2. 四川中科达石油天然气新技术有限公司
2. Sichuan Zhongkeda Oil and Gas New Technology Co., Ltd
0 引 言
冲刷腐蚀是金属表面与腐蚀流体之间由于高速相对运动而引起的金属损坏现象,是材料受冲刷和腐蚀协同作用的结果[1]。对于静态流体,钢材在腐蚀介质的作用下会产生氧化物,形成氧化膜,它会减少流体对管材的腐蚀。当流体具有一定的速度,流体不仅会起到传质作用,还会对管壁产生剪切应力,加速化学腐蚀,产生的剪切应力会剥离氧化膜,加快腐蚀速率,导致管壁减薄,引起管道穿孔或者因厚度减小材料达到极限强度而破坏。在实际生产中,为了改变流体流动方向,往往大量地使用弯管。一方面,弯管的连接会使管道易于变形;另一方面,弯管段流体的速度和压力都会发生急剧变化,导致弯头处发生腐蚀的概率大于直管段[2]。
流动加速腐蚀可分为2个过程[3]:①在氧化膜(水界面)产生可溶性的亚铁离子;②亚铁离子通过扩散作用向流体中迁移,该过程受扩散梯度影响。气泡冲刷腐蚀[4]简称空蚀或气蚀,是磨损腐蚀的一种特殊形态。高速液体中含有气泡会使磨损腐蚀变得严重。气泡破裂时产生的冲击波压力可达40 MPa,使金属保护膜破坏,并引起塑性变形,甚至撕裂金属粒子。
国内外学者对弯头冲蚀进行了大量研究,陶春达等[5]针对弯管的力学特性,采用有限元法对其分析计算,找出输油管弯头的危险部位;茅俊杰[4]对弯管和异径管进行模拟分析,找出冲刷腐蚀速率变化规律;胡跃华[6]利用DPM模型计算出弯头处腐蚀最严重并给出冲蚀速率的数值大小;梁颖等[7]采用Fluent软件,模拟分析了液固两相流中固体颗粒对样本表面的水平冲刷速度和冲刷角度的分布规律;C.H.Lin等[8]的研究结果表明由于二次流和分离区域,流体的速度、静态压力和管壁剪切应力都会影响腐蚀分布。笔者基于多相流动力学,在Workbench平台下,利用ANSYS Flunt商用软件对弯头进行了数值模拟,分析了流体在弯管段的流动和冲蚀损伤规律,定量验证了弯管段腐蚀的严重程度。针对不同的流速,建立了速度与压力、冲蚀速率的定量关系,所得结果为冲刷腐蚀条件下的管道设计和安全运营提供了理论基础。
1 数学描述 1.1 流体控制方程液体为连续相,则液体的连续性方程为[9]:

气-液两相的动量方程之和表示为:

为体积力,N;μm为气液两相混合动力黏度,Pa·s;ρb为气体密度,kg/m3;
dr,b 为气相相对于流体相的飘移速度,
dr,b =
b-
1,m/s。
1.2 气泡颗粒运动方程
考虑气泡受浮力和重力的作用,运用牛顿第二定律可得柱坐标下气相的运动方程[10]。
轴向运动方程:

径向运动方程:

切向运动方程:

其中,松弛时间τ的计算式为为:

式(3)~式(6)中,ub、vb、wb分别是气泡的轴向、径向和切向瞬时速度分量,m/s;ul、vl、wl分别是流体的轴向、径向和切向瞬时速度分量,m/s;rb为气泡半径,m;μb为气体动力黏度,Pa·s;CD是气体曳力系数。
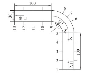
2 数值模拟 2.1 物理模型模型采用90°弯管,内径为30 mm,壁厚为5 mm,曲率半径为45 mm,管道材料为20#钢,选取水为流动流体。图 1位计算模型XOZ平面图。
|
| 图 1 计算模型XOZ平面图 Fig.1 The XOZ plan of calculation model |
采用Fluent中三维六面体网格进行划分,整个模型从入口到出口采用扫略方法划分,直管段的网格尺寸为1.5 mm,弯管段网格尺寸为1.0 mm,流场尺寸为1.5 mm。划分的节点数为183 709,网格单元为164 688。图 2为模型的网格划分图。
|
| 图 2 模型网格划分 Fig.2 Mesh of the model |
液相计算模型选择Realizable κ-ε模型,气泡(离散相)采用拉格朗日轨道模型,压力-速度耦合采用Simple方法,扩散相采用二阶迎风差分方法。
以v=3 m/s为例,采用速度入口,水的流速为3 m/s,由于采用黏性流体,气泡的速度低于流体速度。实际运行情况表明[4]:气泡流速为流体流速的0.7倍,则离散相流速为2.1 m/s,方向沿管道轴线。为保证流动完全发展,出口边界条件为outflow,出口方向上所有流动变量的扩散流量设置为0。
3 计算结果及分析图 3a是流体流动对管壁的压力分布云图;图 3b是压力等值图;图 3c是流体速度分布矢量图;图 3d是流体对管道内壁作用的剪切应力云图。
|
| 图 3 数值模拟结果 Fig.3 The numerical simulation results |
从图 3可以看出,流体对管道的压力和剪切应力以及自身速度均在弯管段取得最大值,并且在此部位变化最为剧烈,从而也验证了前人的结论,弯管相对于直管更容易发生破坏。结合图 3a和图 3c可知,在弯管段压力大的外侧,相对应的速度却很小,而内侧的压力最小,流体的速度最大。因为当流体流入弯头时,流向会发生改变,沿断面方向产生较大的离心力,在离心力作用下,对弯管外侧管壁产生挤压应力,而对弯管内侧管壁形成牵引作用[11],使弯管外侧流体动能很大程度上转化为对管壁的压力,即流体对弯管外侧管壁产量很大的压力,相应地自身的流速减小。离心力对弯管内侧壁的牵引作用会使流体对管壁的压力减小,使弯管内侧的比压能转化为流体动能,增大了流体的速度。图 3c和图 3d很好地验证了流体速度与剪切应力的关系,剪切应力与流体速度梯度成正比,内侧速度大,相对应对管壁剪切作用力也大,反之,也成立。
从图 3可知,弯管外侧流体对管壁的压力最大,形成的冲击作用最强,容易破坏管壁金属氧化膜,使管道的金属材料进一步暴露出来,加快腐蚀介质对管道的腐蚀,形成冲刷腐蚀。弯管段内侧压力会减小,当压力减小到液体饱和蒸汽压时,会产生大量的水蒸气和气泡,它们会和离散相一同与流体以相同的速度流动。弯管段流体的流向发生急剧变化而形成湍流,气泡与管壁碰撞溃灭概率增大,气泡溃灭产生冲击波和微射流会使管材产生变形,形成微孔,长时间连续的作用会导致管壁破坏[11]。
弯管段45°截面速度云图如图 4a所示,最大速度出现在管道的左侧,即弯管内侧管壁附近的流体,这和图 3中流体速度分布显示的结果一致。图 4b中可以看到二次流现象,它是弯管流动的显著特点,二次流产生的原因是:在弯管处流体沿管道轴向运动的同时受到离心力作用,
|
| 图 4 45°截面速度 Fig.4 The velocity of 45°cross section |
在离心力的作用下流体会向管道外侧流动,由于内侧流体轴向速度较大,受到的离心力作用强,以较大的二次流速度向外侧流动。流体主流速度和二次流速度叠加,会使弯管段的流场更加复杂,加速冲刷腐蚀作用。
图 5a为管道冲蚀速率分布云图。由图可知,在直管部分,腐蚀不是很明显,而在弯管段外侧,冲刷腐蚀最为严重,其最大值为3.87×10-9 kg/(m2·s)。此处流体速度波动显著,增加了流场的复杂性,同时加大了气液两相与管道碰撞的可能性以及气相溃灭的概率,加快冲刷腐蚀。由图 5b可知,当X处于-0.015~0.045 m之间时,这一部分相对应于弯管0°~90°区域,与图 5a结果相符。图 5c是图 5b局部放大的结果,可以得知,在X属于0.02~0.04 m之间取得最大值,即弯管60°~90°转角这一区域。
|
| 图 5 管壁冲蚀速率 Fig.5 The erosion rate of pipe wall |
在其他条件不变的情况下,仅将入口速度设置为10 m/s进行模拟分析。图 6为各个截面冲蚀速率的最大值。转角区域及附近的直管段腐蚀较为严重,在截面9(90°转角处)附近取得最大值。结合图 6和图 7可知,冲蚀速率和离散相质量浓度存在一定的联系,入口处冲蚀现象不明显,对应的离散相质量浓度较大,此时流体比较稳定,气泡主要集中在流体中部(见图 8),很难与管壁发生碰撞,进入转角部位后,流场变得复杂,气泡随着流体运动,与管壁碰撞溃灭的概率增大,气泡爆破处会推动一束流体冲向管壁表面,形成高速的射流,这种射流直径一般在微米至毫米之间,因此称为微射流[4]。这种射流冲击材料表面,会引起管壁表面保护膜的破坏和管道的塑性变形,当这种作用超过材料的承载极限,就会引起材料破坏,在表面形成微孔,加速管壁的腐蚀。
|
| 图 6 不同截面最大冲蚀速率 Fig.6 The maximum value of erosion rate of different cross section |
|
| 图 7 不同截面离散相平均质量浓度 Fig.7 The discrete phase average mass concentration of different cross section |
|
| 图 8 入口截面离散相质量浓度云图 Fig.8 The discrete phase mass fraction contours of the inlet section |
在其他条件不变的情况下,设置不同的流体入口速度,设流体速度为2~12 m/s。图 9和图 10分别是流体速度与管壁最大压力变化曲线、管道冲蚀速率最大值与速度变化曲线。
|
| 图 9 不同速度下管壁压力最大值变化曲线 Fig.9 The maximum values of wall pressures under different velocities |
|
| 图 10 不同速度下管道冲蚀速率最大值变化曲线 Fig.10 The maximum values of pipeline erosion rates under different velocities |
图 9表明流体对管壁产生的压力随流体速度增大而增大;图 10说明管道冲蚀速率与流体的速度相关,并且流体速度增大相应的管道腐蚀会更严重。当速度为3 m/s时,冲蚀速率最大值为3.87×10-9 kg/(m2·s);而速度为10 m/s时,冲蚀速率最大值为1.08×10-7 kg/(m2·s)。因为流速增大,会使更多的动能转变为对管壁的比压能,形成更加剧烈的冲击,加速对管壁的冲击腐蚀。流体中腐蚀介质对材料产生电化学腐蚀,流体流动会加速氧化物传质过程,从而加快化学腐蚀;同时,流体速度梯度变化会对管壁产生剪切应力,当剪切应力增大到一定数值时,它会剥离管材保护膜,加深材料的腐蚀程度,使管壁减薄形成穿孔或发生破坏。因此,实际生产中要控制流体速度,减轻流动加速腐蚀的影响。
4 结 论(1)通过对弯管流体数值模拟分析,流体在经过弯管段时,对管壁外侧压力先增大后减小,并在该侧取得最大值,管壁内侧压力先减小后增大,压力最小值出现在管壁内侧;剪切应力和流体流速分布规律一致,且和管壁压力分布规律相反。
(2)弯管处流体流速和管壁压力变化剧烈,且均在该处取得峰值;管壁冲刷腐蚀在该区域最为严重。弯头使流体流场更加复杂,增大了气泡溃灭的概率和弯管腐蚀速率。
(3)随着流体速度增大,管壁压力会增大,管壁冲刷腐蚀速率也随着流体速度的增大而增大,因此,实际生产中应选择合理的流速,减小流体对管壁的冲刷腐蚀,延长管道的使用寿命。
(4)通过对管壁冲刷腐蚀进行定量分析,能够近似预测管道腐蚀情况,对管道的安全运行有指导意义。同时应加强对弯管外侧管道的无损检测,主要包括壁厚和表面探伤检测,实时掌握管道腐蚀情况,减少管道因冲刷腐蚀破坏带来的经济损失。
| [1] | 张昆.油气管道冲刷腐蚀与防护对策研究[D].大庆:东北石油大学,2013. |
| [2] | 刘勇峰,吴明,赵玲,等.凝析气田集输管道弯管冲刷腐蚀数值计算[J].腐蚀与防护,2012,33(2):132-135. |
| [3] | 董超芳,肖葵,刘智勇,等.核电环境下流体加速腐蚀行为及其研究进展[J].科技导报,2010,28(10):96-100. |
| [4] | 茅俊杰.气液两相流管道冲刷腐蚀的研究[D].济南:山东大学,2012. |
| [5] | 陶春达,孟坤六.输油管弯头腐蚀缺陷应力分析[J].管道技术与设备,2007(4):25-26. |
| [6] | 胡跃华.典型管件冲刷腐蚀的数值模拟[D].杭州:浙江大学,2012. |
| [7] | 梁颖,袁宗明,陈学敏,等.基于CFD的液固两相流冲刷腐蚀预测研究[J].石油化工应用,2014,33(2):103-106. |
| [8] | Lin C H,Ferng Y M.Predictions of hydrodynamic characteristics and corrosion rates using CFD in the piping systems of pressurized-water reactor power plant[J].Annals of Nuclear Energy,2014,65:214-222. |
| [9] | 杨新振.燃煤电厂烟气脱硫塔内搅拌场研究[D].济南:山东大学,2010. |
| [10] | 张丽丽.冲击式气流喷雾雾化机理及干燥过程数值模拟的研究[D].济南:山东大学,2008. |
| [11] | 梁光川,聂畅,刘奇,等.基于fluent的输油管道弯头冲蚀分析[J].腐蚀与防护,2012,34(9):822-824. |


