0 引 言
随着世界范围内石油资源需求的日益增加,深井和超深井的钻探施工也日益增多。实践证明,旋转冲击钻井技术是在现有钻井工艺条件下提高深井和超深井机械钻速的有效途径之一[1, 2]。其工作原理是在钻头上部安装一个冲击工具,冲击工具的冲锤间歇性撞击砧体产生冲击载荷,冲击载荷提高了钻头吃入的深度,并形成大体积的岩屑破碎和剪切,能够大幅度提高破岩效率,提高钻井速度[2]。
目前,国内已有的旋冲工具包括阀式液动冲击器[3]、射流式液动冲击器[4, 5, 6]、射吸式冲击器[7]、自激振荡式旋冲工具[8]和电动旋转冲击工具[9]等几类。这些旋转冲击钻井工具虽然能提高机械钻速,但在使用过程中也存在一些不足,主要表现在4个方面:①旋冲工具井下寿命较短,和单只钻头的有效工作时间不匹配,增加了额外的起下钻成本;②旋冲工具单次冲击功较小,冲击功只有100~500 J,不足以形成有效的岩石体积破碎;③旋冲工具冲击频率和冲击载荷不稳定,且不易调整,不适应现场复杂工况;④对钻井液要求无固相或固相含量低,导致施工操作难度大[10, 11]。
研究发现,特殊设计的螺杆钻具可以提供特定的扭矩和转速,并且传动高效,性能稳定;凸轮机构可以迅速改变运动特性,并产生冲击动载。笔者将二者结合,设计出弹簧蓄能激发式旋转冲击钻井装置,并建立数学模型进行分析和优化,同时设计了装置的性能测试试验装置,对装置的冲击参数进行了测试试验。
1 技术分析 1.1 结构弹簧蓄能激发式旋转冲击钻井装置结构主要分为3部分:上部为高转速短螺杆,包括上接头、防掉和螺杆定转子;中间部分为传动和扶正部件,包括万向轴、传动轴和轴承串;下部为冲击振套,包括主轴、冲锤、砧体和下接头。冲锤套在主轴外六方部位,冲锤上端压紧弹簧,冲锤下部为高低起伏的齿形凸起结构,齿形凸起圆周均匀分布。砧体上部也为齿形结构,与冲锤齿形相配合,砧体中部为六方外形,套在传扭壳内。图 1为弹簧蓄能激发式旋转冲击钻井装置结构示意图。
|
| 图 1 弹簧蓄能激发式旋转冲击钻井装置结构示意图 Fig.1 Structural diagram of the percussive-rotary drilling tool with spring accumulating collision 1—上接头;2—防掉;3—短螺杆;4—万向轴外筒;5—万向轴;6—水帽;7—密封件;8—轴承串;9—传动轴;10—弹簧;11—主轴;12—冲锤;13—砧体;14—传扭壳;15—下接头。 |
钻井施工时,该装置作为钻铤的一部分接在近钻头处,常规钻井的钻压和扭矩通过装置上接头、外壳体、砧体和下接头传递到钻头。钻井液驱动井下短马达高速旋转,带动传动轴和主轴旋转,主轴的外六方构造带动冲锤旋转。冲锤在旋转时,下部的齿形凸起不断与砧体的齿形啮合、相对交错,交错时冲锤沿齿形斜面爬升,迫使弹簧压缩并蓄能;啮合时冲锤突然下降,弹簧加速冲锤下落,冲锤撞击砧体的一瞬间产生冲击载荷。撞击完成之后,冲锤在传动轴带动下继续旋转运动,冲锤与砧体齿形凸起不断交错、啮合,产生周期性冲击载荷。冲击载荷传递到钻头与静钻压叠加,增大了钻头吃入的深度和岩石破碎的体积,提高了机械钻速。
1.3 关键技术特征装置对冲锤与砧体的齿形凸起线型和齿的个数无具体要求,只要二者可以交错、啮合即可。装置的冲击频率为螺杆转速与冲锤齿数的乘积,螺杆转速受螺杆结构和钻井液流量的影响。考虑钻头在2次冲击间的转角最优值为8°~12°,在实际应用中通常选择装置的冲击频率在30 Hz左右[1, 2]。因此,装置短螺杆采用 ⅔ 头结构,额定转速365 r/min,冲锤与砧体设计6个齿形凸起。
1.4 主要技术参数装置直径180 mm,螺杆转速273~428 r/min,冲击频率27~43 Hz,弹簧预压力2.4 kN,冲锤质量7.8 kg,冲锤齿高度20 mm,排量24~36 L/s,压耗1.1~1.3 MPa。
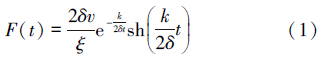
2 装置冲击载荷的理论确定根据岩石破碎学的冲击凿岩理论[12]可以得出装置的冲击载荷随时间变化规律。冲击发生装置冲击力的计算公式为[13]:

。
式中,δ为冲击振套的波阻,
;v为冲锤冲击砧体时的撞击速度,m/s;ξ为反映动载响应的综合指标系数;k为冲锤冲击铁砧的变形系数,kg/s2;Ad为冲击齿面接触面积,m2;ρ为砧体的密度,kg/m3;E为砧体的弹性模量,Pa;M为冲锤的质量,kg;Fd为弹簧的预紧力,N;s为冲锤的齿形高度,m。
该公式考虑了冲锤冲击砧体时的不完全接触现象及临近冲击时润滑油膜的弹性作用。由式(1)可知,冲击动载F(t)的大小与冲锤的冲击初速度v及波阻δ成正比,也与冲锤齿形凸起线型密切相关。冲击接触面增大,冲击载荷可能增大也可能减小。通过式(1)可以分析影响旋冲装置冲击动载的因素,进而为装置的结构设计和优化改进提供理论依据。提高装置冲击动载F(t)的有效方法包括:增大弹簧弹预紧力Fd、增大冲锤齿形高度s和优化齿形凸起线型等。
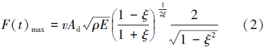
装置冲击力峰值计算公式为:

冲锤齿形凸起线型采用修正等速曲线,设定弹簧弹预紧力Fd=2.4 kN,冲锤齿形高度s=0.02 m,计算得到冲击力峰值为34.7 kN。
3 技术特点(1)装置的冲击频率为螺杆转速与冲锤齿数的乘积。冲击频率可调性强,方法包括更换不同齿形的冲锤砧体和改变钻井液循环流量;冲击频率稳定性强,这是由螺杆钻具的硬特性决定的。
(2)采用纯机械碰撞的方式产生和传递冲击载荷,冲击载荷峰值高;冲击载荷大小通过弹簧预紧力调节,简单高效。
(3)装置内部零部件结构简单,短螺杆扭矩小,井下工作寿命长,避免了不必要的起钻和下钻操作。
(4)装置对钻井液中的化学成分和固相含量没有过多要求,满足螺杆钻具使用标准即可。
(5)装置对常规钻井所用的钻压和扭矩没有特殊要求;短螺杆扭矩小、压耗低,不影响MWD的正常使用,具有良好的现场适用性。
4 冲击性能测试试验为了测试弹簧蓄能激发式旋转冲击钻井装置的冲击性能,并验证冲击载荷计算公式的准确性,2014年7月在中国石油大学(华东)对装置进行了冲击性能测试试验。图 2为旋转冲击钻井装置性能测试试验图。
|
| 图 2 旋转冲击钻井装置性能测试试验图 Fig.2 Performance test of the percussive-rotary drilling tool 1—电动机;2—联轴器;3—减速机;4—长栓;5—螺纹板;6—主轴;7—弹簧;8—冲锤;9—砧体;10—六方孔板;11—测力传感器。 |
建立旋转冲击装置性能测试试验装置,用三相电机和减速机带动主轴旋转;通过长螺栓调节弹簧的压缩量来改变弹簧预紧力;冲锤套在主轴前端六方处,冲锤齿形凸起与砧体配合安装,砧体外六方卡在六方孔板处;在砧体尾部安装测力传感器,利用高速力值采集系统记录冲击载荷随时间的变化[14, 15]。试验过程中,不断调整弹簧压缩量,记录不同弹簧预紧力下旋转冲击装置冲击载荷随时间的变化情况。
旋转冲击装置主轴转速为370 r/min、弹簧预紧力为2.4 kN时,装置的冲击力波形如图 3所示。该装置冲击频率为37 Hz,每次冲击的时间间隔均相同,单次冲击作用时间基本一致,单次冲击作用时间为4 ms。冲击力峰值在28 kN左右,冲击力峰值最大值为32 kN,最小值为21 kN,冲击载荷峰值略有波动。另外,装置还产生了6 kN的小波峰,小波峰峰值有明显波动,这是由齿形优化不彻底,冲锤砧体发生了二次碰撞所致。
|
| 图 3 弹簧蓄能激发式旋冲钻井装置冲击力曲线 Fig.3 Impact force curve of the percussive-rotary drilling tool with spring accumulating collision |
测试结果表明,该旋转冲击钻井装置达到设计要求,冲击频率可通过主轴转速和冲锤齿数预先设计和调整,冲击力可通过弹簧预应力预先设计和调整;该冲击装置具有良好的稳定性,冲击载荷波动小,冲击频率与转速成正比。冲击测试试验同时也验证了冲击载荷计算公式具有较高的准确性和实用性。
5 结 论(1)提出了利用短螺杆马达带动冲锤产生旋转运动并产生周期性冲击载荷的新思路,基于该思路研制了弹簧蓄能激发式旋转冲击钻井装置。
(2)根据装置工作原理建立了冲击载荷计算模型并进行分析,装置的冲击载荷随弹簧预紧力和冲锤齿形高度的增加而增大,并与冲锤齿形凸起线型密切相关;装置冲击频率为螺杆转速与冲锤齿数的乘积。
(3)冲击测试试验结果表明,装置的冲击频率为37 Hz,冲击力峰值21~32 kN,单次冲击载荷作用时间4 ms;装置达到设计要求,冲击频率和冲击动载可预先设计并可调整,同时具有良好的稳定性。
| [1] | 陶兴华.冲击回转钻进在石油钻井中的应用[J].西部探矿工程,1996,8(2):18-19. |
| [2] | 李国华,鲍洪志,陶兴华.旋冲钻井参数对破岩效率的影响研究[J].石油机械,2004,32(2):4-7. |
| [3] | 熊青山,王越之,殷琨,等.阀式液动射流冲击器的研制[J].石油钻探工艺,2007,35(3):63-65. |
| [4] | 秦红祥,曾义金,陶兴华,等.射流式冲击器研制与应用[J].钻采工艺,1999,22(3):61-63. |
| [5] | 鲍洪志.液动冲击器在川合148井的应用[J].石油机械,2001,29(6):39-40. |
| [6] | 谭凡教.射流式冲击器改型设计及Matlab仿真计算[D].长春:吉林大学,2005. |
| [7] | 陈朝达,高建强,郝建华,等.射吸式双作用油井深井冲击器设计[J].石油矿场机械,1999,28(6):43-46. |
| [8] | 倪红坚,韩来聚,马清明,等.水力脉冲诱发井下振动钻井工具研究[J].石油钻采工艺,2006,28(2):15-17. |
| [9] | 卢春华,陆洪智,李锋飞.新型电动冲击回转钻具的研究[J].石油机械,2010,38(1):77-79. |
| [10] | 高建强,陈朝达.液动冲击旋转钻具存在的问题及解决途径[J].西安石油学院学报,1998,13(3):62-64,68. |
| [11] | 菅志军,张文华,刘国辉,等.石油钻井用液动冲击器研究现状及发展趋势[J].石油机械,2001,29(11):43-46. |
| [12] | 徐小荷,余静.岩石破碎学[M].北京:煤炭工业出版社,1984. |
| [13] | 陈劲松,翟应虎.SYZJ型冲击动载发生器工作寿命的理论估算[J].石油机械,2001,29(4):16-18. |
| [14] | 王俊峰.碰撞冲击力的数值计算与测试方法研究[D].上海:上海交通大学,2007. |
| [15] | 熊青山,黄志强,殷琨,等.新型液动射流冲击器实验[J].天然气工业,2008,28(12):65-67. |


