-
项目名称
- 国家重点研发计划"基于调水净水功能提升的小流域尺度景观格局优化调配"(2017YFC0504604-04)
-
第一作者简介
- 张鹏(1996—), 男, 硕士研究生。主要研究方向:土壤水分。E-mail:2068400568@qq.com
-
通信作者简介
- 王冬梅(1963—), 女, 教授, 博士。主要研究方向:流域治理, 生态修复等。E-mail:dmwang@126.com
-
文章历史
-
收稿日期:2019-09-03
修回日期:2019-09-16
土壤水分是土壤-植物-大气连续体中四水(大气水、地表水、土壤水和潜水)转换的一个重要环节,在SPAC系统中处于核心地位[1]。在西北半干旱地区,土壤水分更是限制植被生长和生态修复的关键因素之一。土壤水分受到气候、地形、土层深度、植被类型、土地利用方式及土地覆盖状况等因素综合影响具有时空变异性,而有效水和土壤水相关性较高[2],亦具有时间变异性和时间稳定性。土壤有效水是土壤水分中可被植物利用的部分,可以清楚地反映土壤水分的真实情况,相对于土壤水,土壤有效水是更好的观察对象。
Vachaud等[3]最早提出时间稳定性的概念,将土壤水分空间模式随着时间变化的相似性称为时间稳定性现象。研究发现土壤水分的时间稳定性具有深度依赖性[4-7]和季节依赖性[8-9],而影响土壤水分稳定性的因素是多方面的。不同质地土壤显著影响土壤含水量的稳定性[4];深剖面土壤水分时间稳定性的垂直分布受土地利用方式的影响而呈现较大差异[10];土壤水分状况与时间稳定性之间存在显著的负相关,Gao等[6]研究发现干旱条件比湿润条件下的时间稳定性略高。而实验设计对时间稳定性影响较小,Guber[11]在对比每10 min,每2 h,每d和每周收集的数据,发现采样频率对土壤水分瞬时稳定性的影响不明显;同样,测点间距对各点的时间稳定性影响很小[5]。此外,土壤储水量和土壤水势也具有时间稳定性,土壤蓄水量的时间稳定性随深度的增加而增加[13]。根系是影响SWS时间稳定性的主要因素[14],而土壤水吸力的稳定性在干湿交替时最差[15],灌溉对土壤水势时间稳定性影响显著。尽管众多学者对含水量、储水量、水势的时间稳定性进行了研究,但是土壤有效水时间稳定性的研究较少,高寒丘陵区有效水时间稳定性的系统研究鲜有报道。有效水的时间稳定性研究,一方面填补了高寒丘陵区的空白,另一方面指导了研究区不同土层土壤有效水分监测点的合理布置,从而实现对研究区土壤有效水的预测,对了解高寒丘陵区生态水文和土壤水文过程具有重要意义,为土壤水分管理和小流域的植被配置优化提供了有力的支持。
1 研究区概况研究区安门滩小流域地处青海省西宁市大通回族土族自治县(E 101.67°,N 36.9°),大通县地处青海省东部,祁连山东段的南麓,山区面积占96.5%,森林覆盖率为38.1%,县域东接黄土高原,西接青藏高原,属于两大高原的过渡区,属于高原大陆性气候,年均温度为2.8 ℃,年较差与日较差均较大,县域无霜期一般70~120 d,植物生长季节5—9月,期间降雨达400~600 mm,约占全年降水量的87%左右,雨热基本同季,样地海拔2 330~2 560 m,是典型的高寒黄土丘陵区小流域。土壤类型以山地棕褐土和栗钙土为主,在小流域内植被主要有青海云杉(Picea crassifolia)、祁连圆柏(Juniperus przewalskii)、华北落叶松(Pinus tabulaeformis Carr.)等人工恢复植被。
2 材料与方法 2.1 中子仪测定及土壤有效水计算在大通县内安门滩小流域沿坡面等高线取点,水平距离20 m,垂直距离20 m,平均坡度24°,共55个测点,测点位置如图 1。2018年5月15日至2018年8月15日用CNC503B型中子仪测定土壤含水率,每15 d测定在1次,共计7次(7月6日有强降雨,补充1次)。测定时,每隔20 cm测定1次土壤含水率,每层测定3次,取平均值作为该层土壤的中子数,并用烘干法标定;一般地,土壤凋萎湿度主要受土壤颗粒组成影响,而地形、土层深度和土地利用类型均能够显著影响黏粒含量的空间分布[16]。因此对不同的土地利用类型(表 1),分别计算各其凋萎湿度;对小流域内主要植被类型(青海云杉、祁连圆柏、荒草地、华北落叶松),选择典型坡面,沿坡面自上而下,利用环刀(高5 cm,直径5 cm)在0~20、>20~40和>40~60 cm土层各取3个原状土,带回实验室分析,每个坡面上取3个标准地,共12个标准地,每个标准地各取1个水分点,采用高速离心机确定土壤水分特征曲线。由于黄土高原土层凋萎湿度20 cm以下变异较小[17],因此60~80 cm和80~100 cm均采用20~60 cm和40~80 cm凋萎湿度的算术平均值。
|
图 1 测点及样点布设位置图 Fig. 1 Locations of measuring points and sample points in study area |
笔者综合利用经典统计法和时间稳定性分析2种方法分析土壤有效水体积含水量时间稳定性。
2.2.1 经典统计方法变异系数(CV)反映随机变量的离散程度,即土壤水分变异性的强弱:
| $ $${C_{\rm{V}}} = {\mathit{\sigma } \over \mathit{\mu }}$$。$ | (1) |
式中:σ为标准差;μ为样本均值。根据变异程度的大小可分为3级,弱变异(CV<0.1)、中等变异(0.1<CV<1)、强变异(CV≥1)。
| 表 1 不同植被类型水分点概况及凋萎系数 Tab. 1 Water point profile and wilting coefficient of different vegetation types |
目前,时间稳定性研究方法主要有3种:通常采用Spearman秩相关系数、累积概率和相对差分3种方法来研究土壤水分的时间稳定性[18]。
Spearman秩相关系数表明不同时间条件下不同空间位置土壤含水率的秩随时间变化特征[19],计算公式为
| $ {r_{\rm{s}}} = 1 - 6\sum\limits_{i = 1}^N {\frac{{{{({R_{ij}} - {R_{ik}})}^2}}}{{N({N^2} - 1)}}}。$ | (2) |
式中:j、k为不同的测时间(1≤j,k≤10);Rij、Rik分别为观测位置i在测定时间j、k下土壤含水率观测值的秩;n为土壤水分点的数量,n取55个。
累积概率函数。通过计算各测定时间下各测点土壤有效水含水率的累积概率函数,然后分析判断不同测定时间各测点土壤含水量是否保持相同的累积概率。
相对差分法。测点i在观测时间j的土壤含水率相对差分δij的计算公式为
| $ {\delta _{ij}} = \frac{{{\theta _{ij}} - {{\bar \theta }_j}}}{{{\mathit{\theta }_\mathit{j}}}}。$ | (3) |
其中
| $ {{\bar \theta }_j} = \frac{1}{N}\sum\limits_{J = 1}^N {{\theta _{ij}}} 。$ | (4) |
式中:θij为点i在时间j下的土壤含水率观测值;θj为时间j下所有测点土壤含水率的平均值。
因此测点i处的相对差分平均值δi和相对差分标准差σ(δi)的计算公式分别为:
| $ {{\bar \delta }_i} = \frac{1}{m}\sum\limits_{j = 1}^m {{\delta _{ij}}};$ | (5) |
| $ \sigma ({\delta _i}) = \sqrt {\frac{1}{{m - 1}}\sum\limits_{j = 1}^m {{{({\delta _{ij}} - {\delta _i})}^2}} }。$ | (6) |
式中m为观测次数,m=7。
3 结果与讨论 3.1 土壤有效水体积含水量的时空变化特征如图 2和3,研究期内,浅层土壤(0~20 cm)有效水含量较低,最高为4.56%,深层土壤(>20~100 cm)有效水含量较高,范围7.17%~13.0%。而变异系数相反,浅层土壤有效水变异系数较高,表现为强变异性,深层土壤有效水变异系数均<1,表现为中等变异性。在时间轴上,随着降雨频率和降雨量的增加,土壤有效水含量呈现先减小后增加的趋势,变异系数也发生剧烈波动。表层土壤易受降雨、蒸发影响,而青海云杉、华北落叶松、祁连圆柏均为浅根性树种,根系主要分布在40~60 cm,大量的根系减弱了降雨对深层土壤水分的扰动,土层之间的相互作用和根系分布使深层土壤相对稳定。可以看出:表层土壤有效水含量最低,且土壤有效水具有明显季节性特征。旱季土壤有效水以消耗为主,含量明显偏低;雨季以补充为主,含量较高[20-21],而土壤有效水变异系数则相反,6月15日前波动均较小,雨季到来后,各层土壤有效水均产生较高波动,变异系数变化较大,发现干旱条件下的变异系数相对于湿润条件小。这与白一茹等[22]在黄土高原雨养区的研究结果一致。
|
图 2 降雨量和土壤分层有效水含量随时间的动态关系折线图 Fig. 2 Dose diagram of dynamic relationship between rainfall and soil stratification effective moisture content over time |
|
图 3 分层土壤有效水变异系数 Fig. 3 Variation coefficient of stratified soil effective moisture |
表 2是研究区20~100 cm 4个不同深度土壤有效水含水率在各测定时间对之间的Spearman秩相关系数矩阵。由表可知,除5月15日和8月14日的Spearman秩相关系数值为0.681,其他时间段的值均高于0.75,且极显著相关,表明研究区小流域20~100 cm土壤的有效水在整个观测期间都有较高的时间稳定性。不同时间段随土层的加深,秩相关系数呈波动上升状态。不同深度土层有效水秩相关系数在研究期内均随着时间推移不断降低,相邻时间段的秩相关系数最大,间隔时间越长,秩相关系数越小,时间间隔与相关系数呈负相关。7月6日的秩相关系数明显下降,结合前日强降雨,说明降雨量对土壤有效水的稳定性有一定影响。降雨会增加土壤水分分布格局的时间稳定性[23],但短时间的强降雨反而会破坏土壤水分的稳定性,对总体变化趋势影响较小。总之,时间稳定性表现出与时间相关的变化趋势,采样时间越接近,相关系数越大,随着时间滞后的增加有减小趋势。这一结果证明高寒丘陵区土壤有效水在植物生长期内具有较高的时间稳定性,且土壤有效水的时间稳定性是具有期限性得。
| 表 2 不同土层深度的土壤有效水的Spearman秩相关系数矩阵 Tab. 2 Spearman rank correlation coefficient matrix of soil effective moisture in different soil depths |
累积概率函数是判断具体测点时间稳定性的有效方法,通过分析不同测定时间各测点土壤含水率累积概率的相似性来判断时间稳定性的强弱。在整个观察期内0~100 cm土壤有效水含水量平均值最大为8月14日的9.93%,最小为7月30日的7.27%,代表了干旱和湿润2种水分条件。0~20 cm土层有效水普遍接近0,变化较小,忽略不计;图 4可以看出,在干旱、湿润两种极端条件下,相同秩次,>20~40 cm土层有效水差值最大,>80~100 cm差值最小,>20~40 cm土层仅有9号, 33号2个点保持相同累积概率,>40~60、>60~80和>80~100 cm分别有5、4、7个点保持相同累积概率,发现只有较少的测点能在2种极端水分条件下保持相同的土壤有效水累积概率值,这与Brocca等[24]的研究结果一致。同时在深层保持相同累积概率的测点数比浅层数量多,累积概率位置变化小,主要由于浅层土壤易受气候、地形等因子扰动,在土壤水分条件由干旱状态转变为湿润状态这一过程中,深层土壤有效水空间分布格局的时间稳定性更强。
|
图 4 干旱和湿润条件下不同土层深度土壤有效水的累积概率(注:图中数字代表测点) Fig. 4 Cumulative probability of the soil effective moisture on different depths in the dry and wet conditions (Note: The numbers represent the measuring points) |
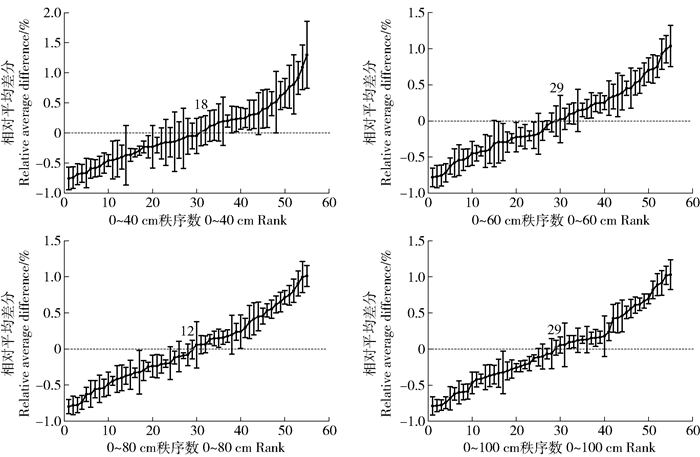
图 5为55个测点的土壤有效水含量平均相对偏差由小到大的排序结果,图中数字为测点序号,垂直误差线为各测点平均相对偏差的标准差。由图 5可知,0~20 cm土层有效水含量普遍接近于0,导致土壤有效水含水量平均相对偏差及平均相对偏差的标准差误差较大,无实际分析意义;>20~40、>40~60、>60~80和>80~100 cm土层土壤有效水平均相对偏差(MRD)平均相对偏差的标准差(SDRD),随土层厚度的增加,波动范围都逐渐减小,表明样点土壤有效水时间稳定性随土层厚度增加而增强,这与张帅普等[25]和潘颜霞等[26]在荒漠地区的研究结果一致。
|
图 5 不同厚度土层的有效水含量的相对偏差及标准差(注:图中数字代表测点) Fig. 5 Relative deviation and standard deviation of effective moisture content in different thickness soil layers (Note: the numbers in the figure represent measuring points) |
根据平均相对偏差接近于0且SDRD较小的原则选择代表点,在观测时段内,测点18、测点29、测点12、测点29可分别代表 0~40、0~60、0~80和0~100 cm土层土壤有效水均值。为验证代表性测点的合理性,对观测时段内不同土层土壤水分均值与代表性测点作回归分析发现,决定系数的变化范围在0.668 2~0.811 7,表明各代表性测点与相应土层土壤有效水均值的相关性较高,可以较准确的估计研究区域各土层的平均土壤含水率。均方根误差和平均偏差分别介于0.339~0.949和-0.19~0.37,均方根误差和平均偏差均较小说明代表性测点的土壤含水率与研究区各层的平均土壤含水率的关系密切,差异较小。
| 表 3 最佳代表测点估算样地平均土壤含水率的精度参数 Tab. 3 Accuracy parameters of estimated field mean soil moisture content in the best representative measuring points |
基于对青海大通高寒丘陵区暗门滩小流域坡面上55个测点在7个时段的5个土层厚度的土壤有效水体积含水量的实地测定和数据分析,得出主要结论如下:
1) 研究区各土层土壤有效水含水量旱季减小,雨季增加。表层土壤有效水(0~20 cm)受降雨、蒸发影响显著,表现为强变异性,无时间稳定性;深层土壤有效水(>20~100 cm)由于根系分布及深层土壤相互作用均表现为中等变异性,有较高的时间稳定性。
2) Spearman秩相关系基本均高于0.75,且呈现出极显著相关,表明土壤有效水的时间稳定性在空间上是相关的,表层有效水除外。稳定性表现出与时间相关的变化趋势,采样时间越接近,相关系数越大,随着时间滞后的增加有减小趋势, 强降雨会破坏土壤瞬时稳定性,对整个研究期内影响不大。
3) 较少的测点能在2种极端水分条件下保持相同的土壤有效水累积概率值,在土壤干湿交替这一过程中,深层土壤有效水空间分布格局的时间稳定性更强。
4) 随着土壤深度的增加,土壤有效水的时间稳定性也相应增强,通过相对差分分析,选择测点18、测点29、测点12、测点29分别代表本研究区该时段内0~40,0~60,0~80,0~100 cm土层的土壤平均有效水含水率,验证准确度较高,精度要求不高时,可用于小流域各层土壤有效水估算。
| [1] |
阳园燕, 郭安红, 安顺清, 等. 土壤-植物-大气连续体(SPAC)系统中植物根系吸水模型研究进展[J]. 气象科技, 2004, 32(5): 316. YANG Yuanyan, GUO Anhong, AN Shunqing, et al. Research progress on plant root water uptake model in soil-plant-atmosphere continuum (SPAC) system[J]. Meteorological Science and Technology, 2004, 32(5): 316. DOI:10.3969/j.issn.1671-6345.2004.05.003 |
| [2] |
高晓东.黄土丘陵区小流域土壤有效水时空变异与动态模拟研究[D].北京: 中国科学院研究生院(教育部水土保持与生态环境研究中心), 2013;69. GAO Xiaodong. Temporal and spatial variability and dynamic simulation of soil available water in a small watershed in the loess hilly region[D]. Beijing: Graduate School of Chinese Academy of Sciences (Center for Soil and Water Conservation and Eco-Environmental Research, Ministry of Education), 2013: 69. http://d.wanfangdata.com.cn/Thesis/Y2334078 |
| [3] |
VACHAUD G, DE SILANS A P, BALABANIS P, et al. Temporal stability of spatially measured soil water probability density function[J]. Soil Science Society of America Journal, 1985, 49(4): 822. DOI:10.2136/sssaj1985.03615995004900040006x |
| [4] |
HU W, SHAO M, Han F, et al. Watershed scale temporal stability of soil water content[J]. Geoderma, 2010, 158(3/4): 181. |
| [5] |
ZHANG S, SHAO M. Temporal stability of soil moisture in an oasis of northwestern China[J]. Hydrological Processes, 2017, 31(15): 2725. DOI:10.1002/hyp.11200 |
| [6] |
GAO X, WU P, ZHAO X, et al. Estimating spatial mean soil water contents of sloping jujube orchards using temporal stability[J]. Agricultural Water Management, 2011, 102(1): 66. |
| [7] |
赵文举, 李晓萍, 范严伟, 等. 西北旱区压砂地土壤水分的时空分布特征[J]. 农业工程学报, 2015, 31(17): 144. ZHAO Wenju, LI Xiaoping, FAN Yanwei, et al. Temporal and spatial distribution characteristics of soil moisture in sandy soils in the arid area of Northwest China[J]. Transactions of the CSAE, 2015, 31(17): 144. DOI:10.11975/j.issn.1002-6819.2015.17.019 |
| [8] |
PENNA D, BROCCA L, BORGA M, et al. Soil moisture temporal stability at different depths on two alpine hillslopes during wet and dry periods[J]. The Journal of the Sans, 2013, 477: 55. |
| [9] |
ZHANG P, SHAO M A, ZHANG X. Temporal stability of soil moisture on two transects in a desert area of northwestern China[J]. Environmental Earth Sciences, 2016, 75(2). |
| [10] |
冉有华, 李新, 王维真, 晋锐.黑河流域临泽盐碱化草地网格尺度多层土壤水分时空稳定性分析[J].地球科学进展, 2009, 24(7):817. RAN Youhua, LI Xin, WANG Weizhen et al. Temporal and spatial stability analysis of multi-layer soil moisture in the grid scale of Linze saline-alkaline grassland in Heihe River Basin[J]. Advances in Earth Science, 2009, 24(7):817. http://www.irgrid.ac.cn/handle/1471x/645849 |
| [11] |
GUBER A K, GISH T J, PACHEPSKY Y A, et al. Temporal stability in soil water content patterns across agricultural fields[J]. CATENA, 2008, 73(1): 125. DOI:10.1016/j.catena.2007.09.010 |
| [12] |
韩晓阳, 刘文兆, 程立平. 黄土塬区深剖面土壤水分垂直分布特征及其时间稳定性[J]. 应用生态学报, 2017, 28(2): 430. HAN Xiaoyang, LIU Wenzhao, CHENG Liping. Verticaldistribution characteristics and temporal stability of soil moisture in deep section of Loess Plateau[J]. Chinese Journal of Applied Ecology, 2017, 28(2): 430. |
| [13] |
LI Danfeng, SHAO Ming'an. Temporal stability of soil water storage in three landscapes in the middle reaches of Heihe River, northwestern China[J]. Environmental Earth Sciences, 2015, 73(7): 3095. DOI:10.1007/s12665-014-3604-z |
| [14] |
CHENG S, LI Z, X UG, et al. Temporal stability of soil water storage and its influencing factors on a forestland hillslope during the rainy season in China's Loess Plateau[J]. Environmental Earth Sciences, 2017, 76(15). |
| [15] |
信秀丽, 张佳宝, 朱安宁. 土壤水吸力空间分布规律的时间稳定性研究[J]. 农业工程学报, 2008(5): 15. XIN Xiuli, ZHANG Jiabao, ZHU Anning. Time stability of spatial distribution of soil water suction[J]. Transactions of the CSAE, 2008(5): 15. DOI:10.3321/j.issn:1002-6819.2008.05.004 |
| [16] |
高晓东, 吴普特, 张宝庆, 等. 黄土丘陵区小流域土壤有效水空间变异及其季节性特征[J]. 土壤学报, 2015, 52(1): 57. GAO Xiaodong, WU Pute, ZHANG Baoqing, et al. Spatial variability and seasonal characteristics of soil available water in small watershed in loess hilly region[J]. Acta Pedologica Sinica, 2015, 52(1): 57. |
| [17] |
ZHANG S, SHAO M. Temporal stability of soil moisture in an oasis of northwestern China[J]. Hydrological Processes, 2017, 31(15): 2725. DOI:10.1002/hyp.11200 |
| [18] |
蔺鹏飞, 朱喜, 何志斌, 等. 土壤水分时间稳定性研究进展[J]. 生态学报, 2018, 38(10): 3403. LIN Pengfei, ZHU Xi, HE Zhibin, et al. Research progress on soil water time stability[J]. Chinese Journal of Ecology, 2018, 38(10): 3403. |
| [19] |
薛丽华, 段俊杰, 王志敏, 等. 不同水分条件对冬小麦根系时空分布、土壤水利用和产量的影响[J]. 生态学报, 2010, 30(19): 5296. XUE Lihua, DUAN Junjie, WANG Zhimin, et al. Effects of different water conditions on spatial and temporal distribution, soil water use and yield of winter wheat roots[J]. Chinese Journal of Ecology, 2010, 30(19): 5296. |
| [20] |
BROCCA D D, LAKSHMI V, JACKSON T J, et al. Soil mois-ture temporal stability over experimental areas in Cen-tral Italy[J]. Geoderma, 2009, 148(3/4): 364. |
| [21] |
黄仲冬, 齐学斌, 樊向阳, 等. 土壤水分有效性及其影响因素定量分析[J]. 水土保持学报, 2014, 28(5): 71. HUANG Zhongdong, QI Xuebin, FAN Xiangyang, et al. Quantitative analysis of soil water availability and its influencing factors[J]. Journal of Soil and Water Conservation, 2014, 28(5): 71. |
| [22] |
刘继龙, 马孝义, 张振华, 等. 果园土壤水分时间稳定性研究[J]. 应用基础与工程科学学报, 2014, 22(4): 698. LIU Jilong, MA Xiaoyi, ZHANG Zhenhua, et al. Time stability of soil moisture in orchard[J]. Journal of Basic Science and Engineering, 2014, 22(4): 698. |
| [23] |
吕文强, 王立, 党宏忠, 等. 黄土高原坡面带状植被土壤水分有效性的空间分异特征[J]. 水土保持学报, 2015, 29(6): 233. LU Wenqiang, WANG Li, DANG Hongzhong, et al. Spatial heterogeneity of soil water availability in strip vegetation on the Loess Plateau[J]. Journal of Soil and Water Conservation, 2015, 29(6): 233. |
| [24] |
白一茹, 邵明安. 黄土高原雨养区坡面土壤蓄水量时间稳定性[J]. 农业工程学报, 2011, 27(7): 45. BAI Yiru, SHAO Mingan. Time stability of soil water storage on slopes in rain-fed areas of the Loess Plateau[J]. Transactions of the CSAE, 2011, 27(7): 45. DOI:10.3969/j.issn.1002-6819.2011.07.008 |
| [25] |
张帅普, 邵明安, 李丹凤. 绿洲-荒漠过渡带土壤蓄水量的空间分布及其时间稳定性[J]. 应用生态学报, 2017, 28(8): 2509. ZHANG Shuaipu, SHAO Ming'an, LI Danfeng. Spatial distribution and temporal stability of soil water storage in the oasis-desert transition zone[J]. Chinese Journal of Applied Ecology, 2017, 28(8): 2509. |
| [26] |
潘颜霞, 王新平, 苏延桂, 等. 荒漠人工固沙植被区浅层土壤水分动态的时间稳定性特征[J]. 中国沙漠, 2009, 29(1): 81. PAN Yanxia, WANG Xinping, SU Yangui, et al. Time stability characteristics of shallow soil moisture dynamics in desert artificial sand-fixing vegetation area[J]. China Desert, 2009, 29(1): 81. |
2019, Vol. 17 
