2. 江汉机械研究所
2. Jianghan Machinery Research Institute
0 引 言
粒子冲击钻井技术(简称PID)是为开发深部极硬及研磨性地层中的油气资源而研发的一项钻井新技术。粒子冲击钻井是指在常规钻头旋转钻进机械破岩的同时,在钻井液中加入体积分数为1%~3%、粒径1~3 mm的钢质粒子,并通过钻头喷嘴以高频射流的形式冲击破碎岩石,起到辅助破岩作用,进而大幅度提高机械钻速,加快油气井投产。
目前,国外仅有美国PDTI公司[1, 2, 3]在犹他州和得克萨斯东部等北美最坚硬耐磨地层进行了现场试验,试验结果表明,在相同条件下粒子冲击钻井技术可使钻井速度提高3~4倍。国内在粒子冲击钻井技术方面处于理论研究和先期试制阶段。徐依吉等[4, 5, 6, 7]通过研究粒子冲击钻井在我国的实际应用前景,研发了国内首套粒子冲击钻井系统,并于2013年8月在四川龙岗022-H7井进行了现场功能性验证。粒子冲击钻井技术在提高深井硬地层钻速方面具有巨大潜力,在我国四川等西部油气资源丰富却埋藏较深以及岩石坚硬耐磨的地区具有广阔的应用前景。
粒子钻头作为粒子冲击钻井系统的重要组成之一,其研制的关键问题在于:①粒子通过钻头内流道时不应堵水眼,在喷射后应及时离开井底,不发生滞留井底和沉砂卡钻等事故;②粒子钻头喷嘴及内流道应能有效加速粒子,使其达到破碎井底岩石所需的能量;③应尽量避免粒子对钻头喷嘴及内流道的磨损,因为磨损严重会缩短钻头寿命,使经济效益降低。因此,粒子钻头喷嘴及内流道水力参数设计、冲蚀规律及防冲蚀和耐磨损研究,对粒子冲击钻井技术的应用成败至关重要。笔者通过理论分析、数值模拟及试验研究相结合的方法,设计了粒子钻井专用射流喷嘴及流道结构,并研究了粒子钻头内流道的冲蚀特性,提出了粒子钻头内流道防冲蚀和耐磨措施。
1 粒子射流喷嘴及流道设计 1.1 喷嘴水力参数设计考虑到粒子在进入钻头之前就已随钻井液在钻杆内混合运动了几千米,所以粒子速度与钻井液流速接近,假设粒子在进入钻头后速度与钻井液相同。笔者以四川地区须家河组坚硬、
耐磨地层钻井参数为设计基础,具体为:井眼直径215.9 mm,井深1 700~2 500 m,排量25~30 L/s,泵压20~25 MPa,钻井液密度1.27~1.67 g/cm3,黏度40 mPa·s,循环压降7~13 MPa。
研究结果显示,粒子钻井中粒子喷射速度达到100~125 m/s才可以有效破碎井底岩石,而粒子喷出后最大速度为钻井液喷速的80%~90%,所以要求钻井液从喷嘴喷出的速度在110~140 m/s之间。具体计算公式为[8]:

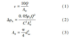
式中,Δpb为钻头压降,MPa;v为钻井液喷射速度,m/s;ρd为钻井液密度,g/cm3;C为喷嘴流量系数,取0.95;Q为排量,L/s;A0喷嘴出口截面积,cm2;dne喷嘴当量直径,cm。
由公式计算可得钻头压降范围在9.4~15.2 MPa之间,喷嘴当量直径dne=17 mm。
一般情况下,对于硬度不高的地层可采用3个直径成级差的喷嘴组合方式,而对硬度高的地层,建议采用双喷嘴组合。2个喷嘴不等径(直径比为1∶0.60~0.65)的清洗效果要优于等径的清洗效果,但不适合喷嘴砂堵严重的情况。由于粒子的粒径为1 mm,如果采用直径差较大的不等径喷嘴,会使较小的喷嘴被堵塞的风险增大。同时,须家河组地层属于中、硬地层,因此设计采用等径的双喷嘴组合,即d1=d2=12 mm。
1.2 喷嘴流道设计根据喷嘴耐磨及粒子充分加速要求,设计采用锥直型喷嘴,主要由圆锥段和圆柱段组成。需要确定的参数有圆锥收敛段的入口半径、收敛角度和长度、圆柱直线段直径和长度。
内流道某处的速度可以用它所在面的平均速度近似表示,圆锥段速度可表示为[9]:

式中,u为圆锥段某处的射流速度,m/s;u0为钻井液在圆锥段的入口速度,m/s;
x为圆锥段某处距入口的距离,m;R为圆锥段入口半径,m;θ为圆锥段的收缩半角。
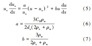
在稀疏的固-液两相流中,喷嘴收缩段内粒子的运动方程为[9]:

式中,us为粒子的速度,m/s;ds为粒子的直径,m;ρs和ρw分别为粒子和钻井液的密度,g/cm3;CD为摩擦阻力系数;a、b为系数。
将喷嘴收缩段入口处的流量Q=πR2u0及式(4)代入式(5)可得[9]:

圆柱段的流量可由下式计算[9]:

式中,φ为流量系数,取0.95;u2为圆柱段出口射流速度,取为130 m/s;L为圆柱段长度,m。
由公式(9)计算可得Q=15 L/s,且a=0.049,b=0.22。考虑到圆锥收缩段的能量耗损以及喷嘴安装因素,设计喷嘴入口直径为25 mm,收缩角半角10°,由R=Ltanθ+d/2可得收敛段长度为37 mm。
近似认为喷嘴圆柱段内的流体均匀流动,粒子的运动方程可以简化为[9]:

对式(10)积分可得粒子加速运动的距离为[9]:

其中,
。
根据粒子钻井要求,粒子速度达到钻井液的80%就能达到破岩要求,即us=0.8u2。将所有参数代入式(11),可得喷嘴圆柱段长度L=60 mm。
最终得到的喷嘴结构及内流道如图 1所示。
|
| 图 1 喷嘴结构示意图 Fig.1 Structural diagram of nozzle |
通过数值模拟喷嘴淹没自由射流情况,得出粒子加速状态和粒子与钻井液速度分布,结果如图 2、图 3和图 4所示。
|
| 图 2 钻井液速度分布云图 Fig.2 Drilling fluid velocity distribution |
|
| 图 3 粒子速度分布云图 Fig.3 Particle velocity distribution |
|
| 图 4 粒子与钻井液速度对比图 Fig.4 Particle velocity versus drilling fluid velocity |
由图 2可知,钻井液在喷嘴锥形段和圆柱段前端速度迅速提高,进入圆柱段一段距离后,速度达到最大值120 m/s,从喷嘴喷出后,等速核内速度继续保持,等速核距离喷嘴出口60 mm左右。
由图 3可知,粒子在进入喷嘴后一直加速,喷出喷嘴后速度约为100 m/s,大约为喷出钻井液速度的82%,与计算结果相符。随后粒子继续加速,在距离喷嘴出口76 mm处,速度达到最大值112 m/s,达到钻井液速度的92%左右,粒子等速核距离喷嘴出口80 mm左右。
由图 4可知,粒子射流在进入喷嘴后直至圆柱段前10 mm左右加速效果明显,随后粒子射流速度增长趋于稳定。在距喷嘴入口170 mm处,钻井液速度开始明显下降;在距喷嘴入口180 mm处,粒子速度出现明显减小。粒子与钻井液的加速过程不同步,等速核长度也不相同。
2 粒子钻头内流道冲蚀数值模拟通过数值模拟粒子钻头内流道流场压力和速度分布规律,研究了粒子钻头内流道冲蚀磨损情况,并提出了防冲蚀和耐磨措施。模拟结果如图 5和图 6所示。
|
| 图 5 钻井液压力分布 Fig.5 Drilling fluid pressure distribution |
|
| 图 6 钻井液速度分布 Fig.6 Drilling fluid velocity distribution |
图 5显示,整个钻头内腔室中共有5个低压区,位置对称,2号、3号低压区在喷嘴座入口处靠近钻头中心处的一边。4号、5号低压区在内腔室上方外侧,1号低压区面积最大,在内腔室的正底部。
图 6为钻井液速度矢量图。由图可以发现,低压区1是由钻井液对腔室底部正面冲击后向两侧分流造成的,速度方向突变,但是并未形成漩涡。而且粒子冲击腔室底部时,速度比进入钻头时小,这对延长钻头内腔室的寿命有利。
低压区2、3、4、5处都存在着漩涡区,且2、3处附近漩涡的强度比4、5处附近的高。 这几处漩涡产生的原因都是钻头内腔室过流断面面积发生突变。漩涡的出现使局部区域能量耗费大,钻头压降也会随之降低,不利于粒子破岩效率的提高,而且漩涡也是空蚀的重要原因之一。
因此,粒子冲击钻井中钻头内流道磨损的方式主要有2方面:一是空蚀磨损,在喷嘴座处严重;二是冲蚀磨损,主要位置在内腔室正底部。根据空蚀产生的原因,可以在内流道结构上进行改善,将喷嘴座入口处的棱角做得更平缓,相当于节流孔;若将倒角直径变得更大,则阻力系数更小,可以减小钻井液的阻力,降低磨损。同时,为提高钻头内流道耐磨性,还可以进行内流道表面强化处理,例如电镀金刚石和化学镀镍等。
3 粒子钻头内流道冲蚀试验研究通过对粒子钻头内腔室的冲蚀磨损试验,测试粒子和钻井液对化学镀镍后内腔室的冲蚀磨损情况。试验设备主要包括砂泵、磁选机、脱磁机、振动筛和粒子钻头等。
3.1 试验步骤(1)选择粒径为1 mm的钢粒,使其在钻井液中的体积分数为2%,通过下料漏斗注入与钻井液混合,并通过砂泵输送至管线和粒子钻头。
(2)粒子返出后经过磁选机与钻井液分离,并通过脱磁器脱磁后返回到下料漏斗,继续循环使用。
(3)调节下料漏斗的蝶阀,控制粒子注入量,其体积分数达到2%时保持蝶阀位置不变,实现装置的自动循环运转。
(4)试验装置运行100 h,记录数据,试验结束后清洗、干燥和称重,观测钻头内流道冲蚀磨损情况。
3.2 试验结果分析试验共进行100 h,由于前50 h磨损较轻微,所以加大泵压、排量、钻井液黏度和密度,继续试验50 h。试验结果如表 1所示。
| 试验时间/h | 泵压/MPa | 排量/(L·s-1) | 钻井液黏度/(mPa·s) | 钻井液密度/(g·cm-3) | 冲蚀磨损量/kg | 冲蚀磨损率/% |
| 0~50 | 0.35 | 30 | 55 | 1.27 | 0.12 | 0.19 |
| 50~100 | 0.65 | 40 | 62 | 1.32 | 0.37 | 0.60 |
由表 1可以看出,在100 h的冲蚀试验过程中,钻头内流道最大冲蚀磨损率不到1%,冲蚀磨损较轻,说明钻头内流道结构合理,且表面强化镀镍处理效果较好,满足钻井现场要求。
图 7为试验钻头内流道及喷嘴冲蚀照片。由图可以发现,钻头内腔室内的化学镀镍镀层基本被冲蚀掉,但还有一定残余。整个内腔室完好无损,比较光滑,没有出现明显的坑、洞等。冲蚀磨损主要发生在喷嘴座入口处,有轻微的凹凸不平,而粒子冲击喷嘴则无明显冲蚀磨损。
|
| 图 7 试验钻头内流道及喷嘴冲蚀照片 Fig.7 Photo of the flow channel and nozzle erosion |
综合试验结果可知,钻头内流道及喷嘴结构设计合理,冲蚀速率较低,可以保证粒子冲击钻井应用于作业现场。
4 结 论(1)粒子钻头采用等径12 mm锥直型双喷嘴组合,内流道收敛段和加速直线段长度分别为37和60 mm,喷嘴入口直径25 mm,收缩角半角10°。
(2)粒子射流在进入粒子钻头喷嘴后加速效果明显,粒子喷出最大速度为112 m/s,达到钻井液速度的92%,粒子射流等速核长度在60~80 mm,可以有效加速粒子和冲击井底岩石。
(3)数值模拟结果表明,粒子钻头内流道由于过流断面突变存在多个低压漩涡区,可能导致内流道空蚀磨损,而冲蚀磨损主要在内流道正底部,可通过倒角直径变大和内流道镀镍表面强化处理措施解决。
(4)冲蚀试验结果表明,钻头内流道最大冲蚀磨损率不到1%,冲蚀磨损较轻;内流道及喷嘴结构设计合理,且表面强化镀镍处理效果较好,可保证粒子冲击钻井应用于钻井现场。
| [1] | Tibbitts G A,Murrray.Impact excavation system and method with suspension flow control:US,20060016624 A1[P].2006. |
| [2] | Tibbitt G A.Impact excavation system and method with suspension flow control:US,2008/0017417A1[P].2008. |
| [3] | Hardisty T.Big oil is turning into hard rock to get to petroleum resources[J].Houston Business Journal,2007,37(44):16-22. |
| [4] | 徐依吉,靳纪军,廖坤龙,等.粒子冲击钻井中粒子回收技术研究[J].石油机械,2013,41(1):14-16,35. |
| [5] | 徐依吉,赵红香,孙伟良,等.钢粒冲击岩石破岩效果数值分析[J].中国石油大学学报:自然科学版,2009,33(5):68-69. |
| [6] | 邢雪阳,徐义.粒子冲击钻井注入系统设计及数值模拟研究[J].石油机械,2013,41(11):21-26. |
| [7] | 周毅,邢雪阳,王瑞英,等.旋转储罐式粒子冲击钻井回收系统设计与试验[J].石油机械,2014,42(9):31-35. |
| [8] | 沈忠厚.水射流理论与技术[M].东营:石油大学出版社,2000. |
| [9] | 杨勇.适用于须家河地层的粒子冲击钻头研究[D].青岛:中国石油大学(华东),2013. |


