2. 大庆油田有限责任公司采油工程研究院 ;
3. 西安石油大学机械工程学院
2. Oil Production Engineering Research Institute of Daqing Oilfield Co., Ltd. ;
3. College of Petroleum Engineering of Xi'an Shiyou University
0 引 言
水平井井眼轨迹由垂直段、造斜段和水平段3部分组成。造斜段套管因井眼曲率的存在,发生弯曲变形,受到弯矩的作用;地层错动使套管受到剪切作用,进而使造斜段套管受到弯曲和剪切载荷的联合作用[1]。目前,广泛采用的API BUL 5C3标准套管抗挤强度计算公式没有考虑弯矩和剪切的影响。文献[2]和[3]考虑弯矩的影响,应用弹性力学理论和材料力学理论导出了不均匀外压共同作用下套管的抗外挤强度公式;文献[4]基于套管强度挤毁准则,给出了理想弹塑性套管在轴向载荷作用下的抗挤强度计算方法。以上研究并未考虑弯矩和剪切载荷的共同作用,且公式冗长,计算繁琐。为此,笔者考虑水平井造斜段套管受弯曲、剪切和挤压的共同作用,建立造斜段套管力学模型,分析弯矩和剪切影响的造斜段套管抗挤强度。
1 水平井造斜段套管力学模型建立取水平井造斜段套管作为研究对象,分析其受力情况。除受地层围压作用外,套管还受到弯曲产生的弯矩以及由于地层错动产生的剪力作用[5]。上述载荷联合作用下,造斜段弯曲套管处于三向应力状态:地层围压产生径向应力和环向应力、弯矩产生弯曲正应力、剪力产生剪切应力,套管处于弯曲、剪切以及挤压综合作用下的变形状态[6-7]。套管弯曲变形和受力状态如图 1所示。图中:po为井下岩层对套管外壁的等效外压,M为水平井造斜段套管所受的弯矩,Fs为套管所受到剪力。
|
| 图 1 水平井弯曲段套管力学模型 Fig.1 Mechanical model of casing in |
将水平井造斜段套管简化为图 2所示的三点弯曲下的力学模型。模型中间截面位置施加集中载荷F,套管出现弯曲变形,以此等效套管的弯曲状态。
|
| 图 2 三点弯曲下的套管力学模型 Fig.2 Mechanical model of casing under three-point bending |
2 水平井造斜段套管抗挤强度计算
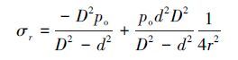
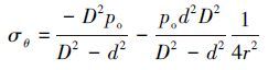
水平井造斜段套管在三点弯曲模型下,套管中心截面A-A(见图 3)受挤压、剪切和弯曲多重载荷作用,其等效应力最大,为套管的危险面。因此,以套管中心截面A-A作为研究对象。套管弯曲会导致套管失圆,使抗挤强度下降。由于套管的不圆度对其抗挤强度的影响不大,故忽略不圆度的影响[8-9]。根据拉梅厚壁筒理论(内压pi=0条件下),套管的径向应力σr和环向应力σθ为[7]:
(1)
(2) 式中:D为套管外径,mm;d为套管内径,mm;po为套管所受外压,MPa;r为套管壁某个位置到套管中心轴的距离,mm。
|
| 图 3 套管中心截面A-A的轴向应力分布 Fig.3 Distribution of axial stress at |
弯曲使得套管轴向上产生应力,套管弯曲内侧受压,外侧受拉[10],如图 3所示为弯曲套管中心截面A-A处的应力分布情况。
由材料力学中横力弯曲理论可得,弯矩在套管A-A截面产生的正应力σz为[11]:
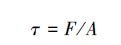
(3) 中心截面A-A上的集中载荷F产生的剪切应力τ为[12]:
(4) 式中:M为截面A-A处的弯矩,N·m;y为A-A截面上某一点到中心轴的距离,m;I为套管横截面对中心轴的惯性矩,m4;A为中心截面面积,m2。
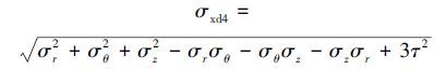
因此,弯矩、剪切和外压共同作用下弯曲套管的等效应力σxd4为:
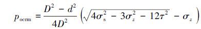
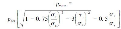
(5) 若弯曲套管的等效应力σxd4超过管材的屈服强度σs,套管将被挤毁,由此可以得到考虑弯曲、剪切和挤压作用的造斜段套管抗挤强度pocrm为:
(6) 整理后得到:
(7) 式中:pocr为单纯外压下套管的抗挤强度,pocr=2σs(D2-d2)/(4D2)。
3 三点弯曲下套管抗挤强度算例分析以常用的ø139.7 mm×10.54 mm、12.70 mm P110和ø114.3 mm×8.56 mm、9.65 mm TP140V套管为例,应用笔者推导的公式计算其在三点弯曲下的抗挤强度,同时进行有限元验证分析。在ANSYS Mechanical/Structure模块中建立套管的三维模型,采用Solid45单元,通过Free方式进行网格划分。模型一端固定,另一端沿x和y方向约束,在套管中间截面加载荷F,从而得到如图 4所示的套管三维有限元模型。取套管管材的弹性模量为206 GPa,泊松比为0.3,密度为7 800 kg/m3。P110套管的屈服强度为758 MPa,TP140V套管的屈服强度为965 MPa。不同壁厚和不同井眼曲率下套管抗挤强度计算与分析结果如表 1、表 2、图 5及图 6所示。
|
| 图 4 套管的三维有限元模型 Fig.4 3D finite element model of casing |
| 每25 m 井眼曲 率/(°) | 壁厚10.54 mm | 壁厚12.70 mm | ||||
| 理论值/ MPa | 有限元 值/MPa | 误差/ % | 理论值/ MPa | 有限元 值/MPa | 误差/ % | |
| 1.25 | 97.1 | 100 | 2.9 | 124.3 | 121 | -0.3 |
| 2.50 | 93.6 | 92 | 1.7 | 117.4 | 116 | -0.9 |
| 3.75 | 89.8 | 85 | 5.3 | 112.4 | 110 | -2.1 |
| 7.50 | 76.5 | 71 | 7.2 | 96.2 | 94 | -2.1 |
| 15.00 | 39.6 | 33 | 16.7 | 51.5 | 56 | 8.8 |
| 20.00 | 1.6 | 2 | 25.0 | 6.1 | 7 | 14.7 |
| 每25 m 井眼曲 率/(°) | 壁厚8.56 mm | 壁厚9.65 mm | ||||
| 理论值/ MPa | 有限元 值/MPa | 误差/ % | 理论值/ MPa | 有限元 值/MPa | 误差/ % | |
| 1.25 | 128.1 | 130 | 1.5 | 146.2 | 146 | -0.1 |
| 2.50 | 125.1 | 126 | 0.7 | 143.1 | 141 | -1.5 |
| 3.75 | 122.2 | 122 | -0.2 | 139.7 | 135 | -3.4 |
| 7.50 | 112.3 | 112 | -0.3 | 128.6 | 127 | -1.2 |
| 15.00 | 87.9 | 85 | -3.3 | 101.3 | 100 | -1.3 |
| 22.50 | 55.7 | 55 | -1.3 | 65.6 | 70 | 6.7 |
| 30.00 | 10.6 | 10 | -5.7 | 16.3 | 18 | 10.4 |
|
| 图 5 不同井眼曲率下ø139.7 mm P110套管抗挤强度 Fig.5 Collapsing strength of ø139.7 mm P110 casings under different wellbore curvature |
由表 1和表 2可知,水平井造斜段套管抗挤强度有限元分析结果与解析结果非常接近,这说明所推导的考虑剪切、挤压和弯曲共同作用下的套管抗挤强度理论解析公式可信。
由图 5和图 6可知,井眼曲率对套管抗挤强度有显著的影响。外径一定的情况下,同一壁厚的套管的抗挤毁强度随着井眼曲率的增大而减小,且随着井眼曲率的增大,抗挤强度减小的幅度更大。例如壁厚9.65 mm的TP140V套管,每25 m井眼曲率从7.5°到15.0°时套管抗挤强度减小了27.26 MPa,而每25 m井眼曲率从15.0°到22.5°时套管抗挤强度减小35.70 MPa。井眼曲率较大时,大外径、厚壁套管抗挤强度下降得较快。对于ø114.3 mm壁厚12.70 mm的TP140V套管,当每25 m井眼曲率从15.0°变化到22.5°时,套管的抗挤强度下降约39%。
|
| 图 6 不同井眼曲率下ø114.3 mm TP140V套管抗挤强度 Fig.6 Collapsing strength of ø114.3 mm TP140V casings under different wellbore curvature |
同一井眼曲率下,承受同等载荷,壁厚较小的套管首先被挤毁,即壁厚越大,套管抗挤毁能力越强。12.7 mm壁厚的P110套管在每25 m井眼曲率为15.0°时,抗挤强度比10.54 mm壁厚套管大27%。壁厚越大的套管随着弯曲度增加其抗挤强度下降越快,如图 5和图 6所示。对于外径ø114.3 mm TP140V套管,当每25 m井眼曲率从15.0°变化到22.5°,壁厚8.56和9.65 mm的套管抗挤强度分别下降了32.94和35.70 MPa。
4 结 论根据拉梅厚壁筒理论和第四强度理论,导出了水平井造斜段套管在轴向力、弯矩和剪切联合作用下的抗挤强度计算公式;通过实例计算和有限元分析考察了井眼曲率对抗挤强度的影响规律,分析结果表明:
(1) 随着弯曲度的增加,壁厚越大的套管其抗挤强度下降越快。
(2) 井眼曲率越大,套管抗挤强度下降越快。因此,设计水平井时,应考虑井眼曲率对套管抗挤强度的影响。
(3) 为保证套管的抗挤强度安全性,水平井弯曲段应尽量选用高钢级、大壁厚的套管。
| [1] | 郑振兴, 张长伦, 刘静, 等. 油水井套管损坏机理与防治措施研究[J]. 断块油气田, 2007, 14 (5) : 77–78 . |
| [2] | 侯庆宇, 陈斌, 米红学, 等. 储层出砂、生产压差及改造压力对射孔套管强度的影响[J]. 西安石油大学学报(自然科学版), 2014, 29 (4) : 96–100 . |
| [3] | 黄根炉, 陈忠帅, 马庆涛, 等. 弯曲井眼中套管抗挤强度计算[J]. 石油机械, 2011, 39 (4) : 38–40 . |
| [4] | 王同涛, 闫相祯, 杨秀娟, 等. 中短半径水平井弯曲段套管剩余抗挤强度分析[J]. 石油矿场机械, 2009, 38 (9) : 28–32 . |
| [5] | 申昭熙. 套管外压挤毁强度分析与计算[J]. 应用力学学报, 2011, 28 (5) : 547–550 . |
| [6] | 蒋官澄, 胡冬亮, 许发宾. 弯曲套管抗挤强度有限元ANSYS分析方法[J]. 断块油气田, 2009, 16 (4) : 134–136 . |
| [7] | 窦益华, 张福祥. 高温高压深井试油井下管柱力学分析及其应用[J]. 钻采工艺, 2007, 30 (5) : 17–20 . |
| [8] | 庄保堂, 李黔, 邓传光. 中短半径水平井弯曲段套管受力分析[J]. 钻采工艺, 2006, 29 (5) : 80–81 . |
| [9] | 薛嘉行, 姜开厚, 杨嘉陵, 等. 弹-塑性圆管受纯弯载荷作用的实验研究[J]. 应用力学学报, 2000, 17 (4) : 50–57 . |
| [10] | YUKIHISA K,YASUSHI T.Effect of wear and bending on casing collapse strength[R].SPE24597,1994. |
| [11] | 吴怀志, 翟晓鹏, 姬辉, 等. 砂岩储层出砂段套管强度分析[J]. 科学技术与工程, 2013, 13 (10) : 2662–2665 . |
| [12] | 刘鸿文. 材料力学(Ⅰ)[M].4版. 北京: 高等教育出版社, 2004 : 212 -214. |

