0 引言
铺管船法是海洋油气管道铺设的主流方式之一,一般有S型、J型和卷管式铺管等3种方法[1]。其中,卷管式铺管法适合于深水小口径管道铺设,铺设管径通常为101.6~406.4 mm(4~16 in)[2],并且铺设效率高,铺管费用低[3, 4],在世界范围内得到广泛应用。卷管式铺管法主要分为上卷和退卷2个阶段。首先,在陆地上焊接好的管道被卷入一个大直径的卷筒上,然后将卷筒运输到铺管船上,完成上卷工作。其次,在管道铺设阶段,卷筒上的管道进行退卷,依次经过校准器、校直器和张紧器,进而被铺设到海床上,完成退卷工作。校直器由上位履带组和下位履带组组成,退卷时下位履带组抱紧管道,上位履带组下压从而对行进中的管道进行校直[5]。然而在上卷和退卷过程中,管道会发生数次的弯曲,产生往复的塑性变形[6, 7],这会导致管道产生很大的截面椭圆度损伤,大大降低其屈曲承载能力。
国内外众多学者将研究焦点集中在屈曲分析上,S.P.Timoshenke等[8]最早推导了无缺陷以及具有初始椭圆度缺陷管道发生弹性屈曲时的解析公式。S.Kyriakides等[9]进一步研究了管道在外压作用下的弹塑性屈曲响应。余建星等[10]运用压溃试验和数值模拟相结合的手段研究了径厚比、初始凹坑缺陷和初始椭圆度缺陷等因素对管道压溃的影响。龚顺风等[11]利用模型试验和有限元数值模拟研究了具有初始缺陷的厚壁钢管在高静水压力下局部屈曲问题,分析了不同材料性能、径厚比和初始椭圆度对钢管屈曲的影响。上述研究成果表明,初始椭圆度是影响管道屈曲承载力的一个重要因素,但是大多数研究只是假设一个初始椭圆度的值作为初始缺陷引入到管道中,对于真实工况中卷管铺设过程到底会造成多大的椭圆度损伤少有研究。张九菊等[12]利用应变能方法和Ritz方法对海管的椭圆度做了理论分析,并利用有限元软件ABAQUS分别对有初始弯曲曲率和无初始弯曲曲率的海管进行了模拟分析,研究了影响海管椭圆度的主要参数及其变化规律。唐彪等[13]提出椭圆度是控制校直质量的重要因素,并利用有限元软件建立了三维上卷校直模型,研究了校直操作对管道截面的影响规律。M.Martinez等[14]进行了全尺寸管道的上卷和校直试验,并且与相应的数值模拟做对比,研究了循环往复的上卷和校直操作对管道椭圆度的影响。然而,以上管道的椭圆度研究主要集中在卷管铺设的静态模拟和分析,并且大多将铺设过程简化为上卷和校直2个过程,忽略了管道的退卷和校准过程,同时也未考虑管道在铺设系统中运动时的动力学特性。
为了更加准确地模拟卷管铺设的真实工况,笔者基于有限元软件ABAQUS中的Standard模块建立了管道的上卷和退卷模型,模拟了卷管铺设中管道的“上卷-退卷-校准-校直”这样一个连续的动态响应过程,研究了卷管铺设时无缺陷管道的外径、径厚比和钢材级别对管道椭圆度损伤的影响。
1 卷管铺设过程的动态模拟由于卷管法适用于深水海底管道铺设,铺设角度往往很大,所以以90°的铺设角度为例进行卷管铺设过程的动态模拟和分析。
1.1 有限元模型卷筒、校准器、校直器和张紧器都通过拉伸的方式建立为解析刚体模型。其中,卷筒半径为8.25 m,校准器半径为10.10 m,张紧器长度为8 m,校直器的上位履带组和下位履带组长度都为4 m,其曲率半径为40.00 m,从而在校直过程中使管道产生曲率半径为40.00 m的反向弯曲变形。管道总长270 m,由于铺设时管道的变形关于竖直平面对称,只需建立管道的 1/2 模型,管道用壳单元S4R进行模拟,该单元可以精确模拟管道的横截面变形。
同时,为得到上卷和退卷过程中管道经过各铺设装备时的椭圆度,笔者在距离管道右端132 m处选取一段4 m长的管道作为研究和分析对象,对这段4 m长的管道网格划分时更为精细,在管道的半圆周上划分10个单元,在轴向上划分100个单元。管道的右端与卷筒的参考点设置耦合约束,管道的左端处设置一个参考点,用来施加管道张力,并且管道分别与卷筒、校准器、校直器和张紧器之间设置为无摩擦接触。管道上卷和退卷的有限元模型分别如图 1和图 2所示。图 1和图 2中箭头所指处就是这段4 m长的管道所在的位置。
|
| 图 1 管道上卷有限元模型 Fig.1 Finite element model of reeling |
|
| 图 2 管道退卷有限元模型 Fig.2 Finite element model of unreeling |
管道材料的密度为7 800 kg/m3,泊松比为0.3,重力加速度为9.8 m/s2。材料的本构关系采用Ramberg-Osgood模型,其表达式为:

在笔者的分析中,管道的钢材级别有3种,其材料参数如表 1所示。
| 钢材等级 | σ s/MPa | A | B | E/GPa |
| X60 | 413 | 1.48 | 18.99 | 207 |
| X65 | 448 | 1.29 | 25.58 | 207 |
| X70 | 482 | 1.13 | 27.13 | 207 |
整个模型的计算分为9个分析步,具体如下。
第1步:将卷筒的参考点设置为全约束,管道设置为关于XY平面的对称边界条件,在管道左端施加一水平张力来模拟张紧器对管道的拉力作用。
第2步:对卷筒的参考点施加速度边界条件,使卷筒只绕其中心轴做顺时针转动,其余5个自由度全部约束,从而使管道逐渐缠绕到卷筒上。
第3步:首先把卷筒的边界条件改为全约束,将校准器移动到管道下方,并设置为全约束,然后再对管道施加重力载荷,在重力载荷作用下管道将与校准器接触。
第4步:使校准器沿竖直方向移动到指定位置,则校准器将会托着管道上升,从而使校准器的位置满足铺设角度的要求。
第5步:将水平张力的方向改为竖直向下,用来模拟铺设时管道中存在的后张力,此时管道的脱离角度为90°。
第6步:将张紧器移动到指定位置,则张紧器将会与管道发生接触。
第7步:将校直器移动到指定位置,并将下位履带组设置为全约束,然后使上位履带组沿垂直于管道方向下压一定距离,从而使管道产生反弯效果。
第8步:将卷筒的边界条件改为速度边界条件,使其做逆时针转动,进而使管道从卷筒上退卷下来,然后依次经过校准器、校直器和张紧器,完成退卷。
第9步:将管道的后张力和重力卸载,此时可测得管道的残余椭圆度。
2 管道椭圆度损伤的参数分析根据DNV-OS-F101规范[15],管道的椭圆度计算公式为:

笔者以这段4 m长的管道为研究对象,以其中间横截面的椭圆度值作为管道的椭圆度,由此可根据式(2)计算得到管道在铺设过程中的椭圆度历史,以及卸载后的残余椭圆度。
2.1 管道外径的影响为了研究不同外径的管道在经过卷管铺设后的椭圆度损伤,管道统一采用相同的径厚比,这里选取3种常见的管道外径作为计算工况,其参数如表 2所示。
| 管径/mm | 壁厚/mm | 径厚比 | 钢材级别 |
| 152.4 | 6.00 | 25.4 | X65 |
| 254.0 | 10.00 | 25.4 | X65 |
| 323.9 | 12.75 | 25.4 | X65 |
使用有限元软件ABAQUS对表 2的工况计算后,可得整个铺设过程中管道的椭圆度变化历史,如图 3所示。卸载后管道的残余椭圆度即椭圆度损伤结果如表 3所示。由于具体的计算时间在研究分析中无太大意义,所以将所有计算结果的横坐标——时间做归一化处理。
|
| 图 3 不同管径管道的椭圆度历史 Fig.3 Ovality history of pipes with different outer diameters |
| 管径/mm | 152.4 | 254.0 | 323.9 |
| 残余椭圆度/% | 1.0 | 3.3 | 5.5 |
从图 3可以看出,卷管铺设的上卷和退卷过程中,3种管径的管道的椭圆度变化趋势相同,即当管道经过卷筒、校准器和校直器时,在以上铺设装备的弯曲作用下,管道产生很大的椭圆度,并且管径越大,同一时刻的铺设过程中管道的椭圆度也越大。根据表 3可知,当管道从张紧器出来并且卸载以后,管道仍然留有很大的椭圆度,并且可以明显地看出,当径厚比相同时,管径越大,管道的残余椭圆度越大。
2.2 管道径厚比的影响为了研究在卷管铺设过程中管道径厚比λ与管道椭圆度损伤的关系,保持管道外径不变,全部使用254.0 mm(10 in)管道,通过选取不同壁厚来改变管道的径厚比λ并且深海铺设中所用管道一般是小径厚比(10~35),因此采用的计算工况如表 4所示。
| 管径/mm | 壁厚/mm | 径厚比 | 钢材级别 |
| 254.0 | 16.9 | 15.0 | X65 |
| 254.0 | 12.7 | 20.0 | X65 |
| 254.0 | 10.0 | 25.4 | X65 |
| 254.0 | 8.5 | 30.0 | X65 |
同理,通过计算表 4中的工况,可得到不同径厚比管道的椭圆度变化历史,如图 4所示。管道卸载后的残余椭圆度如表 5所示。
| 径厚比 λ | 15.0 | 20.0 | 25.4 | 30.0 |
| 残余椭圆度/% | 1.20 | 1.97 | 3.30 | 4.46 |
根据图 4可知,不同径厚比的管道的椭圆度变化趋势相同,并且与图 3所描述的规律也相同。同时根据表 5可知,管径相同时,管道壁厚越小,即径厚比越大,卸载后管道的残余椭圆度也越大。
|
| 图 4 不同径厚比管道的椭圆度历史 Fig.4 Ovality history of pipes with different diameter to thickness ratio |
至于卷管铺设中钢材级别对管道椭圆度损伤的影响,在这里保持管道的管径和壁厚相同,也即管径和径厚比都相同,分别采用3种钢材来模拟管道的铺设,则此部分研究的计算工况如表 6所示。
| 管径/mm | 壁厚/mm | 径厚比 | 钢材级别 |
| 254.0 | 12.7 | 20 | X60 |
| 254.0 | 12.7 | 20 | X65 |
| 254.0 | 12.7 | 20 | X70 |
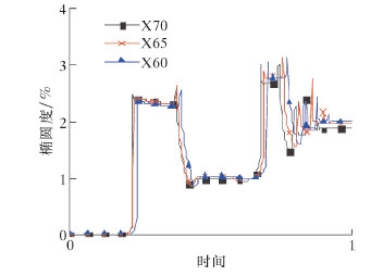
最后,通过计算表 6中的工况,可得到整个铺设过程中不同钢材级别管道的椭圆度变化历史,如图 5所示。
|
| 图 5 不同钢材级别管道的椭圆度历史 Fig.5 Ovality history of pipes with different steel grade |
管道卸载后,X60、X65和X70钢材管道的残余椭圆度分别为1.99%、1.97%和1.87%。
由图 5可知,在卷管铺设过程中,3种不同钢材级别的管道的椭圆度变化历史曲线几乎重合,即在各个铺设装备的弯曲作用下,不同钢材级别管道抵抗椭圆度变形的能力几乎相同。管道卸载后,3种钢材级别的管道保留的残余椭圆度也相差很小,由此可见,钢材级别对管道椭圆度损伤的影响很小。
3 结论在卷管铺设过程中,当管道经过卷筒、校准器和校直器时,在以上铺设装备的弯曲作用下,管道产生很大的椭圆度,并且管道卸载后也保留有较大的椭圆度,这将会大大降低管道的抗压溃能力,不利于管道的安全运行,因此在深海卷管法铺设设计时,应充分考虑管道椭圆度损伤造成的压溃压力的降低。同时,通过对管道外径、径厚比和钢材级别等参数进行分析,可定量计算出其对椭圆度损伤的影响,且得到以下结论:
(1)当径厚比相同时,管道外径越大,管道的椭圆度损伤越大。
(2)当管径相同时,壁厚越小,即管道径厚比越大,管道的椭圆度损伤越大。
(3)钢材级别对管道的椭圆度损伤影响很小。
| [1] | Shitamoto H,Hisamune N.Effect of full-and small-scale reeling simulation on mechanical properties of weldable 13Cr seamless line pipe[C]//ASME 2013 32nd Inte- rnational Conference on Ocean,Offshore and Arctic En- gineering,2013:V04AT04A052. |
| [2] | 张九菊,段梦兰,胡显伟.卷管铺设的海管曲率模型及残余应力计算[J].海洋工程,2015,33(3):19- 28. |
| [3] | Dawood A A,Kenny S.Finite element method simulating the pipeline mechanical response during reel-lay installation[C]//ASME 2013 32nd International Conference on Ocean,Offshore and Arctic Engineering,2013:V04AT04A041. |
| [4] | Denniel S,Tkaczyk T,Howard B,et al.On the influence of mechanical and geometrical property distribution of the safe reeling of rigid pipelines[C]//ASME 2009 28th International Conference on Ocean,Offshore and Arctic Engineering,2009:221-231. |
| [5] | 费莹莹.铺管船卷轴系统的力学分析和关键履带系统的结构设计[D].哈尔滨:哈尔滨工程大学,2013. |
| [6] | 段梦兰,张九菊,张文,等.卷管铺设的管-滚匹配设计方法研究[J].长江大学学报:自然科学版,2009,7(3):101-105. |
| [7] | Pasqualino I P,Silva S L,Estefen S F.The effect of the reeling laying method on the collapse pressure of steel pipes for deepwater[C]//ASME 2004 23rd International Conference on Offshore Mechanics and Arctic Engineering,2004:247-254. |
| [8] | Timoshenko S P,Gere J M.Theory of elastic stability [M].New York:Dover Publication,2009. |
| [9] | Kyriakides S,Corona E.Mechanics of offshore pipelin- es:volume 1 buckling and collapse[M].Amsterdam: Elsevier,2007. |
| [10] | 余建星,卞雪航,余杨,等.深水海底管道全尺寸压溃试验及数值模拟[J].天津大学学报,2012,45(2):154-159. |
| [11] | 龚顺风,陈源,金伟良,等.高静水压力作用下深海油气管道的局部屈曲[J].浙江大学学报:工学版,2012,46(1):14-19. |
| [12] | 张九菊,段梦兰,马建敏,等.基于深海卷管铺设的海管椭圆度分析[J].应用数学和力学,2013,34(6):552- 563. |
| [13] | 唐彪,段梦兰,胡显伟,等.基于椭圆度卷轴铺设过程矫直质量控制方法研究[J].石油机械,2013,41(9):48-51. |
| [14] | Martinez M,Brown G.Evolution of pipe properties du-ring reel-lay process:Experimental characterisation and finite element modelling[C]//ASME 2005 24th International Conference on Offshore Mechanics and Arctic Engineering,2005:419-429. |
| [15] | DNV-OS-F101.Offshore standard-submarine pipeline systems[S].2013. |


