2. 中国石油大学(华东)机电工程学院
2. College of Mechanical and Electrical Engineering, China University of Petroleum (Huadong)
0 引言
平板闸阀是一种关闭件为平行闸板的滑动阀,闸板向阀座的压紧力由作用于浮动闸板或浮动阀座的介质压力来控制。平板闸阀被广泛应用于石油、天然气、化工、煤炭和管道输送等行业。在高压环境下,平板闸阀具有密封可靠、开关力矩小和便于操作等特点,是石油天然气工业勘探开发的重要设备之一。平板闸阀在石油工业应用中暴露出来的主要问题是在高压环境下闸板与阀座的擦伤和在强腐蚀介质中闸板及阀座的腐蚀。闸板作为闸阀的关键件,闸板的擦伤和腐蚀严重妨碍了平板闸阀在石油行业中的应用[1-3]。
近年来,激光熔覆技术开始推广,闸板表面激光熔覆镍基合金具有耐磨、防腐、低稀释率、效率高以及对闸板热影响小等诸多优点。中国石油大学(华东)焊接技术与表面工程研究中心在不同材料表面对Fe基、Co基和Ni基合金粉末的激光熔覆已进行了多年研究。激光熔覆过程中,熔覆材料和工艺参数决定了熔覆层的性能,后续热处理工艺对熔覆层及热影响区组织性能有一定的改善作用;激光熔覆处理后熔覆层存在残余应力,残余应力的不均匀分布影响熔覆过程中裂纹的产生;Ni基合金熔覆层耐磨损、耐腐蚀、抗高温能力强,在闸板表面熔覆Ni基合金粉末涂层,能大幅延长闸阀使用寿命[4-7]。
闸板熔覆过程中易产生裂纹,主要原因是熔覆层存在残余应力。笔者通过对闸板激光熔覆过程进行温度场和应力场数值模拟,分析熔覆层残余应力大小与分布规律,以期为平板闸阀的设计和现场使用提供参考。
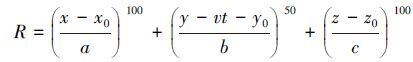
1 数值计算模型激光熔覆过程是熔池局部急剧升温,后又迅速冷却的过程,因此该过程的温度场变化问题属于典型的非线性瞬态热传导问题。其控制方程为:
(1) 式中:ρ为预置层的密度;c为预置层的热容量;λ为预置层的热传导率;T为温度分布的函数;Q为相变潜热;t为时间。
闸板在常温下进行激光熔覆,其初始温度为常温,初始条件为:
(2) 式中:T0为环境温度。
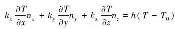
激光熔覆过程存在于热辐射和热对流环境中,因此在表面上的边界条件为:
(3) 式中:h为复合换热系数;k为导热系数;n为试样的表面外法线方向。
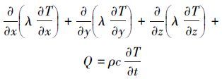
模拟计算弹塑性力学行为时,考虑温度对应力-应变本构关系的影响,其热弹塑性本构关系如下[9]
(4) 式中:[Dep]为弹塑性刚度矩阵;[Cth]为热刚度矩阵;[M]为温度形函数;[ΔT]为温度变化量;dσ为应力增量;dε为弹性应变增量、塑性应变增量、热应变增量、相变体积应变增量以及相变诱导塑性应变增量的总和。
2 有限元模型的建立 2.1 模型及网格使用5 kW的CO2激光加工成套设备在平板阀闸板上熔覆镍基合金粉末,选用尺寸为10 mm×1 mm的矩形激光光斑热源,进行搭接率为30%的激光熔覆,为数值模拟提供几何模型。图 1为激光熔覆处理后的闸板。熔覆层易在圆孔附近产生裂纹。
|
| 图 1 激光熔覆处理后的闸板 Fig.1 Gate treated with laser cladding |
根据激光熔覆试验得到的熔覆层实际形貌,用网格划分软件Visual-Environment建立几何模型,几何模型和网格划分如图 2所示。原始闸板尺寸为193.50mm×84.70 mm×46.02 mm,激光熔覆区域为142.70 mm×84.70 mm,熔覆厚度为0.8 mm。这里主要研究对象是熔覆层,因此建模时熔覆层及其附近的网格比较密,远离熔覆层的网格比较稀疏,这样既保证了模拟的精度,又缩短了模拟计算所用的时间。有限元模型使用了三维体单元和二维面单元,其中二维面单元主要是在加载边界条件时使用,比如试样与空气之间的换热。同时在模拟计算时,引入“生死单元”技术[10]来实现熔覆层的搭接。当热源作用于第1道熔覆层时,“杀死”几何模型上第2道熔覆层的所有单元;当模拟熔覆第2道熔覆层时,第2道熔覆层单元自动“生成”。
|
| 图 2 闸板激光熔覆几何模型和网格划分 Fig.2 Geometry model and meshing of laser cladded gate |
2.2 热源模型
宽带激光熔覆热源比较特殊,数值模拟中对3D高斯热源模型进行修正而得到热源模型[11],表示为:
(5) 式中:C0为热源体积因子,取决于激光输出功率P;系数a、b、c与熔池尺寸相关;v是激光扫描速度。其中,C0可以通过式(6) 和式(7) 计算获得。
(6)
(7) 式中:η是能量吸收系数。
为提高模拟结果的准确度与精度,这里对热源模型进行了校核。图 3为模拟熔池形貌截面。实际测量熔覆层厚度为0.8mm,图中熔池深度为1.0 mm,这说明热源符合实际激光热源,模拟结果可靠。
|
| 图 3 激光熔覆熔池截面模拟图 Fig.3 Simulation of the section of furnace hearth for laser cladding |
3 结果与分析 3.1 温度场的数值模拟分析
运用SYSWELD软件模拟计算了闸板表面激光熔覆过程的温度场和应力场。整个激光熔覆过程的温度场分布复杂多变。激光熔覆1道熔覆层需要85 s,熔覆6道共需510 s,将其在室温条件下冷却1 000 s。
为了方便对温度场和应力场计算结果进行分析,在距熔覆起始点76、68和60 mm的P-P、Q-Q和R-R面上取点,每个面6点均位于熔覆层轴向中心位置,如图 4所示。
|
| 图 4 熔覆顺序和取点示意图 Fig.4 Schematic diagram of cladding order and point selecting |
图 5是P-P截面上第1道熔覆层轴中心点的热循环曲线。由图可以看出,该点的温度变化曲线呈锯齿状,说明每组的升温速率要明显高于冷却速率,并且在42 s处(热源开始接近该点)温度曲线几乎成较陡的直线,说明升温速度极快且速度不变,而降温时成抛物线状,冷却速度逐渐减小。这主要是因为热源快速靠近使得温度急剧上升,随着热源远离,该点自然冷却,速率逐渐减小。图中曲线出现了6个峰值温度,其中第1次峰值温度就到了1 595 ℃,达到了粉末的熔点,这和实际情况相符。第2个峰值为281 ℃,说明第2道熔覆过程对第1道熔覆层有热影响作用。而从第3道开始对第1道熔覆层的热影响并不明显。
|
| 图 5 热循环曲线 Fig.5 Thermal circulation curve |
3.2 残余应力场的数值模拟分析
在熔覆层温度场模拟结果的基础上继续进行应力场的数值模拟计算。图 6为1 000 s时闸板的Von Mises应力分布云图,图中颜色越红,表示应力强度越大。由分析可知,随着搭接道数的增加,
熔覆层残余应力呈逐渐变大趋势。图 7为闸板熔覆层各点的应力分布曲线,取点图如图 4所示。
|
| 图 6 Von Mises应力分布云图 Fig.6 Von Mises stress distribution cloud chart |
|
| 图 7 各点残余应力分布曲线 Fig.7 Residual stress distribution curve of each point |
由图 7a、图 7b和图 7c可以看出,熔覆层内受拉应力较大,其中主要表现为x向和z向拉应力,最大峰值达600 MPa以上;y向拉应力最小,变化规律并不明显且保持在零点附近。主应力和Von Mises等效应力随着距最左端点距离的增加呈增大趋势,说明随着激光熔覆搭接道数的增加,熔覆层残余应力逐渐增大。对各向应力曲线进行对比,可以看出P-P截面各点Von Mises应力最大,R-R截面各点Von Mises应力最小。这说明越靠近闸板中心圆孔,熔覆层拉应力越大,这和熔覆试验中裂纹易在圆孔附近出现相符。图 7d为R-R截面上S-S处各点的各向应力曲线,表示的是熔覆层厚度方向上的应力分布变化。由图可以看出,熔覆层表面应力最小,随距表层距离的增加,各向应力值逐渐增加,在距表层0.53mm处达到最大值,Von Mises等效应力峰值为598 MPa,主应力峰值为324 MPa,表明熔覆层中应力最大值在熔覆层内。
4 结论(1) 激光熔覆过程中升温速率高于冷却速率。第2道熔覆过程对第1道熔覆层有热影响作用。而从第3道开始对第1道熔覆层的热影响并不明显。
(2) 闸板熔覆涂层中,主应力和Von-Mises等效应力随着z轴负方向呈增大趋势;越靠近闸板中圆孔处拉应力越大,越易产生裂纹。
(3) 熔覆层厚度方向上,残余应力随着距表层距离的增加而逐渐变大,在距表层0.53mm处达到最大值。
| [1] | 申会芹. 超高压采气井口平板闸阀密封结构技术研究[J]. 石油机械, 2011, 39 (10) : 116–119 . |
| [2] | 邓勇刚, 董乃仕, 李如强, 等. 平板闸阀壳体预制孔缺陷破坏声发射检测[J]. 钻采工艺, 2015, 38 (1) : 83–85 . |
| [3] | 胡建田, 杨荣水, 汪剑英, 等. 平板闸阀双联阀座的设计[J]. 阀门, 2013 (5) : 1–3 . |
| [4] | 李美艳, 韩彬, 蔡春波, 等. 激光熔覆镍基合金温度场和应力场数值模拟[J]. 焊接学报, 2015 (5) : 25–28 . |
| [5] | 韩彬, 李美艳, 王勇. 高铬铸钢激光熔覆NiAl涂层高温冲蚀性能[J]. 焊接学报, 2012, 33 (8) : 1–4 . |
| [6] | 韩彬, 万盛, 张蒙科, 等. 镍基金属陶瓷激光熔覆层组织及摩擦磨损性能[J]. 中国石油大学学报(自然科学版), 2015, 39 (2) : 93–97 . |
| [7] | 崔岗, 韩彬, 崔娜, 等. 扫描速度对激光熔覆Ni基WC合金层组织与性能的影响[J]. 中国表面工程, 2014, 27 (4) : 71–76 . |
| [8] | LEI Y W, SUN R L, TANG Y, et al. Numerical simulation of temperature distribution and TiC growth kinetics for high power laser clad TiC/NiCrBSiC composite coatings[J]. Optics and Laser Technology, 2012, 44 (4) :1141–1147 . |
| [9] | XUE Z M, QU W Q, CHAI P, et al. Review on prediction of welding distortion[J]. Transactions of the China Welding Institution, 2003, 24 (3) :87–91 . |
| [10] | 王春侠, 汪苏, 白小梅. 基于SYSWELD平台激光实时焊接过程数值仿真[J]. 焊接, 2006 (12) : 14–18 . |
| [11] | ZHAN H X, WANG Y, LI C W, et al. Computation-al and experimental study of a melt-hardened zone on a roller modified by wide-band laser treatment[J]. Optics & Laser Technology, 2009, 41 (3) :251–257 . |

