0 引 言
在固井过程中,振动水泥浆是提高固井质量的有效技术手段之一[1-3]。目前,国内外振动固井工具按作用原理可分为水力脉冲式、机械敲击式、声频式、压电陶瓷式、磁致伸缩式、地面环空水力或空气脉冲式等振动固井工具,其中水力脉冲式振动固井工具应用最为广泛[4-9]。水力脉冲式振动固井工具只产生轴向振动,且振动幅值不可控制。涡轮振动固井工具主要产生径向振动,偏心块结构单一,可控性差。随着振动固井对振动参数精确度和振动波效果要求的提高,迫切需要一种既能产生双向振动又能通过调整参数改变振动频率和振动量级的固井工具。通过对水泥浆所需振动频率和振幅的调研[10-13],研制了井下螺杆马达双向振动固井工具。该工具设定的振动频率范围为5~15 Hz,振幅范围为0.3~0.7 MPa。通过力学分析,对该工具的横向振动频率和激振力进行了分析,建立了轴向水击压力的数理模型。通过试验,得出水击压力的波动曲线。
1 井下螺杆马达双向振动固井工具结构模型井下螺杆马达双向振动固井工具为单头螺杆马达,由马达总成和轴向节流阀组件组成(见图 1)。
|
| 图 1 井下螺杆马达双向振动固井工具 Fig.1 Downhole PDM bidirectional vibration cementing tool 1—上接头; 2—挡板; 3—定子; 4—转子; 5—动阀; 6—上护套; 7—密封圈; 8—静阀; 9—下护套; 10—支撑短板; 11—下接头。 |
马达总成由转子和定子组成。转子中上部分是一根表面镀有耐磨材料的钢制螺杆,转子下部分为引鞋形状端头,端头内部中空,端头上部与外部导通;定子是一根在内壁硫化有橡胶衬套的钢管,橡胶衬套内孔为一个螺旋曲面的型腔;转子在定子型腔内做平面行星运动,产生离心惯性力,从而造成工具的横向振动。
轴向节流阀组件由上护套、动阀、静阀、支撑短节和下护套组成。上护套通过螺纹连接固定在转子的下端;动阀固定在上护套和转子之间,动阀外径和上护套内径之间通过密封圈密封,动阀随着转子一起产生平面行星运动;静阀固定在支撑短节和下护套之间,静阀外径和下护套内径之间通过密封圈密封;支撑短板上端与下护套通过螺纹连接在一起,支撑短板下端通过螺纹连接固定在下接头上端。通过动阀的横向往复移动,造成水泥浆流经轴向节流阀组件的横截面积周期变化,进而使得轴向节流阀组件下端流出的水泥浆压力周期性变化,最终造成水泥浆的轴向振动。
井下螺杆马达双向振动固井工具安装在套管串的底端,能够在水泥浆循环阶段实现井下双向振动。在注水泥浆过程中,依靠高压水泥浆驱动产生的横向振动和轴向振动从套管串的底端向上传播,并扩散至环空,在井壁和套管之间的环空形成振动场,使得水泥浆密实度增加,进而提高了界面胶结强度和固井质量。
2 振动固井工具参数的理论计算 2.1 横向振动频率和激振力根据容积式机械的转速关系可得:
|
(1) |
式中:nT为马达输出的理论自转转速,r/min;Q为流经马达的流量,即排量,L/s;q为马达每转的排量,L。
单头螺杆马达存在容积效率ηv,则实际自转转速n为:
|
(2) |
马达每转的排量q是一个非常重要的结构参数,其计算公式如下:
|
(3) |
|
(4) |
式中:AG为共轭副的过流面积,cm2;N为转子头数;Ts为定子导程,cm;As为定子线型面积,cm2;Ar为转子线型面积,cm2;h为转子与定子的螺距,cm。
设马达自转角速度为ω自,公转角速度为ω公,则有
|
(5) |
由式(5)可知,公转角速度ω公是自转角速度ω自的N倍,且方向相反,由此可得出:
|
(6) |
即转子公转转速n公是自转转速的N倍,方向为逆时针。进而可以得出横向振动频率f横为
|
(7) |
根据所需要的横向振动频率,可通过调节流量和马达每转的排量来调整参数。
由于螺杆马达的转子在定子型腔内做偏心矩为e的公转圆周运动,则单头转子在运动中产生的离心惯性力Fg为:
|
(8) |
式中:m为转子质量,kg。
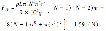
研究的螺杆马达为单头螺杆马达,其转子-定子共轭线型为普通内摆线等距线型[14],将相应的参数代入式(8)可得横向激振力F横为:
|
(9) |
式中:ρ为材料密度,kg/m3;L为转子长度,m;e为偏心矩,m;g为重力加速度,取9.81 m/s2;r0为等距半径系数。
根据所需要的横向激振力,可通过调节转子长度、偏心距和等距半径系数来调整参数。
2.2 轴向振动频率和水击力轴向节流阀组件决定着该工具轴向振动的工作频率和水击压力的大小,静阀与动阀之间的配合关系如图 2所示。图中静阀的阀孔中心为1,动阀的阀孔中心为2,2阀之间的重合面积为图示阴影面积S。该工具在工作过程中,动阀沿着2个阀孔中心所在的直线1-2做往复运动,在螺杆马达1个行星运动周期内,动阀由静阀的右侧移动到静阀的左侧,然后回到初始位置,动阀前 1/2 周期运动轨迹如图 3所示。
|
| 图 2 动静阀配合图 Fig.2 Static and dynamic valvecoordinate diagram |
在动阀运动的前 1/2 周期内,2个阀孔的重合面积从初始状态逐渐变大,当2个阀孔完全重合时达到最大。随着动阀向左逐渐移动,重合面积逐渐变小,当动阀向左移动到极限位置时,重合面积达到最小。动阀运动的后 1/2 个周期将会逆向重复上述过程。可以看出在动阀的1个行星运动周期内,阴影面积S会出现2个最大值和2个最小值,轴向振动频率为动阀运动频率的2倍,即轴向振动频率为横向振动频率的2倍。由此可以得出轴向振动频率f轴为:
|
(10) |
可通过调节流量和马达每转的排量来改变轴向振动频率。
|
| 图 3 动阀前 1/2 周期运动示意图 Fig.3 Diagram of the dynamic valve before the 1/2 cycle motion |
如图 4所示,2个阀孔中心所在的直线1-2为X轴,垂直于X轴且通过1-2线段中点的直线为Y轴,建立坐标系。
|
| 图 4 动静阀过流面积坐标图 Fig.4 Coordinate graph of the open area of the static and dynamic valve |
在初始位置,2个阀孔中心之间的距离为2L,动阀沿X轴向静阀中心移动的速度v是一个与螺杆转速ω有关的函数。可以得出2个阀孔中心之间的距离X12为:
|
(11) |
夹角θ的表达式如下:
|
(12) |
阴影面积S为:
|
(13) |
将式(11) 和式(12)代入式(13)得出S的最终表达式为:
|
(14) |
在T/4≤t≤T/2时间段,2个阀孔中心之间的距离X12为:
|
(15) |
在T/2≤t≤T时间段,2个阀孔中心之间的距离变化规律与上述公式相似,不再赘述。
水泥浆驱动螺杆工作,带动动阀移动,过流面积交错变化,当过流面积逐渐减小时,由于水泥浆的惯性作用,后方水泥浆会对前方水泥浆不断挤压,静阀上面的水泥浆受到挤压,压力上升Δp,该上升的压力即是水击压力。
忽略对水击过程影响较小的因素,假设水泥浆在振动固井工具中的流动近似为一维非稳定流动[15],则可以得出过流面积逐渐减少过程中产生的水击压力方程为:
|
(16) |
式中:A为振动固井工具内腔的过流面积,m2;ρ′为水泥浆的密度,kg/m3;p为振动固井工具在水击过程中产生的水击压力,Pa;v′为振动固井工具在水击过程中产生的水击波的波速,m/s;c为动阀和静阀系统的流量系数;S′为过流面积,m2。
也可以得出过流面积逐渐增大过程中产生的水击压力方程为:
3 计算实例及试验数据设计的定子外廓圆直径Dk=11.4 cm,线型设计取等距半径系数r0=2.5,转子与定子的螺距为h=54 cm,转子头数为N=1,转子导程Tr=54 cm,定子头数为2,定子导程Ts=108 cm,则偏心矩e为:
|
(18) |
等距半径r为:
|
(19) |
共轭副的过流面积AG为:
|
(20) |
马达每转的排量q为:
|
(21) |
水泥浆排量Q=30 L/s,工具的容积效率ηv=0.9,可以得出横向振动频率f横为:
|
(22) |
横向激振力F横为:
|
(23) |
轴向振动频率f轴为:
|
(24) |
双向振动固井工具产生的轴向水击力变化曲线如图 5所示。由图可知,水击力波动的幅值约为0.6 MPa。
|
| 图 5 水击力变化曲线 Fig.5 Curve of the water hammer force |
由于计算水击压力的方程忽略了对水击过程影响较小的因素,所以需要通过试验进行验证。对研制的井下螺杆马达双向振动固井工具进行了水击力变化测试试验。测试试验照片如图 6所示。试验中,向装置的入口加入清水,入口流量从0缓慢地增加到30 L/s,测得水击力变化曲线如图 7所示。由曲线波峰和波谷之间的差值可以得知,水击力波动的幅值约为0.5 MPa,符合设计要求。理论计算与试验之间的误差是由于试验过程中使用了清水,而理论计算过程中忽略了对水击过程影响较小的因素。
|
| 图 6 测试试验照片 Fig.6 Photo of test |
|
| 图 7 入口流量为30.57 L/s时的测试结果 Fig.7 Test result with an inlet flow rate of 30.57 L/s |
4 结论及认识
(1) 推导了井下螺杆马达双向振动固井工具横向振动频率和激振力计算公式,计算得出该工具的横向振动频率为7.74 Hz,激振力为1 591 N。可通过调节流量和马达每转的排量来改变横向振动频率。根据所需要的横向激振力,可通过调节转子长度、偏心距和等距半径系数来调整参数。
(2) 随着动阀的移动,该工具产生水击作用。通过流体力学分析得出该工具轴向振动频率和水击压力公式,为后续工具的优化设计提供了理论指导。
(3) 对该工具进行了水击力变化测试,测试结果表明:当入口流量为30 L/s时,水击力波动的幅值为0.5 MPa左右,满足设计要求。
| [1] | ASLAKSON J,DOHERTY D,SMALLEY E. Preventing annular flow after cementing,one pulse at a time:Offshore gulf of Mexico cement pulsation field results[C]//Paper 94230-MS Presented at the SPE Production Operations Symposium,April 16-19,2005,Oklahoma City,Oklahoma,USA. New York:SPE,2005. |
| [2] | 李玉海, 赵立新, 王军荣. 振动固井技术综述[J]. 石油钻采工艺, 1994, 16(6): 40–42. |
| [3] | HABERMAN J P,WOLHART S L. Reciprocating cement slurries after placement by applying pressure pulses in the annulus[R].SPE 37619,1997. http://cn.bing.com/academic/profile?id=a2779aa90db923191579920cb912fabf&encoded=0&v=paper_preview&mkt=zh-cn |
| [4] | NEWMAN K, WOJTANOWICZ A, GAHAN B C. Cement pulsation improves gas well cementing[J]. World Oil, 2001, 222(7): 89–94. |
| [5] | 练章华, 李文魁, 陈小榆. 顶部水泥脉冲振动的数学模型[J]. 石油学报, 2001, 22(1): 83–88. |
| [6] | CHIMMALGI V S, WOJTANOWICZ A K. Design of cement pulsation treatment in gas wells-model and field validation[J]. Journal of Canadian Petroleum Technology, 2005(6): 44. |
| [7] | 聂翠平, 李相方, 叶登胜, 等. 可钻型低频自激震荡脉动固井装置的研制与应用[J]. 天然气工业, 2012, 32(9): 74–76. |
| [8] | 丁士东, 廖华林, 李根生, 等. 井口脉冲压力在环空中传播规律分析[J]. 天然气工业, 2007, 27(2): 57–59. |
| [9] | 廖华林, 李根生, 易灿, 等. 水力脉冲振动注水泥装置的设计与试验[J]. 中国石油大学学报(自然科学版), 2008, 32(1): 47–50. |
| [] | 王恩合, 王学良, 王学成, 等. 动态振动固井技术研究及现场试验[J]. 石油钻探技术, 2011, 39(4): 57–60. |
| [12] | 薛亮, 李帮民, 刘爱萍, 等. 振动固井对泥饼的剪切作用机理研究[J]. 石油钻探技术, 2011, 39(4): 53–56. |
| [13] | 吴波, 刘金余, 杨明合, 等. 新型涡轮式井下径向振动固井装置的研究与应用[J]. 复杂油气藏, 2010, 3(4): 69–77. |
| [14] | 苏义脑. 螺杆钻具研究及应用[M]. 北京: 石油工业出版社, 2001 |
| [15] | 杨树人. 工程流体力学[M]. 北京: 石油工业出版社, 2006 |

