文章快速检索     高级检索
  中国水土保持科学   2022, Vol. 20 Issue (3): 10-16.  DOI: 10.16843/j.sswc.2022.03.002
0

引用本文 

刘晓君, 李占斌, 李鹏, 杨志, 张铁钢, 任正龑. 天然降雨条件下径流和磷素流失通量关系[J]. 中国水土保持科学, 2022, 20(3): 10-16. DOI: 10.16843/j.sswc.2022.03.002.
LIU Xiaojun, LI Zhanbin, LI Peng, YANG Zhi, ZHANG Tiegang, REN Zhengyan. Relationship between runoff and phosphorus loss flux under natural rainfall conditions[J]. Science of Soil and Water Conservation, 2022, 20(3): 10-16. DOI: 10.16843/j.sswc.2022.03.002.

项目名称

国家自然科学基金“红壤水稳性团聚体颗粒周转对淋溶过程养分迁移作用研究”(42107365);国家林业和草原局自主研发项目计划“黄河流域生态用水与林草植被格局优化配置”(LC-6-06)

第一作者简介

刘晓君(1988—),女,博士,讲师。主要研究方向:土壤侵蚀与养分流失,森林生态学。E-mall:lxj-2016@jxau.edu.cn

通信作者简介

李鹏(1974—),男,博士,教授。主要研究方向:土壤侵蚀与水土保持。E-mail:lipeng74@163.com

文章历史

收稿日期:2021-05-24
修回日期:2021-06-11
天然降雨条件下径流和磷素流失通量关系
刘晓君 1, 李占斌 2, 李鹏 2, 杨志 3, 张铁钢 4, 任正龑 3     
1. 江西农业大学林学院,鄱阳湖流域森林生态系统保护与修复国家林业和草原局重点实验室,330045,南昌;
2. 西安理工大学,西北旱区生态水利工程国家重点实验室培育基地,710048,西安;
3. 宁夏回族自治区水土保持监测总站,750002,银川;
4. 水利部牧区水利科学研究所,010020,呼和浩特
摘要:磷素作为淡水生态系统中重要的限制性营养物质,其高度的空间异质性和复杂的流失特征,导致磷流失带来的非点源污染问题难以防治。为此以丹江小流域为研究对象,通过定位监测对比不同年份小流域各断面径流及磷素流失规律,探索天然降雨条件下径流-磷素流失通量关系。结果表明:监测到的5场天然降雨,径流峰滞后时间分别在1~4 h之间;小流域总磷流失质量浓度范围为0.01~0.43 mg/L;随着小流域治理的年限增长,磷素流失质量浓度降低,水质整体向好;同一场次监测降雨内,随降雨的进行,小流域各断面总磷流失质量浓度先增大后减小,由上至下各断面总磷质量浓度呈现累积效应;与径流侵蚀功率(< 0.60)相比,径流通量与磷素流失回归关系的决定系数(>0.90)更大;M(V)曲线表明监测到的不同场次天然降雨中,优先控制的磷素形态有所不同。径流通量是影响磷素流失的关键因子,尤其是不同降雨强度条件下径流通量对磷素流失的影响作用差异显著。
关键词天然降雨    径流        通量    流失    
Relationship between runoff and phosphorus loss flux under natural rainfall conditions
LIU Xiaojun 1, LI Zhanbin 2, LI Peng 2, YANG Zhi 3, ZHANG Tiegang 4, REN Zhengyan 3     
1. College of Forestry, Jiangxi Agricultural University/Key Laboratory of National Forestry and Grassland Administration on Forest Ecosystem Protection and Restoration of Poyang Lake Watershed, 330045, Nanchang, China;
2. State Key Laboratory of Eco-hydraulic Engineering in Arid Area, Xi′an University of Technology, 710048, Xi′an, China;
3. Soil and Water Conservation Monitoring Station of Ningxia Hui Autonomous Region, 750002, Yinchuan, China;
4. Institute of Water Resources for Pastoral Area, MWR, 010020, Hohhot, China
Abstract: [Background] Phosphorus (P) has high spatial heterogeneity and complex loss characteristics, which makes it difficult to prevent and control the non-point source pollution caused by soil erosion. As a major limiting element in the middle route of South-to-North Water Diversion Project, it is crucial to explore the law of P loss in the process of water and soil loss. [Methods] The characteristics of runoff flux, runoff erosion power, total P loss and available P loss in Danjiang watershed were analyzed by located monitoring of natural rainfall. The runoff samples of 6 sections were selected in 2 rainfall events in 2016 and 3 rainfall events in 2019 to analyze the runoff and P loss processes from upstream to downstream. The relationship between runoff flux, runoff erosion power and P flux was explored and compared under the condition of natural rainfall. [Results] The retardation time of runoff peak was 1-4 h; the P loss ranged from 0.01 to 0.43 mg/L. The average P concentration in runoff of 2016 and 2019 was 0.08 and 0.33 mg/L, respectively. The water quality improved with the increasing age of the small watershed management. If the rainfall intensity was lower, the total P loss in runoff was less, even though the precipitation was higher and during time was longer. This indicated that the P loss in runoff was more affected by rainfall intensity, rather than during time of rainfall and precipitation. In the same monitored rainfall, with the increase of rainfall duration, the concentration of total P loss at each cross section of the small watershed increased first and then decreased. The concentration of total P at each cross section showed a cumulative effect from top to bottom. When the rainfall intensity and I30 (maximum 30-min rainfall intensity) was high, the runoff erosion power could better reflect the P loss in runoff, while the determination coefficient was 0.59 with higher rainfall intensity and 0.26 for lower rainfall intensity. But under the condition of rainstorm, the regression coefficient of runoff flux and phosphorus loss (>0.90) was larger than that of runoff erosion power (< 0.60). The M(V) curve of the two rainfall events in 2019 showed an upper convex type, that is, the peak value of P loss concentration appeared in the early rainfall period. [Conclusions] Runoff flux is the key factor affecting P loss, especially that the effect of runoff flux on P loss under different rainfall intensities was significantly different. The priority control of P forms is different in the monitored natural rainfall of different times, due to the difference of rainfall intensity. The results of this study may provide a theoretical basis for the prevention and control of non-point source pollution caused by P loss in the process of water and soil erosion.
Keywords: natural rainfall    runoff    phosphorus    flux    loss    

由于水土流失导致的土壤颗粒、养分、农药及其他有机、无机污染物从土壤圈向其他圈层尤其是水圈扩散,导致农业非点源污染。其迁移过程研究集中在降水径流、农田灌溉以及淋溶作用引起土体中的污染物迁移并进入水体的过程[1]。土壤中的磷(P)以水溶态和颗粒态2种形式随径流迁移入水体[2-3],养分过剩导致水体富营养化,而达到富营养化的总磷质量浓度仅为总氮质量浓度的1/10甚至更低[4],因此磷素起到了至关重要的作用[5]

在陆地生态系统中,许多物理量均通过土壤-植物-大气系统的界面进行物质和能量交换[6],而通量作为表征手段较少应用于养分流失研究中[7-8]。随着数字模型等新技术的广泛应用,径流磷素流失研究开始向定量化发展[9-10],相关研究可为非点源污染治理过程中的磷控制提供数据支撑。径流侵蚀功率不仅可以反映降雨和侵蚀能力,还对侵蚀模数及产沙量有较高预测精度[11-12]。在目前开展的径流磷素研究中,不同类型降雨条件下速效磷、全磷等各形态磷素通量过程规律如何?径流通量、径流侵蚀功率两者在反映磷素流失时是否不同等问题目前尚未有深入研究;因此,笔者针对径流-磷素通量之间的响应关系开展研究,选取南水北调中线工程源头典型小流域——鹦鹉沟小流域,结合通量概念研究径流磷素流失关系,并对比分析通量及侵蚀功率对于表征总磷流失的优劣性,揭示小流域径流磷素流失规律,为水土保持中非点源污染防治提供理论依据。

1 研究区概况

鹦鹉沟小流域(E 110°52′16″~110°55′30″,N 33°29′55″~33°33′50″)位于南水北调中线工程水源区,地处陕西省商南县城东南,总面积1.81 km2。属于亚热带季风性气候,年平均降水量803.2 mm,年径流深261.3 mm,径流总量为5.34×105 m3。小流域是以低山丘陵为主体的山区,海拔范围为464~824 m,以黄棕壤为主,水土流失面积为130.53 hm2。自2000年被列为“长治”重点治理小流域以来,在退耕的坡耕地和荒山、荒坡山实施水保林49.87 hm2,经济林46.27 hm2,种草10.80 hm2。工程措施为采用钢混凝土构件筑坎造田8.93 hm2,沟道治理措施主要为3.8 km的路堤结合工程,2.3 km的防洪排涝工程,改造沟台地23.27 hm2

2 材料与方法 2.1 采样及基础数据的获取

在鹦鹉沟小流域6个断面处(图 1)分别修建20 m长渠道,保证断面上下游渠道平直,渠床坚固、水流平稳并具有足够长度以形成渠段控制,并分别架设1台水位计数仪,记录典型降雨每5 min断面水位,并用手持式电波流速仪(Stalker Ⅱ SVR)测定不同时间点断面流速。选取2016及2019年各2场典型天然降雨,定位监测降雨过程中流域断面的水位变化,采集水样并带回实验室测定其总磷速效磷含量。降雨数据由HOBO气象站监测得到。

图 1 鹦鹉沟小流域及采样断面示意图 Fig. 1 Location of Yingwugou watershed and sampling sections
2.2 通量的计算

笔者对养分的流失量和径流量进行时空单位化处理,即以养分流失通量和径流通量的概念研究径流对养分流失的影响作用。其计算公式分别为:

$ \varphi = \sum\limits_1^{n - 1} {\left( {\frac{{{Q_i}{C_i} + {Q_{i + 1}}{C_{i + 1}}}}{2}t} \right)} /\left( {AT} \right); $ (1)
$ R = \sum\limits_1^{n - 1} {\left( {\frac{{{Q_i} + {Q_{i + 1}}}}{2}t} \right)} /\left( {AT} \right)。$ (2)

式中: φ为养分流失通量,g/(hm2·h);R为径流通量,mm/h;QiQi+1为相邻2个时段的出口断面流量,m3/s;CiCi+1为相对应时段的径流养分质量浓度,mg/L;t为采样时间间隔,s;A为流域面积,hm2T为采样历时,h;n为采集样品数量,个。

2.3 径流侵蚀功率的计算

以某一时间点径流深与流量模数的乘积为研究小流域次降雨时段径流侵蚀功率,其计算公式为:

$ {E_i} = {Q'_i}{H_i}。$ (3)

式中:Ei为次降雨i时刻径流侵蚀功率,m4/(s·km2);Q′ii时刻流量模数,m3/(s·km2);Hii时刻径流深,m。

3 结果与分析 3.1 典型次降雨及其与径流关系 3.1.1 典型次降雨特征

2016年2场降雨分别为短时阵型降雨(16-Ⅰ)和绵长小雨(16-Ⅱ),降雨历时及总降雨量有明显差别,但I30(最大30 min降雨强度)相差不大(表 1)。其中16-Ⅱ次降雨的总降雨量虽然已达45.4 mm,但由于其降雨历时也长达48.17 h,因此其降雨强度仅为0.94 mm/h,与降雨总量相似的19-Ⅳ场次降雨相比,16-Ⅱ次降雨的降雨强度仅为其43.04%。

表 1 鹦鹉沟小流域典型次降雨特征 Tab. 1 Characteristics of individual rainfall in Yingwugou watershed

2019年Ⅲ、Ⅴ2场降雨历时仅相差4.42 h,但场次Ⅲ的降雨量、降雨强度、I30等均较高,分别是场次Ⅴ降雨的3.39倍、2.55倍和2.95倍。为研究天然降雨与鹦鹉沟小流域径流的关系,笔者选择2019年Ⅲ、Ⅴ2场典型次降雨进行具体分析。

3.1.2 典型次降雨径流特征

场次19-Ⅲ降雨有5个雨峰(图 2),但仅形成3个径流峰,且径流峰均晚于相对应的高强度降雨。09:08、22:13和23:28的5 min降雨量分别达到2.39、2.01和0.99 mm,滞后时间分别为1、0.87和0.95 h,第3个径流峰达到最大流量(0.66 m3/s)。降雨基本结束(23:58)的20 min后,径流开始减退并在5 h后达到稳定。场次19-Ⅴ降雨量、降雨强度等均较小,因此产生的径流量相对较少,变化范围仅在0.04~0.06 m3/s之间。雨峰出现在06:16和09:56,径流峰则分别在此之后的1.5和4 h出现。

图 2 2场典型降雨及流域出口流量 Fig. 2 Precipitation of 2 typical rainfalls and flow at the watershed exit

2场次降雨径流侵蚀功率变化如图 3,与降雨及径流深度变化趋势相似,场次19-Ⅲ降雨在同一时间段内呈现峰值,并在随后逐渐下降直至相对稳定。而场次19-Ⅴ降雨由于其降雨较为均匀,其径流侵蚀功率变化过程变化浮动相对较小,并与径流深的变化趋势较一致。

图 3 次降雨径流侵蚀功率变化过程 Fig. 3 Change process of runoff erosion power in individual rainfall
3.2 流域总磷流失过程

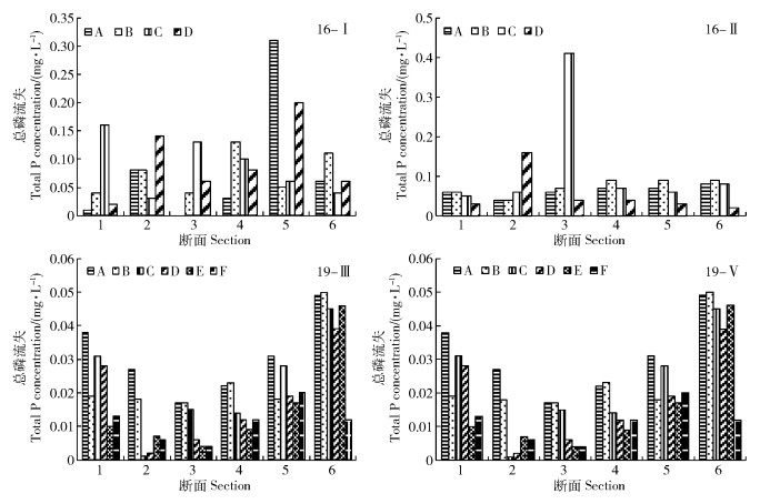
对于观测到的典型次降雨,我们在降雨期间分批次采集小流域断面径流,测定其总磷流失特征如图 4(A~F分别代表每场次降雨期间采集批次)。

鹦鹉沟小流域总磷流失质量浓度在0.01~0.43 mg/L之间(图 4),其中2016年小流域各断面径流总磷流失质量浓度均高于2019年,且各采样批次的总磷流失质量浓度基本都有先增大后减小的趋势。虽然16-Ⅱ场次降雨总降雨量(45.4 mm)明显高于16-Ⅰ场次降雨(15.4 mm),但其降雨强度仅为0.94 mm/h,因此其径流中总磷流失质量浓度明显低于16-Ⅰ场次,即降雨强度对径流总磷流失质量浓度影响大于雨量对其的影响,2019年2场降雨也有类似情况。另外,由流域上游至下游径流总磷流失质量浓度由上游至下游呈现逐渐增加的趋势。

A to F represent the sample collecting batch of each rainfall. 图 4 径流总磷流失特征 Fig. 4 Loss characteristics of total phosphorus in runoff
3.3 磷素流失与径流关系 3.3.1 流失通量与径流通量

径流量和径流养分质量浓度是养分在径流中流失的2个重要构成因素,绘制鹦鹉沟小流域水相磷素流失通量与径流通量散点图(图 5),可以直观清晰地揭示流域磷素的流失特征。

图 5 水相磷素流失与径流通量相关关系 Fig. 5 Correlation of water-phase P loss and runoff fluxes

径流总磷和速效磷的流失通量与径流通量呈显著线性正相关关系,相关系数分别为0.97和0.91,即相对于速效磷,径流量对总磷流失量的影响更显著。拟合总磷与速效磷的流失量与径流量关系所得到直线的斜率分别为0.19和0.14,说明同样的径流增长量,总磷的流失质量浓度增长更快,更易流失。

19-Ⅲ场降雨与径流侵蚀功率决定系数大于19-Ⅴ场降雨,即在降雨强度及I30相对较大的情况下,径流侵蚀功率可以相对较好的表征水相磷素流失(P < 0.01)。而且与径流通量相比,2场降雨下磷素流失与径流侵蚀功率的R2均相对较小。

表 2 水相总磷流失与径流侵蚀功率回归关系 Tab. 2 Regression relationship between water phase total P loss and runoff erosion power
3.3.2 累积流失通量与累积径流通量

总磷及速效磷的累积流失通量变化与累积径流通量的变化相关性显著,其相关系数分别为0.995和0.993(P < 0.01)。以累积径流通量与总径流通量的比值为横轴,以累积磷素流失通量与总磷素流失通量的比值为纵轴绘制得二者M(V)关系图 6

Pa:累积磷素流失通量,g/(hm2·h-1);Pt:总磷素流失通量,g/(hm2·h-1);Ra: 累积径流通量,mm/h; Rt: 总径流通量,mm/h。 Pa: accumulated phosphorus loss, g/(hm2·h-1); Pt: total phosphorus loss, g/(hm2·h-1); Ra: accumulated runoff, mm/h; Rt: total runoff flux, mm/h. 图 6 磷素M(V曲线 Fig. 6 M(V) curve of phosphorus

2场降雨的累积径流通量与累积磷素流失通量关系曲线基本类似(图 6),且随着累积径流通量的增加,累积磷素流失通量也逐渐增加,即流域磷素流失通量主要受径流通量影响。M(V))曲线在流域的2场降雨事件中均体现为上凸型,即磷素的流失质量浓度峰值均出现在降雨前期,这与降雨强度及地表径流的时间变化有关。

4 讨论

对比2016和2019年各2场典型降雨特征及径流、磷素流失规律,发现2016年小流域各断面径流总磷含量均高于2019年,说明随着小流域的治理及面源污染防治理念的宣传,流域的水质向好。而随着次降雨的进行,由降雨前期到后期,总磷质量浓度都有先增大后减小的趋势,主要是因为径流的采样基本随降雨进行,体现降雨初期径流中总磷流失逐渐增多,以及后期随径流减退总磷含量也逐渐减少的过程。2019年2场降雨的径流中总磷含量由上游至下游呈现逐渐增加的趋势,这可能是因为流域内农户基本沿河两岸居住,随着径流的形成,人为产生的生活污水以及农田土壤养分流失等非点源污染逐渐累积,总磷质量浓度表现为沿河增加。径流通量和径流侵蚀功率二者在反映径流磷素质量浓度时,表现出较大的效率差异。Yu等[13]研究发现只有在较为复杂的下垫面条件下,径流侵蚀功率才能更好地表征侵蚀。而鹦鹉沟小流域不到2 km2的面积上,地形地貌结构相对简单,采用径流侵蚀功率对磷素流失进行预测有一定的局限性,因此相对而言,径流通量能更好地指征磷素在径流中的流失情况。

在多种影响因素的作用下,明确养分流失与径流之间变化规律就比较困难。无量纲分析可以更准确地了解不同次降雨下径流中养分在径流的输移过程[14]。因此制作2场降雨的M(V)曲线[15],来识别优先考虑控制的污染物。降雨前期,地表径流迅速汇流并携带磷素到流域出口,随着地表径流的逐渐增大,磷素流失质量浓度随之变高,其峰值出现时间早且强度大;降雨后期,壤中流逐渐形成并汇聚,但相对地表径流,其磷素峰值较低,磷素流失质量浓度随着径流通量的减小而趋于稳定。另外,对于19-Ⅲ场降雨事件,若控制去除55%的总磷,则需要截获50%的径流量,而这其中包含60%的速效磷,因此对于此次降雨事件,总磷就是最经济的控制养分;对于19-Ⅴ场降雨时间,若控制60%的速效磷,则需截获55%的径流量,而在55%的径流中包含70%的总磷,因此对于19-Ⅴ场次降雨时间,速效磷就是优先控制的养分。由于19-Ⅲ场降雨强度(2.19 mm/h)高于19-Ⅴ场降雨强度(1.60 mm/h),这可能是造成2场降雨事件养分流失差异的原因。对于最终确定鹦鹉沟流域优先控制的磷素形态,还需监测更多场次的天然降雨。

5 结论

1) 各次降雨由于降雨强度、降雨历时及降雨量不一,径流峰滞后时间分别为1~4 h不等,降雨强度越小,其滞后时间越长;径流侵蚀功率与水位变化相对一致;

2) 小流域总磷流失质量浓度在0.01~0.43 mg/L之间,随着小流域治理的年限增长,小流域磷素流失整体向好;随降雨历时的增加,各断面总磷流失质量浓度先增大后减小,由上至下各断面总磷质量浓度逐渐增加;

3) 本研究区的典型小流域中,与径流侵蚀功率相比,径流通量能更好地解释磷素流失过程,且相对于速效磷,总磷流失通量与径流通量的相关性更好;不同场次的天然降雨其优先控制的磷素形态有所不同,最终确定鹦鹉沟小流域重点控制的磷素形态需监测更多场次天然降雨。

6 参考文献
[1]
迟宇博, 吴磊, 李蕊, 等. 不同措施黄绵土坡地暴雨侵蚀及磷素流失特点[J]. 农业环境科学学报, 2020, 39(12): 2833.
CHI Yubo, WU Lei, LI Rui, et al. Characteristics of soil erosion and phosphorus loss from loessial sloping land under different measures during heavy rainstorms[J]. Journal of Agro-Environment Science, 2020, 39(12): 2833. DOI:10.11654/jaes.2020-0357
[2]
普燕爽, 王春雪, 陈建军, 等. 牛粪化肥最优配比条件下不同轮作方式对稻田氮磷流失的影响[J]. 农业资源与环境学报, 2021, 38(2): 286.
PU Yanshuang, WANG Chunxue, CHEN Jianjun, et al. Effects of different rotation patterns on nitrogen and phosphorus loss in paddy fields under an optimal ratio of cow manure and fertilizer[J]. Journal of Agricultural Resources and Environment, 2021, 38(2): 286.
[3]
李飞, 韩兴, 马秀兰, 等. 秸秆覆盖对东北黑土区坡耕地产流产沙及氮磷流失的阻控[J]. 水土保持学报, 2020, 34(4): 37.
LI Fei, HAN Xing, MA Xiulan, et al. Straw mulch controls runoff and nitrogen and phosphorus loss from slope farmland in black soil region of Northeast China[J]. Journal of Soil and Water Conservation, 2020, 34(4): 37.
[4]
王洪铸, 王海军, 李艳, 等. 湖泊富营养化治理: 集中控磷, 或氮磷皆控?[J]. 水生生物学报, 2020, 44(5): 938.
WANG Hongzhu, WANG Haijun, LI Yan, et al. The control of lake eutrophication: Focusing on phosphorus abatement, or reducing both phosphorus and nitrogen?[J]. Acta Hydrobiologica Sinica, 2020, 44(5): 938.
[5]
BOCANIOV S A, CAPPELLEN P V, SCAVIA D. On the role of a large shallow lake (lake St. Clair, USA-Canada) in modulating phosphorus loads to lake Erie[J]. Water Resources Research, 2019, 55(12): 10548. DOI:10.1029/2019WR025019
[6]
EHNES R B. Land-use change affects size spectra, energy flux and ecosystem functions in litter and soil invertebrates[J]. Journal of Animal Ecology, 2019, 88(12): 1828. DOI:10.1111/1365-2656.13144
[7]
WILSON H, ELLIOTT J, MACRAE M, et al. Near-surface soils as a source of phosphorus in snowmelt runoff from cropland[J]. Journal of Environmental Quality, 2019, 48(4): 921. DOI:10.2134/jeq2019.04.0155
[8]
ZHANG SJ, WANG L, MA F, et al. Can arbuscular mycorrhiza and fertilizer management reduce phosphorus runoff from paddy fields?[J]. Journal of Environmental Sciences, 2015, 33(7): 211.
[9]
潘可可, 龚健, 刘元元, 等. 地表和地下径流养分输出通量估算方法研究[J]. 环境污染与防治, 2017, 39(5): 484.
PAN Keke, GONG Jian, LIU Yuanyuan, et al. Estimation of the riverine nutrient export load from surface and ground runoff[J]. Environmental Pollution and Control, 2017, 39(5): 484.
[10]
熊子怡, 王子芳, 龙翼, 等. 紫色土旱坡地氮流失通量对减肥配施秸秆的响应[J]. 环境科学, 2020, 41(4): 1930.
XIONG Ziyi, WANG Zifang, LONG Yi, et al. Response of nitrogen loss flux in purple soil sloping field to reduced fertilizer and combing straw[J]. Environmental Science, 2020, 41(4): 1930.
[11]
纪丽静, 王文龙, 康宏亮, 等. 黄土区土质与土石质塿土堆积体水力侵蚀过程差异[J]. 应用生态学报, 2020, 31(5): 1587.
JI Lijing, WANG Wenlong, KANG Hongliang, et al. Differences in hydraulic erosion processes of the earth and earth-rock Lou soil engineering accumulation in the loess region[J]. Chinese Journal of Applied Ecology, 2020, 31(5): 1587.
[12]
和继军, 王硕, 蔡强国, 等. 黄土缓坡片蚀过程及其水力参数适宜性试验研究[J]. 水科学进展, 2021, 32(1): 97.
HE Jijun, WANG Shuo, CAI Qiangguo, et al. Experimental study on sheet erosion process of loess and its suitability of hydraulic parameters on gentle slopes[J]. Advances in Water Science, 2021, 32(1): 97.
[13]
YU G Q, ZHANG M S, LI Z B, et al. Piecewise prediction model for watershed-scale erosion and sediment yield of individual rainfall events on the Loess Plateau, China[J]. Hydrological Processes, 2014, 28(21): 5322.
[14]
游志康, 刁秀媚, 刘俊, 等. 考虑降雨的下垫面变化对径流的影响分析[J]. 水资源与水工程学报, 2016, 27(6): 79.
YOU Zhikang, DIAO Xiumei, LIU Jun, et al. Impacts of underlying surface change on rainfall runoff[J]. Journal of Water Resource and Water Engineering, 2016, 27(6): 79.
[15]
BERTRAND-KRAJEWSKI J L, CHEBBO G, SAGET A. Distribution of pollutant mass vs volume in storm water discharges and the first flush phenomenon[J]. Water Research, 1998, 32(8): 2341.