2. 中铁油料集团有限公司;
3. 中国石油集团海洋工程有限公司
2. China Railway Oil Group Co., Ltd;
3. CNPC Offshore Engineering Company
0 引言
随着油气需求的不断上升,海上油气的开发力度逐渐加大,推动了我国的海底管道建设[1]。到目前为止,国内悬链式单点系泊系统仅有广东茂名及广西北海涠洲湾单点2座。针对茂名单点10年内不间断出现泄漏石油的问题,邓毅锋[2]通过对浮筒更换、锚链松弛以及系泊30万t油轮等外部因素变化的详细数据收集和对比分析,最终确定了软管强度不足和环境条件恶劣是水下软管损坏的主要原因。冯俐[3]整理了单点系泊系统运动以及水下软管设计分析技术,并研究了单点系泊系统水下软管的结构特性、所受载荷和失效模式,提出了水下软管初步设计方法和流程。
目前研究主要集中在工程事故原因和设计方法上[4-5],未形成统一的分析流程和指导方法,也并未从理论分析和仿真的角度研究水下软管在波浪流作用下的静动态响应问题,而这方面的内容对于水下软管强度和构型设计至关重要[6-8]。因此建立悬链式单点系泊系统水下软管在风浪流作用下的有限元分析模型,研究水下软管在波流耦合作用下的静动态响应特性是一项重要的工作,对研制和正确使用水下软管具有重大的现实意义。
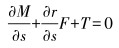
1 模型建立 1.1 水下软管受力模型水下软管可视为细长杆结构,弯曲刚度对其影响相对较小。由于水下软管是大位移小应变的结构,在动力分析中几何非线性行为占据主要地位。
在三维笛卡尔坐标系下,径向量定义为r(s,t)。假定管段不可伸长,根据单位管段的力和力矩平衡,可以得到考虑内部流体作用的水下软管运动方程:
|
(1) |
|
(2) |
式中:s为弧长,m;t为时间,s;ρ为单位长度质量,kg/m;q为单位管长上的外力,N/m;M表示细长杆所受力矩,N·m;F表示细长杆所受力,N;T为单位长度上施加的力矩,(N·m)/m,mf为单位长度的内流质量,kg/m。
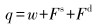
作用在水下软管上的外力主要包括周围环境流体的静水压力、重力和水动态载荷。外力为:
|
(3) |
式中:w为单位长度软管所受重力,N/m;Fs为周围流体的静水压力,N/m;Fd为水动力载荷,N/m。
|
(4) |
式中:B为单位长度上的浮力,N/m;P为管段上任意点处的静水压力,N。
|
(5) |
式中:po为外部静水压力,Pa;Ao为外部横截面积,m2;pi为内部流体产生的压力,Pa;Ai为内部横截面积,m2。
应用莫里森方程,作用在软管的水动力载荷为:
|
(6) |
式中:CA为单位长度质量系数,CM为单位长度惯性力系数,CD为单位长度拖曳力系数;vn和an分别为法向速度和加速度分量,m/s、m/s2;v′n和a′n分别为垂直于中心线的法向速度和加速度,m/s、m/s2。
1.2 ABAQUS建模分析的水下软管属于大挠度变形,其几何非线性要重点考虑,ABAQUS适合解决此类问题[9]。悬链式单点系泊水下软管需要承受顶部张紧力、海流作用力、海浪力以及重力等作用,因此,在进行受力模拟前,应正确设置水下软管载荷边界条件。水下软管的顶部受力点处理为铰接,底部张紧力及重力可以通过前处理模块直接添加,流体浮力和拖曳力对管道的作用可通过添加AQUA模块来实现。建模流程见图 1。
|
| 图 1 水下软管仿真建模流程图 Fig.1 imulation modeling flow chart of submarine hose |
2 水下软管受力实例分析 2.1 水下软管物理及环境参数
水下软管线型设计是单点系泊系统设计的重点,其在静态条件下形状的保持是靠具有一定浮力的高强度浮子实现的。水下软管必须保持合适的线型,才能顺应单点系泊系统浮筒的运动并承载较大的环境载荷,目前常用陡峭波浪型的水下软管,所以选取该种构型的软管作为研究对象。水下软管所在海域环境参数如表 1所示。其物理及环境参数如下:管径622 mm,内径510 mm,弹性模量206 GPa,泊松比0.3,密度7 850 kg/m3,水平距离67 m,总长100 m,浮块起始位置(距顶端)80、82、84 m,浮子段长度24、32、40 m,浮力因子900、954、1 000 m,海水密度1 025 kg/m3,水深50 m,管内流体密度850、950、1 025 kg/m3。
| 环境参数 | 最大波高/m | 最大周期/s | 有效波高/m | 有效周期/s | 表层流速/ (m·s-1) |
| 生存条件 | 6.9 | 8.5 | 3.9 | 8.5 | 0.8 |
| 操作条件 | 4.7 | 7.5 | 2.6 | 7.5 | 0.7 |
典型陡峭型波浪水下软管在海底处以接近垂直的方式离开海床。图 2显示了顶部浮筒与底部基座不同水平距离时水下软管静力平衡形态。该型式在深水环境中对顶部浮筒的运动比较敏感,需满足最大张力和弯矩值的要求;在浅水环境中可以适应较重的水下软管,减小悬挂张力要求,而且安装价格低。利用ABAQUS建立模型,如图 3所示。
|
| 图 2 陡峭波浪型水下软管静力平衡形态图 Fig.2 Static balance state diagram of steep wave type submarine hose |
|
| 图 3 无水流情况下水下软管初始模型应力图 Fig.3 Stress distribution of initial model of submarine hose without current |
2.2 水下软管静力分析
水下软管所处环境中水流的速度方向会随着季节及季风发生改变。主要讨论水流速度和水下软管挠度方向一致的情况下,水下软管应力和变形随着水流速度的变化情况。随着水流速度的增大,水下软管所受到的拖曳力随之增大。水流速度分别按1、10、50和100 a一遇取值,如表 2所示。
| 水深/m | 水流速度/(m·s-1) | |||
| 1 a一遇 | 10 a一遇 | 50 a一遇 | 100 a一遇 | |
| 10 | 1.06 | 1.62 | 1.88 | 1.97 |
| 25 | 0.91 | 1.36 | 1.52 | 1.67 |
| 50 | 0.48 | 0.74 | 0.88 | 1.08 |
图 4和图 5为以海底固定端为零点、管道长度为自变量、X方向位移和Y方向位移为变量的软管静力分析曲线。根据该曲线可知在该水流情况下任意点处的管道坐标。因为水流方向和管道均在XY平面,Z方向管道变形很小,可以忽略,所以Z方向变形没有单独列出。
|
| 图 4 顺流作用下水下软管静力分析曲线 Fig.4 Static analysis curve of submarine hose under fair current |
|
| 图 5 逆流作用下水下软管静力分析曲线 Fig.5 Static analysis curve of submarine hose under countercurrent |
由图 4和图 5可知,X方向的变形差值比Y方向大,顺流方向时,管道上半段向X正方向移动;管段下半段向X负方向移动;逆流方向时,管道上半段向X负方向移动,管段下半段向X正方向移动。管道呈现该位移特性是因为其上半段的水流较大,所以上半段受到的力比下半段大。Y方向变形最大处位于距离管道原点32 m附近,顺流方向时,管道下半段所受拉力增大,导致管道下半段往Y轴负方向移动,上半段部分管段也往Y轴负方向移动;逆流方向时,管道下半段所受拉力减小,管道下半段和上半段部分管段也往Y轴正方向移动,因此呈现出图中的趋势。
管道变形方向改变的地方是管道弯矩较大处,发生变形方向改变的点分别距离管道原点32和60 m附近处,在对管道进行疲劳分析时,应重点关注这2个区域。在水下软管顶端处,由于水流本身不稳定,所以其对水下软管的作用力也不稳定,导致水下软管的受力可能是几种环境载荷之间交替变化,从而使得水下软管承受交变应力,导致疲劳。另外,随着水流速度的增大,曲率幅值变化较小。
水下软管模型不变,将水流方向变化到Z方向,得到水下软管在横向水流作用下的变形情况,如图 6所示。由图可知,水下软管在X、Z方向变形很小,在Y方向变形最大值约为0.8 m。相比于1 a一遇横向水流作用下的管道变形,100 a一遇横向水流作用下,水下软管在Y方向上的变形增加了4倍以上。X、Z 2个方向的变形也有增大,但是由于基数较小,在幅值上讲,变形量并不大。疲劳关键点为顶部连接点、触地点以及距离管道原点60 m附近。
|
| 图 6 不同周期横流作用下软管位移 Fig.6 Displacement of the submarine hose under cross flow at different periods |
2.3 水下软管动力分析
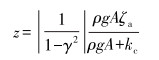
浮筒在水流作用下具有6个方向的自由度,分别为纵荡、横荡、垂荡、横摇、纵摇和首摇。其中,纵荡、横荡和垂荡对水下软管的影响相对较大,其影响效果和水下软管在浮筒上安装的位置有关。浮筒的升沉运动可按照单自由度无阻尼强迫振动结果进行计算,则浮筒的升沉位移为:
|
(7) |
式中:z为浮筒升沉位移,m;ζa为波浪幅值,m;kc为波数;A为浮筒横截面积,m2;ρ为海水密度,kg/m3;
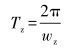
浮筒升沉运动的固有频率和周期分别为:
|
(8) |
|
(9) |
式中:M为浮筒质量,kg;wz为固有频率,Hz;Tz为固有周期,s。
以茂名单点的浮筒参数[2]为例,其直径为12.5 m,质量约190 t。由式(8) 可计算得到浮筒升沉的固有周期为2.54 s,而波浪的周期一般在4~20 s,不会引起升沉的共振。由式(7) 可知浮筒升沉的幅值与波高呈线性关系,且其幅值稍大于波幅。在下文的分析中,按表 3中的参数进行计算。
| 风速/ (m·s-1) |
升沉幅度/m | 纵荡幅度/m | 流速/ (m·s-1) |
波高/m |
| 8 | 2 | 4 | 1.5 | 3 |
当浮筒发生升沉运动时,将引起水下软管水平振动,这种现象称为水下软管发生参数激励振动。假设水下软管的平均张力为P0,谐波脉动力为P1,激励频率

在ABAQUS中对水下软管顶部连接点施加振幅2 m、周期10 s的位移约束,如图 7所示。
|
| 图 7 水下软管顶端位移约束图 Fig.7 Displacement constraints of the submarine hose top |
浮筒以图 7的方式运动时,水下软管的不同管段响应不同。水下软管的响应分成X方向和Y方向。以海床为基准面,以水深为增量,则水平面坐标为50。因为给水下软管顶端施加约束时限制了X方向的位移,所以50 m处水平方向无位移。在0、10、20、30和50 m处,其响应如图 8所示。由图可以看出,30 m处X方向位移比20 m处大,但随着与海床距离的缩小,X方向的位移量不断减小,水下软管底部的铰接限制了X方向位移。
|
| 图 8 升沉运动水下软管X方向位移图 Fig.8 Displacement of X-direction of submarine hose under heaving motion |
由计算可知,在Y方向上,30和50 m管段随管段与海平面距离增大,水下软管各振动的平衡位置有上移趋势。10、20和30 m管段随着与海床距离的不断增大,水下软管各振动的平衡位置下移。
图 9为水下软管轴向拉力。由图可知,在水下软管的起振阶段,各截面的轴向拉力很不稳定,浮筒的运动周期为10 s,而在该阶段,轴向拉力的周期远小于10 s。在稳定阶段,水下软管各截面处轴向拉力呈现谐波特性,频率与激振频率相同。在海平面处轴向张力最大,与海平面距离越远,轴向拉力越小。
|
| 图 9 水下软管轴向拉力图 Fig.9 Axial tensile diagram of submarine hose |
在水下软管顶端施加顺流方向即X方向的正弦位移载荷,周期10 s,振幅为4 m。该扰动沿管道向海底传播过程中,各管段的延迟与振幅如图 10所示。
|
| 图 10 水平运动下水下软管X方向位移 Fig.10 Displacement of X-direction of submarine hose under horizontal motion |
从运动曲线的趋势上看出,距离海平面越远,管线的平衡位置向X正方向移动,说明浮筒在X负方向上做谐波运动时,随着与海平面距离的增加,下部水下软管位移逐渐小于水下软管顶点位移,并最终与其反向。
图 11为水平运动下,水下软管的Y方向位移,从图可以看出,当水下软管顶端向X负方向运动时,各管段都有向Y负方向运动的趋势,距离海平面越远处,Y方向位移越大。随着与海床平面距离增大,由于底端处限制了水下软管在Y方向的运动,所以水下软管位移量迅速降低。运动稳定后各管段轴向拉力如图 12所示。
|
| 图 11 水平运动下水下软管Y方向位移 Fig.11 Displacement of Y-direction of submarine hose under horizontal motion |
|
| 图 12 水平运动下水下软管各管段轴向拉力图 Fig.12 Axial tensile load of each pipe section of submarine hose under horizontal motion |
3 结束语
以悬链式单点系泊系统水下软管为研究对象,建立了考虑内部流体和管外海洋环境载荷共同作用的水下软管受力分析模型,并应用有限元分析软件ABAQUS进行建模仿真,讨论了顶端铰接的水下软管在承受顺流、逆流和横流作用时水下软管的形态、应力及轴向张力的变化,指出了顶端铰接的水下软管在海流及海浪作用下容易发生破坏的危险点,即顶部连接点、触地点以及距离管道原点60 m附近。同时,还讨论了上部浮筒升沉运动和水平运动时悬链线水下软管的动力响应,应用有限元方法对水下软管运动进行了仿真,给出了部分水下软管节点的有效张力、位移及应力时程曲线。所得结果对今后设计和正确使用悬链式单点系泊系统的水下软管,以及分析水下软管的破坏机理、研究水下软管的监测位置等具有重要的工程参考价值。
| [1] | 张宏, 李志刚, 赵宏林, 等. 深水海底管道铺管设备技术现状与国产化设想[J]. 石油机械, 2008, 36(9): 201–204. |
| [2] | 邓毅锋. 茂名单点系泊系统(SPM)水下软管在波浪载荷作用下的极值响应和损坏原因探讨[D]. 广州: 华南理工大学, 2011. http://cdmd.cnki.com.cn/Article/CDMD-10561-1012452592.htm |
| [3] | 冯俐. 悬链式单点系泊立管设计与分析技术研究[D]. 大连: 大连理工大学, 2013. http://cdmd.cnki.com.cn/Article/CDMD-10141-1013201174.htm |
| [4] | 赵军凯, 王云庆, 张晓冬, 等. 水下软钢臂系泊FPSO-SPM注水跨接软管更换实践[J]. 中国海洋平台, 2008(3): 50–53. |
| [5] | 周军, 王立权, 邢厚宽, 等. 深水软管滚筒驱动装置的液压旋转驱动系统设计及仿真[J]. 油气储运, 2016(6): 671–676. |
| [6] | 谷凡. 海底输油软管力学响应研究[D]. 大连: 大连理工大学, 2009. http://cdmd.cnki.com.cn/article/cdmd-10141-2010020985.htm |
| [7] | 张艳君. 非金属非粘结复合软管的力学性能研究[D]. 青岛: 中国海洋大学, 2014. http://cdmd.cnki.com.cn/Article/CDMD-10423-1014368230.htm |
| [8] | 王猛, 张捷. 悬链系泊系统中的粘接软管[J]. 海洋工程装备与技术, 2015(1): 40–44. |
| [9] | 庄茁. 基于ABAQUS的有限元分析和应用[M]. 北京: 清华大学出版社, 2009. |


