2. 中国石油西南油气田分公司
2. PetroChina Southwest Oil and Gas Field Company
0 引 言
随着油田开发时间的不断延长,油井的产能及注水井的吸水指数都会明显下降,其主要原因是泥质、石蜡胶质及沥青质的沉积物、污垢、乳化液以及其他机械杂质将孔隙通道堵塞,使油层渗透率减小。为了防止地层结垢堵塞,研究了振动采油[1, 2]技术。它是一种主要的提高油田采收率的物理方法,与其他各种物理和化学方法相比,在设备投入、操作费用、作用面积和作用效果上,该方法都具有明显的优势。
早期的声波采油技术基本采用大功率的起振机、电磁锤、机械式震荡器和水力式震荡器等作为地面人工震源[3]。这些地面震源设备对于能量的利用率低,易于破坏地面装备。邢立升等[4]研制的振动采油换能器产生的振动波频率较低,能量密度不高,作用效果有限。国外的流体动力采油换能器,主要有旋笛式、哈特曼式及帕尔曼式[5, 6]等。因我国水资源短缺,上述设备在油田的应用受到制约。
鉴于此,笔者基于电磁学[7, 8]原理,设计了新型井下振动装置直线驱动器,并建立了其动力学模型,最后计算了直线驱动器的电磁驱动力和输出位移。该直线驱动器类似永磁直线电机,但与一般机床永磁直线电机不一样[9, 10, 11],它与声辐射器[12]相连,其输出为轴向简谐力。
1 直线驱动器技术分析 1.1 结构直线驱动器结构示意图如图 1所示。
|
| 图 1 直线驱动器结构示意图 Fig.1 Structural schematic of linear actuator 1—声辐射器;2—连杆;3—声辐射器板;4—端盖;5—线圈;6—导磁磁轭;7—中心杆导磁段;8—中心杆非导磁段;9—线圈骨架;10—下顶杆;11—止位板;12—内六角螺钉;13—隔板;14—上顶杆;15—碟簧。 |
直线驱动器为圆柱形结构,是井下声辐射器的动力来源。声辐射器把直线驱动器中心杆的轴向振动位移转换成放大的横向振动位移,并作用于油层。整个装置通过夹具竖直固定在油井中。为了区别,图 1中左、右2个线圈分别称为上、下线圈。
1.2 工作原理装置工作时,上、下线圈交替通断电。线圈通电后,磁场将会在磁轭和中心杆处形成闭合磁路。当上线圈通电,下线圈断电时,中心杆将受到向上的电磁力而向上运动。同理,当下线圈通电,上线圈断电时,中心杆向下运动。中心杆的上、下运动传递给图 1中左、右两端的顶杆。两端顶杆分别与声辐射器相连接。碟簧的作用是给中心杆提供预压力,使中心杆的轴向位移能更有效地输出,通过调节内六角螺钉的松紧程度改变碟簧预压力。圆套筒和隔板用于隔磁,防止漏磁。连杆孔用于通过连杆连接声辐射器。
2 直线驱动器的设计与仿真在电磁分析时,做如下假设:①磁轭由冷轧硅钢片叠片制作,忽略其电导率,即忽略其中的涡流效应,其磁阻也可以不考虑。②各层材质的物理常数均匀、各向同性,并且非线性。③绕组励磁即各场量均随激励电流做正弦变化。
结合直线驱动器功能与成本要求,选择材料如下:磁轭选取牌号硅钢片50W470(其磁化曲线B-H可由数值表查得),中心杆选择磁导率高的纯铁,其相对磁导率为20~20 000,B-H曲线为非线性。顶杆和外套筒选铝合金,其磁导率和空气磁导率相差不大,能很好地隔磁,减小磁场对其他设备的影响。
由于模型的左右对称性,所以在分析时可以只选择模型的
来分析,线圈骨架内半径为r1,单个激励线圈长l,分析结果如图 2和图 3所示。
|
| 图 2 通电线圈在中心杆处的磁力线 Fig.2 The magnetic field lines of the energized coil at the center rod |
|
| 图 3 r1/l较小时通电线圈在中心杆处的磁力线 Fig.3 The magnetic field lines of the energized coil with minor r1/l at the center rod |
将图 2与图 3进行对比可以看出,当线圈r1/l较小时,中心杆处轴向磁力线分布更加均匀。图 2磁轭间隔板处的中心杆部分可导磁,当上、下线圈交替通电时,磁场会向没通电线圈磁轭处泄漏。
设计的直线驱动器结构要求线圈在中心杆处轴向和径向方向磁感应强度均匀。轴向磁感应强度均匀能使中心杆电磁驱动力波动小,从而电磁驱动力稳定。而径向磁感应强度均匀能使中心杆在运动过程中减小与其他结构的摩擦阻力,运动平稳。当中心杆的直径d=16 mm时,中心杆径向磁感应强度如图 4所示,径向均匀,图中t为测量时间点。
|
| 图 4 磁感应强度随径向位置变化曲线 Fig.4 The magnetic strength along the radial direction |
从图 5可以看出,在中心杆顶端磁感应强度迅速下降。顶端漏磁是中心杆磁感应强度不均匀的主要原因。因此在驱动器结构设计时,应尽量减小顶端漏磁,以此增加轴向磁感应强度的均匀性。
|
| 图 5 磁感应强度随轴向位置变化曲线 Fig.5 The magnetic strength along the axial direction |
在中心杆端部,设计磁轭延伸到中心杆圆筒内来减小端部没有导磁材料的长度,从而减少端部漏磁,增加直线驱动器效率。上、下线圈通过非导磁材料隔板隔开,以减少漏磁。
综合上述分析,改变磁轭和中心杆结构,减小r1/l,得到直线驱动器结构如图 6所示。
|
| 图 6 直线驱动器结构示意图 Fig.6 The structure of the linear actuator 1—顶杆;2—端盖;3—碟簧;4—磁轭;5—圆套筒;6—激励线圈;7—中心杆;8—线圈骨架;9—隔板。 |
当线圈结构由单一线圈组成时,上线圈通电,下线圈断电,磁力线分布如图 7所示。
|
| 图 7 磁力线分布图 Fig.7 The distribution of magnetic field lines |
上线圈通电,下线圈断电,中心杆处磁感应强度随轴向位置变化如图 8所示。
|
| 图 8 磁感应强度随轴向位置变化图 Fig.8 The magnetic strength along the axial direction |
当线圈结构由主线圈和端部补偿线圈组成且2种线圈用非导磁板隔开时,磁力线分布如图 9所示,中心杆处磁感应强度随轴向位置变化如图 10所示。
|
| 图 9 加上端部补偿线圈后磁力线分布 Fig.9 The magnetic field lines with the adding of end compensation coil |
|
| 图 10 磁感应强度随轴向位置变化图 Fig.10 The magnetic strength distribution along the axial direction |
将图 2与图 7和图 9进行对比可以看出,磁力线端部漏磁减少,通电线圈产生的磁场向没通电线圈磁轭处漏磁也减少。中心杆处磁力线分布更加均匀。
图 8和图 10线圈在交流电作用下,各个时间点中心杆瞬时磁感应强度不同,但其值随时间正弦变化,即Bo=Bomaxsin(100πt)。
对比图 8和图 10可知,加上端部线圈后,通电线圈在中心杆处轴向磁感应强度均匀性增加,这样会使电磁驱动力波动减小。
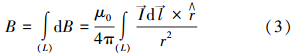
3 直线驱动器参数计算 3.1 磁感应强度由于线圈绕组即螺线管内含有中心杆(相当于铁芯),所以螺线管中心轴O处磁感应强度BO应该为空心螺线管的磁感应强度BO1与铁芯被磁化后所产生的附加磁感应强度值BO2之和。
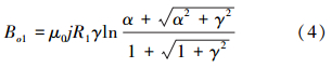
直线驱动器结构参数如下:单个激励线圈长l=240 mm,线圈内半径R1=12 mm,线圈外半径R2=43 mm,线圈匝数N=2 000。中心杆半径r=10 mm。隔板厚d=30 mm,忽略中心杆与线圈骨架内半径之间的间隙(r1≈r)。
空心螺线管通电后会在其圆筒中心产生磁场,由通电导线的毕奥-萨伐尔定律可得:



为闭合回路的电流元;
为电流元到所求磁感应强度点的距离矢量;H为磁场强度矢量;μ为磁导率。
将沿骨架密绕的线圈看成一多层密绕通电螺线管,则在其圆筒轴线方向上产生的磁场强度为:

,I为电流强度。
当螺线管中心存在中心杆(铁芯)时,相当于螺线管内还存在一个通电线圈绕组,而该绕组产生的磁场强度BO2即为附加磁场强度,其值为:

因此,整个绕组产生的磁场强度为:

在外电压作用下,密绕螺线管的自感系数为:

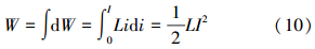
根据能量守恒定律来计算电磁推力。直线驱动器在通电情况下,电能一部分转换成热能消耗掉,一部分转换成磁场能。而转化的磁场能在中心杆运动过程中,转变为机械能和剩余磁场能。
在电感为L、电阻为R的线圈绕组两端加上电压,在线圈中电流由0增加到稳定值I的过程中,线圈的自感电动势为:

在时间dt内,由电源输入线圈的电能为uidt,消耗于电阻上的电能为i2Rdt,这部分能量转化为热能。因此在dt内输入磁场的净电能为:

在建立电流的整个过程中,电源的电动势反抗自感电动势所做的功为:

同时,
也为储存在磁场中的磁场能。
由能量转换原理得:


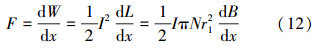
由图 8和图 10可以看出,当中心杆位置一定时,中心杆处磁感应强度随轴向位置变化近似呈线性变化。不同时间t,不同电流大小对这种线性变化的斜率影响小,可忽略。中心杆运动位移在0~3 mm之间,相对于线圈和中心杆长度很小,因此忽略中心杆位置变化对这种线性变化的影响。当中心杆运动到其顶端完全与磁轭接触的位置时,中心杆磁感应强度就不再随其向上运动而变化,此处为一个极端位置。另一个极端位置为中心杆初始位置。dB/dx可根据图 8和图 10计算出。
因此,由式(12)可得:

可将K看作中心杆处磁场刚度系数,其值由直线驱动器结构参数和通电线圈电流确定。
3.3 直线驱动器输出位移井下振动装置动力学模型如图 11所示。
|
| 图 11 井下振动装置动力学模型 Fig.11 The dynamic model of downhole vibration device |
中心杆和输出顶杆初始位置为X=0,其沿X轴线位移为x(t),最右边是与驱动器连接的声辐射器,其等效质量为Mm,等效刚度为Km,等效阻尼为Cm,中心杆质量为M,碟簧弹性系数为Ks,忽略中心杆在运动过程中受到的阻力,则有:

,K为磁场刚度系数。
当直线驱动器的输出稳定后,位移为:

。
当阻尼系数C很小时,相位角ψ≈0。
4 直线驱动器性能试验研究为检测直线驱动器的工作性能及验证上述相关理论,建立了基于LabView的直线驱动器性能检测系统。LabView数据采集系统一般由数据采集硬件、硬件驱动程序和数据采集函数几个部分组成。其测试系统组成框图如图 12所示。
|
| 图 12 测试系统组成框图 Fig.12 The block diagram of the test system |
当电流频率为50 Hz时,在不同电流幅值I下,试验测得的直线驱动器中心杆受到的轴向力幅值F如表 1所示。
| 电流幅值/A | 1.0 | 1.5 | 2.0 | 3.0 | 4.0 |
| 驱动力幅值/N | 48.3 | 72.7 | 96.5 | 145.9 | 193.2 |
由试验得出的值与式(13)计算得出的中心杆轴向力幅值误差不大。
5 结 论(1)通过仿真分析可知,通电线圈结构尺寸r1/l对中心杆轴向磁感应强度均匀性影响很大。当r1/l较小时,中心杆处轴向上的磁感应强度均匀性好,此时中心杆处轴向磁感应强度在中心杆端点附近有显著变化,而在中心杆内部大范围内趋于均匀。
(2)直线驱动器在满足功能要求的同时会有漏磁现象发生。基于仿真结果,在漏磁严重的地方设计非导磁材料结构,以减少漏磁。由于端部效应、空气气隙及端部没有导磁材料,使端部磁感应强度下降严重,造成轴向磁感应强度均匀性降低。因此,在端部增加一个线圈,线圈产生的磁场对端部进行补偿,进而维持轴向磁感应强度均匀性。
(3)根据能量守恒定律和动力学方程,推导出中心杆的电磁驱动力和输出位移。当驱动电流正弦变化时,电磁驱动力和直线驱动器的输出也是正弦变化,且其频率相同。
| [1] | 雷光伦.国内外振动采油技术发展简介[J].钻采工艺,2002,25(6):46-48. |
| [2] | Huh C.Improved oil recovery by seismic vibration:A preliminary assessment of mechanisms[R].SPE 103870,2006. |
| [3] | 王仲茂.振动采油技术[M].北京:石油工业出版社,2000:29-96. |
| [4] | 邢立升.机械解堵采油器:中国,200610169159.1[P].2007-09-12. |
| [5] | 路斌,关继腾,张建国,等.高声强流体动力式声源的研究现状与展望[J].石油机械,2002,30(4):45-48. |
| [6] | 应崇福.超声学[M].北京:科学出版社,1990:495-506. |
| [7] | 赵凯华,陈熙谋.电磁学[M].北京:高等教育出版社,2006:98-286. |
| [8] | 李庆雷,王先逵,吴丹,等.永磁同步直线电机推力波动分析及改善措施[J].清华大学学报:自然科学版,2000,40(5):33-36. |
| [9] | 徐月同,傅建中,陈子辰.永磁直线同步电机推力波动优化及实验研究[J].中国电机工程学报,2005,25(12):122-126. |
| [10] | 李恩光.步进电机的电磁驱动力矩分析[J].电器传动,2002(2):11-13. |
| [11] | 徐爱群,项占琴,陈子辰.采油用井下声辐射器[J].机械工程学报,2008,44(5):220-225. |
| [12] | 赵博,张洪亮.Ansoft12在工程电磁场中的应用[M].北京:中国水利水电出版社,2010:4-189. |


