2. 北京林业大学工学院, 100083, 北京
-
项目名称
- 国家重点研发计划项目"西北干旱荒漠区煤炭基地生态安全保障技术"(2017YFC0504403)
-
第一作者简介
- 刘韵(1994-), 女, 硕士研究生。主要研究方向:矿区沙尘发生与来源。E-mail:l907y254_g@163.com
-
通信作者简介
- 王若水(1983-), 男, 副教授, 硕士生导师。主要研究方向:盐碱地改良, 复合农林水肥调控, 矿区沙尘发生与来源。E-mail:wrsily_2002@163.com
-
文章历史
-
收稿日期:2019-02-27
修回日期:2019-10-17
2. 北京林业大学工学院, 100083, 北京
2. The School of Technology, Beijing Forestry University, 100083, Beijing, China
露天煤矿在爆破、开采、运输、装卸等作业过程中均可产生大量粉尘,其中可吸入颗粒物(粒径在10 μm以下的颗粒物)容易富集重金属、微生物等有毒有害物质,长期暴露于大气颗粒物,可导致多种疾病风险增加[1-4]。西北干旱荒漠区位于“两屏三带”的北方防沙带,是“一带一路”的重点建设区域,煤炭预测储量超过4.5万亿t,拥有多个大型露天煤矿,是我国重要的煤炭基地,而该区域气候干燥、降水稀少、蒸发强烈、大风频繁,极易将露天煤矿开采中产生的粉尘扬起并扩散蔓延到其他区域[5-6];因此,研究西北干旱荒漠区露天煤矿矿区内、外粉尘质量浓度的分布及其影响因素对矿区粉尘危害预警系统布局,以及粉尘防控措施的布置具有重要意义。
近年来,一些学者对大气环境中不同粒径粉尘质量浓度分布规律做了大量研究,但主要集中于城市环境[7-9]。露天煤矿要进行高强度集中作业,产尘量大,暴露性强,植被覆盖率低,与城市环境差异较大;因此,应当加强对露天煤矿粉尘分布的研究。当前对露天煤矿内的土壤、降尘、重金属污染[10-16]及植物降尘等方面[17-20]有较多研究,但对矿区粉尘分布规律的研究仍主要集中在较大粒径颗粒物。边梦龙[21]选取露天煤矿穿孔与运输2个产尘量大的生产环节,研究了PM2.5、PM10.0和TSP质量浓度随距离的分布规律;郭二果等[22]研究了露天煤矿排土场、储煤场、运输道路等无组织排放源TSP的时空分布特征,发现TSP质量浓度早上较高,上午10:00后至午后15:00左右质量浓度较低,傍晚又有所回升。目前,对于矿区粉尘防控体系的建立需深入研究不同区域间起尘的关联性,如针对矿区内外除尘问题,除可在各区域设置相应措施直接降低自身产尘量外,还可通过增强对其起尘量影响较大区域的措施强度间接实现除尘效果,现在对矿内外不同起尘区域间相互影响的原因尚不明确;此外,有研究表明,颗粒物的粒径越小,越容易附带有毒有害物质,进入呼吸道的部位也越深[23-25],PM1.0在PM2.5颗粒中的比例高达80%~90%,在PM2.5中,PM1.0对视觉能见度和人体健康的影响最大[26]。迄今对以上2方面的研究较少,其关键防控技术参数尚缺乏。作者在内蒙古乌海市典型露天煤矿矿内和矿外2个区域监测不同粒径颗粒物(PM1.0、PM2.5、PM10.0和TSP)质量浓度,同时分析不同起尘区域不同粒径颗粒质量浓度的日变化、影响因素以及各起尘区域间的相关性,以期为西北干旱荒漠地区矿区沙尘预警系统的开发以及防控技术体系的建立提供理论依据。
1 研究区域选择内蒙古乌海市典型露天煤矿矿内和矿外区域作为典型区域(图 1a),位于E 106°52′50″~106°54′17″,N 39°42′03″~39°42′36″,桌子山煤田木尔沟勘探区18—21勘探线之间,矿区面积3.972 km2,属于典型的中温带大陆性干旱季风气候,年均气温10.1 ℃,极端最高气温40.2 ℃,极端最低气温-28.9 ℃,气温的年较差和日较差均较大;年均降水量159.8 mm,年蒸发量3 289 mm;年均风速3.1~4.7 m/s,最大风速为28 m/s,以静风频率居多,高达17.4%,全年8级以上大风时间为15~32 d,最多52 d,大风多集中在10—翌年4月,且以东南风为主,年沙暴时间为7.6 d。
|
图 1 研究区域及监测点位置图 Fig. 1 Location map of the study site and monitoring points |
如图 1b所示,根据矿区内开采、运输、装卸、人类活动等产尘点,同时考虑人力、物力所能满足情况,将矿内划分为5个不同起尘区域,分别为矿区入口(ME)、矿坑周边(MA)、矿区道路(RM)、矿区办公区(MO)、储煤场(CS),共设置11个监测点,基本覆盖整个煤矿作业区;沿研究区主导风向,在其西北方向选择一矿外监测区域,如图 1c所示,将矿外划分为3个不同区域,分别为工业园区(IE)、运煤专线(RC)、金沙湾(JS),共设置5个监测点,整个研究区内共设置16个监测点,金沙湾为附近一景区。
采用英国Turnkey DUSTMATE手持式环境粉尘仪,将矿内和矿外分开监测,选取最能体现研究区春季(风季)特征的4—5月进行监测,矿内监测日期为2018年4月9日(出煤量5 160 t)、4月16日(出煤量4 470 t)、4月30日和5月4日(出煤量5 820 t),矿外监测日期为4月13日(出煤量2 550 t)、4月19日和5月3日(出煤量3 720 t),其中4月30日和4月19日矿内无作业(每日出土方量与出煤量10:1,有作业时整个矿区有采矿、挖掘、车辆装卸和运输等活动,无作业时即矿内停止一切活动),监测时间为每日的08:00—18:00,每2 h监测一次,每个点监测时长为3 min/次,每1 min获取一组数据,3组数据取平均值作为该时刻监测点的质量浓度值,监测高度距离地面1.5 m。同时采用安装在矿内以及矿外的2台DAVIS Vantage pro2型自动气象站(美国,位置见图 1b和1c),每30 min记录一次研究区温度、湿度、风速等气象数据,尽量选择天气条件相似且相对稳定的天进行监测,减少气象条件对监测数据产生影响。监测期气象条件如表 1所示,结果显示监测期与乌海近20年气象数据均值间无显著性差异,说明试验所选时段可代表乌海春季特征;同时矿内与矿外气象数据间也无显著性差异,说明所选时段气象条件相似,可进行矿内和矿外间的对比性分析。
| 表 1 监测期日均值与乌海近20年气象数据 Tab. 1 Daily mean value of monitoring period and the meteorological data of Wuhai city in recent 20 years |
采用SPSS 20.0软件分别对不同区域各粒径颗粒物质量浓度与气象因素、矿区内外不同区域各粒径颗粒物质量浓度之间进行Pearson相关性及显著性分析,采用Origin 9.1软件进行绘图。
3 结果与分析 3.1 不同粒径粉尘质量浓度日变化规律将矿内有无作业时监测的粉尘质量浓度分别取均值分析日变化。对于矿内区域,有作业时(图 2a),各起尘区域粉尘质量浓度日变化规律类似,4种粒径粉尘质量浓度整体均呈“两峰两谷”趋势,于08:00和16:00出现峰值,12:00和18:00出现谷值。08:00质量浓度较高,其中矿坑周边(MA)PM1.0、PM10.0和TSP质量浓度最高,矿区道路(RM)PM2.5质量浓度最高。矿区道路(RM)和矿区入口(ME)较其他区域波动较大:10:00矿区入口(ME)粉尘质量浓度有所上升,12:00矿区道路(RM)PM10.0和TSP质量浓度增加,PM1.0和PM2.5质量浓度降低,18:00矿区入口(ME)PM10.0和TSP质量浓度稍有增加。无作业时(图 2b),各起尘区域粉尘质量浓度日变化规律相似,除矿区道路(RM)和矿区入口(ME)外,其他起尘区域PM1.0、PM2.5、PM10.0和TSP质量浓度值均较小且日变幅不大,18:00时各区域粉尘质量浓度反而较高。
|
Notes:ME: Mine entrance. MA: Mining pit around. RM: Road in the mine. MO: Mine office. CS: Coal storage yard. TSP: Total suspended particulate. The same below. 图 2 矿内不同粒径粉尘质量浓度日变化(a有作业 b无作业) Fig. 2 Daily variation of dust concentration with different particle diameter in the mine (a refers to mining going on and b to no mining work going on) |
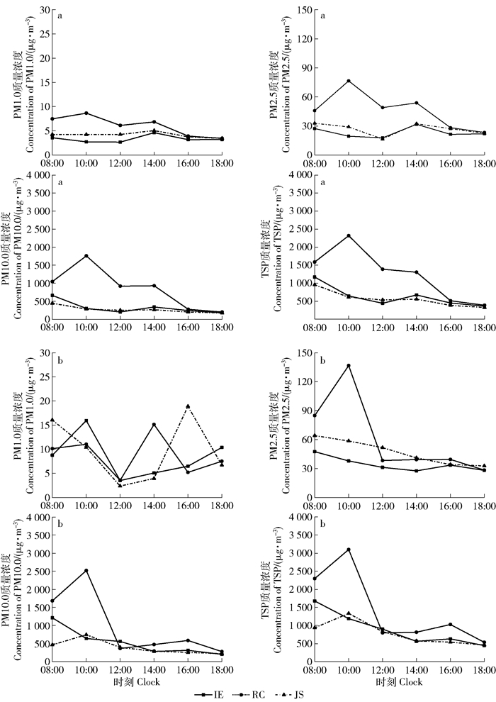
对于矿外区域,当矿内有作业时(图 3a),工业园区(IE)和金沙湾(JS)各粒径粉尘质量浓度日变化相似,08:00粉尘质量浓度较高,之后粉尘质量浓度持续下降且变幅较小;运煤专线(RC)粉尘质量浓度变幅较大,呈现“两峰三谷”特征,于10:00和14:00出现峰值,08:00、10:00和18:00出现谷值。当矿内无作业时(图 3b),PM1.0质量浓度变化波动大,各区域在上午和下午处于较大值,于中午达到最低值;PM2.5、PM10.0和TSP质量浓度变化相似,运煤专线(RC)在10:00时达到峰值,随后持续降低,其他区域各粒径粉尘质量浓度值较有作业时高,但各区域粉尘质量浓度日变化规律均为08:00时较高,之后逐渐下降,于18:00达到最低。
|
Notes:IE: Industrial estate. RC: Special road for transporting coal. JS: Jinshawan. The same below. 图 3 矿外不同粒径粉尘质量浓度日变化(a有作业b无作业) Fig. 3 Daily variation of dust concentration with different particle diameter outside the mine (a refers to mining going on and b to no mining work going on) |
不同粉尘质量浓度比值:ρ(PM1.0)/ρ(PM2.5)、ρ(PM2.5)/ρ(PM10.0)和ρ(PM10.0)/ρ(TSP),可用来判定矿区内外大气中主要粒径颗粒物含量,结果见表 2和表 3。矿内和矿外所有区域ρ(PM10.0)/ρ(TSP)值最大,矿内各区域ρ(PM10.0)/ρ(TSP)值(0.59~0.69)高出其他粒径比值4~10倍,矿外各区域ρ(PM10.0)/ρ(TSP)值(0.50~0.62)高出其他粒径比值3~6倍,说明矿内和矿外主要颗粒物均为粗颗粒物(PM10.0和TSP)。且矿内各区域不同粒径比值之间均没有显著性差异,矿外各区域间除ρ(PM10.0)/ρ(TSP)比值外(P < 0.01),其他粒径比值均无显著差异。
| 表 2 矿内不同区域ρ(PM1.0)/ρ(PM2.5)、ρ(PM2.5)/ρ(PM10.0)和ρ(PM10.0)/ρ(TSP)值的分析 Tab. 2 Analysis of ρ(PM1.0)/ρ(PM2.5), ρ(PM2.5)/ρ(PM10.0), and ρ(PM10.0)/ρ(TSP) in different areas in the mine |
| 表 3 矿外不同区域ρ(PM1.0)/ρ(PM2.5)、ρ(PM2.5)/ρ(PM10.0)、ρ(PM10.0)/ρ(TSP)值的分析 Tab. 3 Analysis of ρ(PM1.0)/ρ(PM2.5), ρ(PM2.5)/ρ(PM10.0), and ρ(PM10.0)/ρ(TSP) in different areas outside the mine |
矿区内外不同区域的PM1.0、PM2.5、PM10.0和TSP质量浓度与监测时段气象要素的Pearson相关分析(表 4)表明,在矿内,PM1.0、PM2.5、PM10.0和TSP质量浓度与风速呈极显著正相关,且相关性最大,可见风速增大将导致各粒径粉尘质量浓度增加,且粗颗粒物(PM10.0和TSP)较细颗粒物(PM1.0和PM2.5)相关性更大;与温度呈负相关,表明各粒径粉尘质量浓度随温度降低而增加,且温度对细颗粒物(PM1.0和PM2.5)的影响更显著;粗颗粒物(PM10.0和TSP)与湿度呈极显著负相关,表明湿度增大有利于降低粉尘质量浓度,细颗粒物(PM1.0和PM2.5)与湿度无显著相关性。在矿外,细颗粒物(PM1.0和PM2.5)与湿度呈显著正相关,表明细颗粒物(PM1.0和PM2.5)质量浓度随湿度增大而增加,其余各粒径颗粒物与气象要素均无显著相关性。
| 表 4 不同区域粉尘质量浓度与监测时段气象要素之间的Pearson相关系数 Tab. 4 Pearson correlation between concentration of particulate matter in different areas and meteorological factors during monitoring |
矿区内外不同区域粉尘质量浓度相关性分析表明(表 5和表 6),在矿内,PM1.0、PM2.5、PM10.0和TSP质量浓度在各区域之间均呈显著正相关,矿区入口(ME)与其他区域各粒径粉尘质量浓度之间相关系数均较小;在矿区道路(RM)与各区域不同粒径粉尘质量浓度的相关性中,PM1.0间相关系数较其他粒径小,且在各粒径粉尘质量浓度中,矿区道路(RM)与储煤场(CS)间的相关系数最大;此外,矿区办公区(MO)与矿坑周边(MA)细颗粒物(PM1.0和PM2.5)质量浓度间的相关系数较粗颗粒物(PM10.0和TSP)大。在矿外,各区域PM1.0只在工业园区(IE)和金沙湾(JS)间呈显著正相关,PM2.5、PM10.0和TSP在各区域间均呈显著正相关,且相关性随粒径增大而增大。
| 表 5 矿内不同区域各粒径粉尘质量浓度的Pearson相关系数 Tab. 5 Pearson correlation of dust concentration with different particle diameter in different areas in the mine |
| 表 6 矿外不同区域各粒径粉尘质量浓度的Pearson相关系数 Tab. 6 Pearson correlation of dust concentration with different particle diameter in different areas outside the mine |
粉尘质量浓度的日变化表明:矿内有作业时,由于夜间长波辐射冷却效应致使近地层形成的辐射逆温未完全破坏,且风速在此时段也维持在较低水平,故大气颗粒物不易扩散[27],导致清晨质量浓度较高,同时因矿坑为主要作业区,且春季夜晚时间长,逆温层的时间也随之变长,使矿坑内清晨粉尘聚集[28];之后气温升高,辐射逆温逐渐破坏,颗粒物扩散量增加,加之中午矿内大部分作业停止,粉尘质量浓度逐渐减小;而作业停止使得傍晚粉尘质量浓度再次降低。无作业时,傍晚近地面气温逐渐下降,辐射逆温逐渐形成,各区域粉尘质量浓度又达到较高水平[27-29]。矿区道路(RM)和入口(ME)粉尘质量浓度日变幅较大且值较高,说明道路扬尘是矿内粉尘的主要来源[21, 23, 30]。而矿内粉尘质量浓度无明显空间分布差异(表 2),说明矿内大气粉尘含量受各区域共同影响。
矿外因车流量变化和运输过程中的煤灰洒落及道路扬尘产生,导致运煤专线(RC)粉尘质量浓度较高且日变幅较大。矿外3个区域产尘量差异大且距离远,加之细颗粒物(PM1.0和PM2.5)在大气中较粗颗粒物(PM10.0和TSP)更易扩散[31],导致细颗粒物质量浓度无明显空间分布差异,而粗颗粒物质量浓度空间分布差异显著(P < 0.01)。
4.2 不同粒径粉尘质量浓度影响因素相关分析表明,矿内粉尘质量浓度与风速(2.4±0.3 m/s)呈显著正相关[32],可能因矿内道路均为非硬化路面,各作业区也无植被或其他抑尘措施,极易起尘,而矿外粉尘质量浓度与风速(4.0±0.1 m/s)呈弱负相关,说明风速在一定阈值内能促进粉尘扩散[33-35],其风速的影响阈值还有待进一步研究。温度与粉尘质量浓度呈显著负相关,可能因温度升高时垂直方向对流强度加强,增加各颗粒物扩散速率[36]。本研究中矿内粗颗粒物质量浓度与空气湿度呈显著负相关,这与其他研究结果[36-37]不同,可能是因空气湿度对于起尘和扩散的作用机制差异导致,具体影响机制还有待研究。此外,监测结果表明,有采矿、挖掘、车辆装卸、运输等作业活动时(图 2a),矿坑周边(MA)和矿区道路(RM)粉尘质量浓度较高,无作业时(图 2b),矿内各区域粉尘质量浓度明显下降。
矿外粉尘中只有细颗粒物(PM1.0和PM2.5)质量浓度与湿度呈显著正相关[36-37],可能因湿度大导致粉尘易在空气中滞留累积不利于粉尘扩散。在矿内有作业(图 3a)时,矿外粉尘质量浓度反而较低,说明矿内作业对矿外区域粉尘质量浓度无明显影响,可能因矿外每日有大量运煤车辆经过,道路煤尘及车辆尾气均可产生大量粉尘,故受本身区域产尘的影响更大。
4.3 矿内外不同区域各粒径粉尘质量浓度的相关性除矿区入口(ME)外,矿内其他区域各粒径粉尘质量浓度之间均呈极显著正相关,可能因其他区域均处于主要作业区范围内,大量采矿作业使各区域间的粉尘质量浓度关系密切,其中矿区道路(RM)与储煤场(CS)相关性最大,可能因储煤场内有运输车辆装卸煤面且通过道路运输到其他地方,使得两区域间的粉尘质量浓度变化相关性显著,而矿区入口(ME)与其他区域相距较远,相关性较小。
矿外各区域间相关性随粉尘粒径增大而增大,可能因矿外主要粉尘为粗颗粒物,扩散路径的不确定性较细颗粒物小。
5 结论1) 有采矿作业时,矿内各区域粉尘质量浓度整体呈清晨较高,中午降低,下午再升高,傍晚降低的趋势;无采矿作业时,各区域粉尘质量浓度在清晨和傍晚较高,其他时刻变幅较小。矿外在有无作业时粉尘质量浓度差异较小,清晨各区域质量浓度值最高,之后持续降低;
2) 矿内和矿外主要粉尘为粗颗粒物(PM10.0和TSP),各粒径粉尘在矿内各区域分布无明显差异,但在矿外粗颗粒物分布差异显著;
3) 风速、温度和湿度会显著影响矿内各粒径粉尘质量浓度,且风速影响最显著;而矿外除细颗粒物质量浓度与湿度呈显著正相关,其他粒径颗粒物与气象要素均无显著相关性;矿外粉尘质量浓度与矿内是否作业无明显关系。
4) 矿内各区域间粉尘质量浓度相关性较大,矿区大气中粉尘含量受各作业区的共同影响。
综上,在构建矿区粉尘质量浓度预警及防控技术体系时,建议重点考虑道路、矿坑、储煤场等主要作业区所产生的粗颗粒物(PM10.0和TSP),同时考虑风速和湿度对矿内外区域粉尘的不同影响。
| [1] |
JIANG X Q, MEI X D, FENG D. Air pollution and chronic airway diseases:What should people know and do?[J]. Journal of Thoracic Disease, 2016, 8(1): E31. |
| [2] |
BURGAZ S, DEMIRCIGIL G C, KARAHALIL B, et al. Chromosomal damage in peripheral blood lymphocytes of traffic policemen and taxi drivers exposed to urban air pollution[J]. Chemosphere, 2002, 47(1): 57. DOI:10.1016/S0045-6535(01)00185-0 |
| [3] |
PALLI D, RUSSO A, MASALA G, et al. DNA adduct levels and DNA repair polymorphisms in traffic-exposed workers and a general population sample[J]. International Journal of Cancer, 2001, 94(1): 121. DOI:10.1002/ijc.1433 |
| [4] |
POPE C A, BURNETT R T, THUN M J, et al. Lung cancer, cardiopulmonary mortality, and long-term exposure to fine particulate air pollution[J]. Journal of the American Medical Association, 2002, 287(9): 1132. DOI:10.1001/jama.287.9.1132 |
| [5] |
阴俊齐, 程艳, 刘江, 等. 荒漠区露天煤矿开采过程中环境监测指标体系构建研究:以五彩湾矿区为例[J]. 新疆环境保护, 2014, 36(1): 1. YIN Junqi, CHENG Yan, LIU Jiang, et al. Study on construction of environmental monitoring index system of opencast coal mining process in desert area:A case study of Wucaiwan mine[J]. Environmental Protection of Xinjiang, 2014, 36(1): 1. DOI:10.3969/j.issn.1008-2301.2014.01.001 |
| [6] |
张园园.新疆五彩湾露天煤矿生态安全评价研究[D].乌鲁木齐: 新疆大学, 2014: 22. ZHANG Yuanyuan. Evaluation on ecological security of Wucaiwan opencast mine in Xinjiang[D]. Urumgi: Xinjiang University, 2014: 22. http://cdmd.cnki.com.cn/Article/CDMD-10755-1014383723.htm |
| [7] |
郑永杰, 王梅梅, 孙萌, 等. 齐齐哈尔市PM2.5与PM10污染趋势及相关性分析[J]. 中国环境监测, 2018, 34(1): 60. ZHENG Yongjie, WANG Meimei, SUN Meng, et al. Pollution trend and correlation analysis of PM2.5 and PM10 in Qiqihar[J]. Environmental Monitoring in China, 2018, 34(1): 60. |
| [8] |
王涛, 何浩奇, 夏忠欢, 等. 2015年南京市PM2.5与PM10的污染特征[J]. 环境工程学报, 2017, 11(11): 5978. WANG Tao, HE Haoqi, XIA Zhonghuan, et al. Pollution characteristics of PM2.5 and PM10 in 2015 in Nanjing, China[J]. Chinese Journal of Environmental Engineering, 2017, 11(11): 5978. DOI:10.12030/j.cjee.201608024 |
| [9] |
苏维, 张帅珺, 赖新云, 等. 南昌市空气PM2.5和PM10的时空动态及其影响因素[J]. 应用生态学报, 2017, 28(1): 257. SU Wei, ZHANG Shuaijun, LAI Xinyun, et al. Spatiotemporal dynamics of atmospheric PM2.5 and PM10 and its influencing factors in Nanchang, China[J]. Chinese Journal of Applied Ecology, 2017, 28(1): 257. |
| [10] |
张鹏飞, 包安明, 古丽·加帕尔, 等. 新疆准东露天煤矿开采区降尘量时空特征及影响因素[J]. 水土保持通报, 2015, 35(2): 1. ZHANG Pengfei, BAO Anming, Gulii·JIAPAER, et al. Temporal and spatial characteristics of dust flux and influence factors in open-pit coalmine in East Junggar Basin in Xinjiang area[J]. Bulletin of Soil and Water Conservation, 2015, 35(2): 1. |
| [11] |
李长春, 张光胜, 姚峰, 等. 新疆准东煤田五彩湾露天矿区土壤重金属污染评估与分析[J]. 环境工程, 2014, 32(7): 142. LI Changchun, ZHANG Guangsheng, YAO Feng, et al. Assessment of soil heavy metal pollution area of Xinjiang Zhundong Wucaiwan surface coal mine[J]. Environmental Engineering, 2014, 32(7): 142. |
| [12] |
姚峰, 包安明, 古丽·加帕尔, 等. 新疆准东煤田土壤重金属来源与污染评价[J]. 中国环境科学, 2013, 33(10): 1821. YAO Feng, BAO Anming, Gulii·JIAPAER, et al. Soil heavy metal sources and pollution assessment in the coalfield of East Junggar Basin in Xinjiang[J]. China Environmental Science, 2013, 33(10): 1821. |
| [13] |
杨磊, 熊黑刚. 新疆准东煤田土壤重金属来源分析及风险评价[J]. 农业工程学报, 2018, 34(15): 273. YANG Lei, XIONG Heigang. Soil heavy metal sources analysis and risk evaluation of Zhundong coal mine in Xinjiang[J]. Transactions of the CSAE, 2018, 34(15): 273. DOI:10.11975/j.issn.1002-6819.2018.15.034 |
| [14] |
刘巍, 杨建军, 汪君, 等. 准东煤田露天矿区土壤重金属污染现状评价及来源分析[J]. 环境科学, 2016, 37(5): 1938. LIU Wei, YANG Jianjun, WANG Jun, et al. Contamination assessment and sources analysis of soil heavy metals in opencast mine of East Junggar Basin in Xinjiang[J]. Environmental Science, 2016, 37(5): 1938. |
| [15] |
杨春, 塔西甫拉提·特依拜, 侯艳军, 等. 新疆准东煤田降尘重金属污染及健康风险评价[J]. 环境科学, 2016, 37(7): 2453. YANG Chun, Tashpolat TIYIP, HOU Yan-jun, et al. Assessment of heavy metals pollution and its health risk of atmospheric dust fall from east part of Junggar Basin in Xinjiang[J]. Environmental Science, 2016, 37(7): 2453. |
| [16] |
阿尔祖娜·阿布力米提, 王敬哲, 王宏卫, 等. 新疆准东矿区土壤与降尘重金属空间分布及关联性分析[J]. 农业工程学报, 2017, 33(23): 259. Aerzuna ABULIMITI, WANG Jingzhe, WANG Hongwei, et al. Spatial distribution analysis of heavy metals in soil and atmospheric dust fall and their relationships in Xinjiang Eastern Junggar mining area[J]. Transactions of the CSAE, 2017, 33(23): 259. DOI:10.11975/j.issn.1002-6819.2017.23.034 |
| [17] |
刘巍.干旱区露天煤矿扬尘排放特征及其对周边植物的影响[D].乌鲁木齐: 新疆大学, 2017: 1. LIU Wei. The opencast mine dust characteristics in arid land and its impact on the surrounding plants[D]. Urumqi: Xinjiang University, 2017: 1. http://cdmd.cnki.com.cn/Article/CDMD-10755-1017712846.htm |
| [18] |
樊强, 李素英, 关塔拉, 等. 露天煤矿生产中产生的粉尘对周边植物和土壤的影响[J]. 北方环境, 2013, 25(9): 104. FAN Qiang, LI Suying, GUAN Tala, et al. The ecological effect on plant and soil around opencast coal mine from the mineral dust[J]. Northern Environment, 2013, 25(9): 104. |
| [19] |
高迪.干旱草原区露天煤矿粉尘排放对周边草地植物生长的影响[D].呼和浩特: 内蒙古农业大学, 2014: 1. GAO Di. Effect of coal dust on the growth of plants in grassland near coal minging in arid region[D]. Hohhot: Inner Mongolia Agricultural University, 2014: 1. http://d.wanfangdata.com.cn/Thesis/Y2601132 |
| [20] |
李玉洁, 赵娜, 曹月娥, 等. 露天煤矿煤粉沉降对矿区周边主要植物的生理影响[J]. 生态学报, 2018, 38(22): 8129. LI Yujie, ZHAO Na, CAO Yue'e, et al. Effects of coal dust deposition on the physiological properties of plants in an open pit coal mine[J]. Acta Ecologica Sinica, 2018, 38(22): 8129. |
| [21] |
边梦龙. 露天煤矿穿孔与运输作业期间PM2.5粉尘浓度分布规律[J]. 煤矿安全, 2015, 46(4): 50. BIAN Menglong. PM2.5 Dust concentration distribution Law of open pit coal mine during perforation and transportation[J]. Safety in Coal Mines, 2015, 46(4): 50. |
| [22] |
郭二果, 张树礼, 蔡煜, 等. 干旱半干旱地区露天煤矿无组织扬尘排放特征[J]. 中国煤炭, 2012, 38(1): 117. GUO Erguo, ZHANG Shuli, CAI Yu, et al. Fugitive dust emission characteristic of the open-pit coal mine in arid and semiarid area[J]. China Coal, 2012, 38(1): 117. DOI:10.3969/j.issn.1006-530X.2012.01.029 |
| [23] |
杜翠凤, 陈胜. 露天矿粉尘源强分析及贡献率实验研究[J]. 工业安全与环保, 2014, 40(10): 76. DU Cuifeng, CHEN Sheng. Analysis on dust resource intension for open pit mines and experimental study on the contribution rate[J]. Industrial Safety and Environmental Protection, 2014, 40(10): 76. DOI:10.3969/j.issn.1001-425X.2014.10.024 |
| [24] |
MAZZARELLA G, LUCARIELLO A, BIANCO A. Exposure to submicron particles (PM1.0) from diesel exhaust and pollen allergens of human lung epithelial cells induces morphological changes of mitochondria tonifilaments and rough endoplasmic reticulum[J]. Vivo, 2014, 28(4): 557. |
| [25] |
徐文体, 李琳. PM10和PM2.5与人类健康效应关系的研究进展[J]. 职业与健康, 2014, 30(11): 1556. XU Wenti, LI Lin. Research progress on the relationship between PM10, PM2.5 and human health efficacy[J]. Occupation and Health, 2014, 30(11): 1556. |
| [26] |
黄元龙, 杨新. 大气细颗粒物对大气能见度的影响[J]. 科学通报, 2013, 58(13): 1165. HUANG Yuanlong, YANG Xin. Influence of fine particulate matter on atmospheric visibility[J]. Chinese Science Bulletin, 2013, 58(13): 1165. |
| [27] |
韩茜, 魏文寿, 刘新春, 等. 乌鲁木齐市PM10、PM2.5和PM1.0浓度及分布变化特征[J]. 沙漠与绿洲气象, 2015, 9(1): 32. HAN Xi, WEI Wenshou, LIU Xinchun, et al. Characteristic of the concentration and distribution of PM10, PM2.5 and PM1.0 in Urumqi[J]. Desert and Oasis Meteorology, 2015, 9(1): 32. DOI:10.3969/j.issn.1002-0799.2015.01.006 |
| [28] |
汤万钧, 才庆祥. 露天矿内粉尘聚集机理及影响因素分析[J]. 矿业安全与环保, 2017, 44(4): 95. TANG Wanjun, CAI Qingxiang. Analysis on dust accumulation mechanism and influencing factors in open pit mine[J]. Mining Safety & Environmental Protection, 2017, 44(4): 95. DOI:10.3969/j.issn.1008-4495.2017.04.022 |
| [29] |
黄丽坤, 王琨, 王广智, 等. 哈尔滨市大气中TSP、PM10和PM2.5相关性分析[J]. 化学与黏合, 2014, 36(6): 463. HUANG Likun, WANG Kun, WANG Guangzhi, et al. Analysis of the correlation of TSP, PM10 and PM2.5 in Harbin atmosphere[J]. Chemistry and Adhesion, 2014, 36(6): 463. |
| [30] |
谭卓英, 赵星光, 刘文静, 等. 露天矿公路扬尘机理及抑尘[J]. 北京科技大学学报, 2005, 27(4): 403. TAN Zhuoying, ZHAO Xingguang, LIU Wenjing, et al. Road dust formation and suppression in an open pit[J]. Journal of University of Science and Technology Beijing, 2005, 27(4): 403. DOI:10.3321/j.issn:1001-053X.2005.04.005 |
| [31] |
GEHRIG R, BUCHMANN B. Characterizing seasonal variations and spatial distribution of ambient PM10 and PM2.5 concentrations based on long-term Swiss monitoring data[J]. Atmospheric Environment, 2003, 37(19): 2571. DOI:10.1016/S1352-2310(03)00221-8 |
| [32] |
杨蕊, 周巧巧, 丁小慧, 等. 青羊湖国家森林公园大气PM1.0、PM2.5及PM10.0浓度变化[J]. 湖南林业科技, 2018, 45(1): 60. YANG Rui, ZHOU Qiaoqiao, DING Xiaohui, et al. Concentration changes of PM1.0, PM2.5 and PM10.0 in air in the Qingyang Lake National Forest Park[J]. Hunan Forestry Science & Technology, 2018, 45(1): 60. DOI:10.3969/j.issn.1003-5710.2018.01.012 |
| [33] |
覃国荣.保定市PM10和PM2.5污染特征研究[D].河北保定: 河北大学, 2014: 31. QIN Guorong. Study on pollution characteristics of PM10 and PM2.5 in urban Baoding[D]. Baoding, Hebei: Hebei University, 2014: 31. http://www.wanfangdata.com.cn/details/detail.do?_type=degree&id=D530997 |
| [34] |
郎凤玲, 闫伟奇, 张泉, 等. 北京大气颗粒物数浓度粒径分布特征及与气象条件的相关性[J]. 中国环境科学, 2013, 33(7): 1153. LANG Fengling, YAN Weiqi, ZHANG Quan, et al. Size distribution of atmospheric particle number in Beijing and association with meteorological conditions[J]. China Environmental Science, 2013, 33(7): 1153. |
| [35] |
马筛艳. 2000-2012年银川市PM10浓度统计特征及其气象影响因子研究[D].兰州: 兰州大学, 2013: 27. MA Shaiyan. A study on statistical characteristics and influenceing meteorlogical factors of PM10 concentrations in Yinchuan city during 2000-2012[D]. Lanzhou: Lanzhou University, 2013: 27. http://cdmd.cnki.com.cn/Article/CDMD-10730-1014131722.htm |
| [36] |
刘芳, 塔西甫拉提·特依拜, 高宇潇, 等. 新疆准东露天煤矿开采区PM10和PM2.5污染特征[J]. 煤炭学报, 2016, 41(12): 3062. LIU Fang, Tashpolat TIYIP, GAO Yuxiao, et al. Pollution characteristics of PM10 and PM2.5 around the opencast coal mining area of east Junggar Basin in Xinjiang[J]. Journal of China Coal Society, 2016, 41(12): 3062. |
| [37] |
倪洋, 涂星莹, 朱一丹, 等. 北京市某地区冬季大气细颗粒物和超细颗粒物污染水平及影响因素分析[J]. 北京大学学报(医学版), 2014, 46(3): 389. NI Yang, TU Xingying, ZHU Yidan, et al. Concentrations of fine particulate matters and ultrafine particles and influenced factors during winter in an area of Beijing[J]. Journal of Peking University (Health Sciences), 2014, 46(3): 389. DOI:10.3969/j.issn.1671-167X.2014.03.010 |
2020, Vol. 18 
