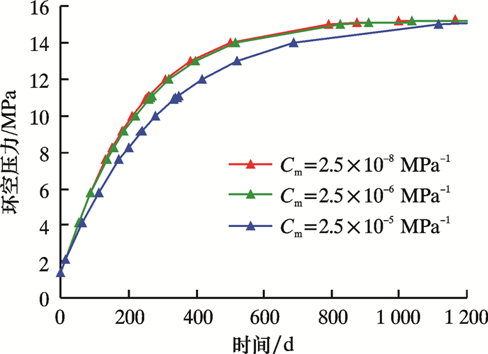
3 讨论与分析 3.1 环空压力上升速度影响因素根据式(10),影响环空压力上升速度的主要因素有水泥环综合渗透系数、地层压力、环空各介质的高度、完井液柱的压缩性、井筒温度剖面及环空截面积等。随着地层压力和水泥环综合渗透系数的增加,环空压力上升速度增加;随着环空中水泥返高的增加及初始气柱高度的增加,液柱高度的下降,环空压力上升速度减小。环空中液体压缩性对环空压力的影响如图 4所示。
|
| 图 4 环空液体压缩性对环空压力的影响 Fig.4 Effect of compressibility of annular fluid on annular pressure |
从图 4可知,环空液体压缩性增加,环空压力上升速度减小,但减小幅度不大,当压缩系数数量级由10-8变化至10-6时不会对环空压力上升速度产生显著影响,数量级变化至10-5时环空压力上升速度降低较为明显。实际中传统完井液的压缩系数变化范围很少能达到数量级范围,因此,采用新型收缩型环空保护流体有利于缓解井口环空压力。
3.2 模型不确定性分析一般情况下,套管环空内初始气柱高度也不易确定,因此模型中的不确定性因素包括水泥环综合渗透系数K、近井地层压力pf和初始气柱高度Lg(初始气柱体积Vi)这3个参数。应用该模型需要对未知参数进行拟合,不确定参数的个数影响拟合结果和预测准确度。再以23井为例进行多元回归分析。分别对3个参数都未知、仅已知pf和仅已知pf和Lg这3种情况进行拟合与预测,结果见图 5。
|
| 图 5 不确定参数对预测结果的影响 Fig.5 Effect of uncertain parameters on prediction results |
3个参数均未知时,拟合结果为:pf=44.986 MPa,K=0.117 mD,Lg=7.87 m,RMSE=10.345;已知pf=44.991 MPa时,拟合结果为:K=0.142 mD,Lg=9.20 m,RMSE=9.567;已知pf=44.991 MPa,Lg=8.23 m时,拟合结果为:K=0.124 mD,RMSE=9.492。
由图 5可知,未知参数的个数不会对预测结果造成显著影响。因此实际应用中,可以由现场测试结果拟合一些未知参数进行环空压力的预测与分析。
除未知参数的个数外,现场测试数据点的数量也会对拟合结果产生影响。为此,以24井为例,选取不同的实测数据点进行环空压力拟合与预测,结果如图 6和表 2所示。
|
| 图 6 现场测试数据点数量对预测结果的影响 Fig.6 Effect of numbers of measured data points on prediction results |
| 实测数据点 | pf/ MPa | K/mD | Lg/m |
| 前8个 | 43.66 | 9.78 | 22.94 |
| 前15个 | 43.63 | 10.04 | 21.22 |
| 前25个 | 43.60 | 9.91 | 20.50 |
由图 6可知,采用前8个数据点拟合得到的预测趋势偏差较大,前15个数据点与前25个数据点预测结果相差无几。因此在实际应用中应尽量采集尽可能多的测试数据点,以提高预测准确度。另外,较长测试期的后期压力数据变化趋于平缓,这是因为气体流量减少和井口热量损失增加,而该模型对热损失考虑不足。因此不应该使用长期环空压力测试结果的后期数据进行拟合。
4 结论(1) 假设地层压力恒定,环空液体微可压缩,由气体渗流方程和气体PVT方程,建立了气体沿环空向上流动引起套管环空压力的解析模型,量化了环空压力积累速度、环空压力稳定值及气体侵入量等参数,缩短了SCP现场测试耗时。
(2) 解析模型实现了现场环空压力测试数据的定量分析,可拟合得到近井地层压力和水泥环综合渗流系数等关键参数,这些参数可以作为制定环空压力管理措施的依据。
(3) 影响环空压力的因素包括水泥环综合渗透系数、地层压力、环空中各介质的高度和井筒温度剖面等。不确定性分析结果表明:难以获取的未知参数可通过拟合测试数据得到,对预测准确度影响较小。
| [1] | 古小红, 母建民, 石俊生, 等. 普光高含硫气井环空带压风险诊断与治理[J]. 断块油气田, 2013, 20(5): 663–666. |
| [2] | 储胜利, 樊建春, 张来斌, 等. 套管段井筒完整性风险评价方法研究[J]. 石油机械, 2009, 37(6): 1–4. |
| [3] | 黎丽丽, 彭建云, 张宝, 等. 高压气井环空压力许可值确定方法及其应用[J]. 天然气工业, 2013, 33(1): 101–104. DOI: 10.3787/j.issn.1000-0976.2013.01.017 |
| [4] | 张波, 管志川, 张琦. 深水油气井开采过程环空压力预测与分析[J]. 石油学报, 2015, 36(8): 1012–1017. DOI: 10.7623/syxb201508013 |
| [5] | DILLER C. Field/well-integrity issues, well-abandonment planning, and workover operations on an inadequately abandoned well:Peace river, alberta, case study[J]. SPE Drilling & Completion, 2013, 26(4): 540–549. |
| [6] | 杨进, 唐海雄, 刘正礼, 等. 深水油气井套管环空压力预测模型[J]. 石油勘探与开发, 2013, 40(5): 616–619. DOI: 10.11698/PED.2013.05.17 |
| [7] | 窦益华, 薛帅, 曹银萍. 高温高压井套管多环空压力体积耦合分析[J]. 石油机械, 2016, 44(1): 71–74. |
| [8] | XU R, WOJTANOWICZ A K. Diagnosis of sustained casing pressure from bleed-off/buildup testing pattern[C]//SPE Production and Operations Symposium. Oklahoma City, Society of Petroleum Engineers, March 24-27, 2001. |
| [9] | API. Annular casing pressure management for offshore wells:API RP 90[S]. Washington DC:American Petroleum Institute, 2006. |
| [10] | 张建国. 油气层渗流力学[M]. 2版. 东营: 中国石油大学出版社, . |

