文章信息
- 李万才, 李吉玫, 张毓涛, 师庆东
- LI Wancai, LI Jimei, ZHANG Yutao, SHI Qingdong
- 不同功能区林下土壤多环芳烃分布特征及来源分析
- Characteristics and sources of polycyclic aromatic hydrocarbons in soils under the forest belts from different functional zones
- 森林与环境学报,2020, 40(2): 140-148.
- Journal of Forest and Environment,2020, 40(2): 140-148.
- http://dx.doi.org/10.13324/j.cnki.jfcf.2020.02.005
-
文章历史
- 收稿日期: 2019-10-04
- 修回日期: 2020-02-10
2. 新疆林业科学院森林生态研究所, 新疆 乌鲁木齐 830002;
3. 新疆天山森林生态系统国家定位观测研究站, 新疆 乌鲁木齐 830063
2. Institute of Forest Ecology, Xinjiang Academy of Forestry, Urumqi, Xinjiang 830002, China;
3. Xinjiang Tianshan Forest Ecosystem National Observation and Research Station, Urumqi, Xinjiang 830063, China
多环芳烃(polycyclic aromatic hydrocarbons, PAHs)是指分子中含有两个或两个以上苯环的碳氢化合物,其中含有4个及以上苯环的为高环多环芳烃,4个以下苯环的为低环多环芳烃。PAHs是广泛存在、散布于环境中的持久性有机污染物[1-2],具有致癌、致畸和致突变等特性,会对生态系统和人体健康构成严重危害[2-3],其主要来源可划分为石油源、汽车尾气、石油等燃烧源、生物质燃烧。随着城市化进程的加剧和工业化的快速发展,越来越多的PAHs输入到环境中[4-8]。鉴于PAHs的危害性,多数国家已将其列为优先控制的环境污染物之一[9]。
城市林下土壤是PAHs积累、迁移和转化的重要介质和载体,是多环芳烃的“汇”[5-7]。由于PAHs的分子量较大,且具有疏水性和亲脂性,容易被长期吸附在土壤中[9-10],从而导致污染物在土壤中持续性积累。近年来,林下土壤PAHs越来越受到关注,如研究了PAHs进入土壤中发生的输入、运转、沉降、吸附、消散等地球化学过程[1-3, 11]。JAROSLAW et al[12]在波兰选择受不同干扰强度的森林土壤,对比分析了人类活动对森林土壤中PAHs特征的影响;赵香爱[13]研究了PAHs在森林土壤和植物叶中的分布行为;田晓雪[14]研究了珠江三角洲地区森林吸收大气PAHs机制;杨靖宇等[15]分析了南京不同功能区林地土壤PAHs含量及其与土壤有机碳的关系;张娟等[16]、闫婷婷等[17]分别分析了北京绿地、西安不同功能区土壤PAHs含量。已有研究表明距污染源距离、土壤有机物含量、土地利用类型、气候等是影响PAHs进入土壤后发生地球化学变化的重要因子。本文旨在通过林下土壤中PAHs的含量及特征反映出的各功能区污染状况和来源等信息,为城市土壤PAHs污染研究及防治提供支持。
1 材料与方法 1.1 研究区概况乌鲁木齐总面积为1.42×106 hm2,绿地覆盖面积达2.99×104 hm2,园林绿地面积2.88×104 hm2,公园29个,公园绿地面积3.60×103 hm2,人均公园绿地面积16.14 m2[18]。据统计,乌鲁木齐现有污染企业963家,煤炭消费量为2.13×1010 kg,工业废水排放量为3.34×1010 kg,工业废气排放量为3.70×1011 m3, SO2排放量为4.16×1011 kg,粉尘排放量为3.98×1011 kg[18]。
1.2 采样点布设和样品采集参考闫婷婷等[17]、姚成等[19]对城市森林功能区的划分原则,依据土壤中PAHs主要潜在来源的不同,选择乌鲁木齐市工业区、交通区、居民区和公园区各功能区分布的林带作为试验采样区。其中工业废水、废气、粉尘污染是工业区林带土壤中PAHs的主要潜在来源;车辆集中排放的污染物是交通区PAHs的潜在来源;生活产生的废气、废水及生活垃圾是居民区PAHs的主要潜在来源;公园区PAHs的主要潜在来源为污染物的大气沉降,水中污染物的迁移等。每种功能区林带内各设置8处采样点,共计32处(图 1)。每处采样点重复布设3个4 m×25 m的样地(带),其中交通区地块因道路林带宽度限制,需在道路两旁分别布设两个2 m×25 m的样地(带),共计100 m2。在样地(带)内按对角线法均匀布设5个采样点,用土钻采集0~10、10~20 cm的土壤,均匀混合后,剔除石砾、动植物残体等杂质后装入棕色玻璃瓶带回实验室,冷冻干燥处理后研磨过100 mm筛,并于冰箱中保存,待测PAHs。调查样地(带)基本信息如表 1所示。
|
图 1 不同功能区林带土壤采样点 Fig. 1 Sample plots of forest belt in different functional zones |
| 功能区林带Forest belts in function zones | 树种组成Tree species | 植株密度Plant density/(tree·m-2) | 郁闭度Canopy | 平均树高Average height/m | 平均胸径Average diameter at breast height/cm |
| 工业区 Industrial zone |
榆树Ulmus pumila、白蜡Fraxinus chinensis、紫穗槐Amorpha fruticosa | 0.426±0.113 | 0.4±0.1 | 6.4±2.3 | 4.1±1.6 |
| 交通区 Transport zone |
火炬树Rhus typhina、暴马丁香Syringa reticulata、榆树Ulmus pumila、白蜡Fraxinus chinensis、紫穗槐Amorpha fruticose、黄金树Catalpa speciosa | 0.154±0.050 | 0.4±0.1 | 6.3±2.2 | 4.7±1.1 |
| 公园区 Park zone |
火炬树Rhus typhina、暴马丁香Syringa reticulata、榆树Ulmus pumila、白蜡Fraxinus chinensis、紫穗槐Amorpha fruticose、黄金树Catalpa speciosa、水曲柳Fraxinus mandschurica、夏橡Quercus robur、丝棉木Euonymus maackii、柳树Salix babylonica、海棠Malus spectabilis、黄果山楂Crataegus flava | 0.259±0.063 | 0.7±0.1 | 13.2±2.0 | 7.0±2.7 |
| 居民区 Living zone |
丝棉木Euonymus maackii、榆树Ulmus pumila、白蜡Faxinus chinensis、暴马丁香Syringa reticulata、紫穗槐Amorpha fruticosa | 0.141±0.044 | 0.5±0.1 | 9.6±1.5 | 6.1±2.3 |
正己烷(分析纯,美国TEDIA天地试剂)、二氯甲烷(分析纯,美国TEDIA天地试剂),使用前经重蒸馏处理,弃掉10%的前馏分和10%的后馏分之后再使用。层析硅胶使用前在130 ℃下活化16 h,无水硫酸钠(分析纯,天津市化学试剂厂)使用前在450 ℃下用马弗炉灼烧6 h,甲醇溶解的200 mg·mL-1的16种PAHs混合标液1mL,使用时用乙腈(色谱纯,美国TEDIA天地试剂)配置成贮备溶液并稀释成标准梯度[4-5]。
超声波清洗仪(KQ-250),旋转蒸发仪(RE-52AA),真空干燥冷冻系统(FDV-1100),高效液相色谱仪Agilent 1100型,配有荧光检测器(FLD)和二级阵列检测器(DAD)。
16种PAHs标准样品分别为:萘(Nap)、苊烯(Any)、苊(Ace)、芴(Flu)、菲(Phe)、蒽(AnT)、荧蒽(Fla)、芘(Pyr)、屈艹(Chr)、苯并(a)蒽(BaA)、苯并(k)荧蒽(BkF)、苯并(b)荧蒽(BbFA)、苯并(a)芘(BaP)、二苯并(a,h)蒽(DahA)、茚并(1, 2, 3-cd)芘(IcdP)、苯并(g, h, i)苝(BghiP)。
1.3.2 土壤样品PAHs的提取与净化参照李嘉康等[6]的方法对土壤样品中PAHs提取与净化。超声提取-硅胶柱净化法对土壤样品进行前处理,电子天平称取(5.000 0±0.000 5) g土样,置于150 mL三角瓶中,加入15 mL二氯甲烷浸泡12 h后,利用超声清洗仪超声提取20 min(控制水浴温度不超过20 ℃),将上清液经盛有无水硫酸钠的漏斗过滤至150 mL鸡心瓶,重复超声提取3次,合并提取液,使用旋转蒸发仪浓缩至近干,待净化。净化柱为硅胶层析柱,正己烷湿法装柱,层析柱内依次装入脱脂棉、无水硫酸钠、硅胶、无水硫酸钠。将提取液用2 mL正己烷充分润洗并转移至净化柱,弃去滤液;再利用8 mL洗脱液(正己烷:二氯甲烷=1:1)分4次淋洗出PAHs,并接收于20 mL鸡心瓶中,旋转蒸发至近干,加入1 mL乙腈,充分润洗后转移至进样瓶中,于-4 ℃冰箱中保存待测。
1.3.3 PAHs的测定与质量控制采用高效液相色谱仪测定,色谱柱:PAHs专用柱(4.60 mm×250 mm,颗粒度5 μm);流速0.80 mL·min-1,柱温25 ℃;流动相为超纯水和乙腈,梯度洗脱,停止时间28 min,后运行时间3 min。通过二级阵列检测器(检测IcdP),波长254 nm、带宽4 nm,参比波长360 nm、带宽100 nm,然后串联荧光检测器(检测除IcdP的其余15种PAHs)。通过色谱峰的保留时间定性、外标法峰面积定量[4-6]。
每批样品随机抽取30%做平行实验,按相同的提取、净化流程同时进行分析测定。平行样品之间的相对误差小于30%视为合格,如果相对误差大于30%则该批次所有样品重新进行提取、净化和测定。
1.3.4 统计分析借助R语言对乌鲁木齐不同功能区(工业区、交通区、公园区、居民区)林带土壤中PAHs检测结果进行方差分析;对不同功能区的不同土层深度(0~10、10~20 cm)下PAHs进行T检验。
2 结果与分析 2.1 乌鲁木齐林带土壤中PAHs的含量乌鲁木齐市各功能区林带土壤16种PAHs平均检出率顺序依次为居民区(79.22%)>交通区(76.71%)>公园区(69.89%)>工业区(60.63%)(表 2)。其中各功能区林带土壤中检出率最高的单项PAHs均是IcdP,这主要与IcdP来源广泛有关[8]。在工业区林带土壤中单项PAHs检出率较高的还有BkF,超过90.00%。BkF主要是各种矿物燃料、木材、纸以及其他含碳氢化合物的不完全燃烧或在还原状态下热解而形成的有毒物质污染。在交通区林带土壤检出率最高的还有Fla,这主要与沥青中大量Fla污染物在道路的冲洗、养护过程中被转移到交通区林带土壤中有关[8]。在公园区林带检出率最高的还有AnT,因为公园区多阴凉、干燥且通风较好,有利于环境中AnT的保存和积累[10]。同时Any、Pyr、BbFA在居民区林带土壤中检出率也最高,这主要与其广泛存在于生活用品及生活垃圾中有关[11]。
| 化合物 Compound |
环数 Ringnumber |
工业区Industrial zone | 交通区Transport zone | 公园区Park zone | 居民区Living zone | |||||||||||||||
| 平均Mean/(ng·g-1) | 最小值Minimum/(ng·g-1) | 最大值Maximum/(ng·g-1) | 检出率Detectionrate/% | 平均Mean/(ng·g-1) | 最小值Minimum/(ng·g-1) | 最大值Maximum/(ng·g-1) | 检出率Detectionrate/% | 平均Mean/(ng·g-1) | 最小值Minimum/(ng·g-1) | 最大值Maximum/(ng·g-1) | 检出率Detectionrate/% | 平均Mean/(ng·g-1) | 最小值Minimum/(ng·g-1) | 最大值Maximum/(ng·g-1) | 检出率Detectionrate/% | |||||
| Nap | 2 | 27.92 | 1.50 | 59.50 | 63.64 | 44.50 | 1.50 | 115.75 | 81.82 | 21.78 | 1.50 | 56.50 | 90.91 | 23.50 | 1.50 | 52.00 | 90.91 | |||
| Any | 3 | 3.01 | 1.50 | 4.75 | 63.64 | 16.46 | 4.00 | 43.00 | 90.91 | 5.41 | 1.50 | 13.75 | 54.55 | 11.28 | 2.63 | 34.00 | 100.00 | |||
| Ace | 3 | 5.93 | 1.50 | 21.00 | 27.27 | 10.42 | 1.50 | 24.75 | 63.64 | 5.85 | 1.50 | 15.50 | 72.73 | 13.60 | 1.50 | 23.50 | 81.82 | |||
| Fla | 3 | 34.35 | 2.50 | 158.00 | 27.27 | 79.71 | 24.50 | 194.50 | 100.00 | 22.83 | 2.00 | 95.00 | 36.36 | 60.35 | 2.50 | 115.50 | 100.00 | |||
| Phe | 3 | 20.07 | 2.50 | 75.50 | 72.73 | 14.25 | 2.50 | 56.75 | 54.55 | 14.73 | 2.50 | 39.00 | 90.91 | 6.55 | 2.50 | 17.75 | 81.80 | |||
| AnT | 3 | 9.12 | 2.00 | 29.00 | 81.82 | 9.79 | 5.00 | 15.00 | 81.82 | 6.21 | 3.50 | 9.50 | 100.00 | 8.90 | 2.00 | 20.00 | 90.91 | |||
| Flu | 4 | 29.60 | 2.50 | 147.00 | 72.73 | 26.79 | 2.50 | 100.25 | 81.82 | 17.89 | 2.50 | 48.00 | 63.64 | 13.08 | 6.63 | 20.00 | 90.91 | |||
| Pyr | 4 | 47.35 | 1.50 | 166.50 | 72.73 | 12.21 | 1.50 | 46.50 | 63.64 | 20.56 | 1.50 | 67.00 | 72.73 | 18.98 | 7.13 | 41.25 | 100.00 | |||
| BaA | 4 | 35.29 | 2.00 | 161.50 | 54.55 | 23.33 | 2.00 | 49.00 | 63.64 | 15.12 | 2.00 | 27.00 | 72.73 | 18.50 | 2.00 | 28.00 | 90.91 | |||
| Chr | 4 | 7.20 | 1.50 | 49.00 | 36.36 | 11.63 | 1.50 | 35.25 | 54.55 | 2.28 | 1.50 | 6.25 | 18.18 | 1.50 | 1.50 | 1.50 | 0.00 | |||
| BaP | 4 | 12.93 | 2.50 | 94.75 | 18.18 | 4.71 | 2.50 | 11.25 | 54.55 | 6.14 | 2.50 | 35.25 | 72.73 | 3.13 | 2.00 | 5.38 | 72.73 | |||
| BbFA | 5 | 47.20 | 2.50 | 141.75 | 72.73 | 52.83 | 2.50 | 119.50 | 90.91 | 45.08 | 12.50 | 101.00 | 90.91 | 64.98 | 17.38 | 92.75 | 100.00 | |||
| BkF | 5 | 41.49 | 2.50 | 181.25 | 97.30 | 11.25 | 5.00 | 22.50 | 90.91 | 16.70 | 2.50 | 56.75 | 54.55 | 31.08 | 3.38 | 52.50 | 100.00 | |||
| DahA | 5 | 33.32 | 2.50 | 191.50 | 63.64 | 48.38 | 11.25 | 91.00 | 90.91 | 37.64 | 2.50 | 104.00 | 90.91 | 26.65 | 5.25 | 55.00 | 90.91 | |||
| BghiP | 6 | 14.48 | 2.50 | 52.50 | 54.55 | 4.08 | 2.50 | 7.00 | 63.64 | 7.17 | 2.50 | 23.50 | 36.36 | 22.70 | 2.50 | 45.25 | 72.73 | |||
| IcdP | 6 | 45.15 | 2.00 | 90.00 | 90.91 | 63.67 | 10.00 | 128.50 | 100.00 | 51.27 | 19.50 | 103.50 | 100.00 | 23.90 | 6.00 | 35.50 | 100.00 | |||
| 414.43 | 68.50 | 1 137.75 | 60.63 | 434.00 | 125.75 | 917.50 | 76.71 | 296.64 | 131.00 | 507.00 | 69.89 | 347.90 | 89.00 | 483.50 | 79.22 | |||||
| 低环 Low ring |
100.42 | 11.50 | 257.50 | 61.06 | 175.13 | 67.25 | 356.25 | 78.79 | 76.81 | 19.50 | 162.75 | 74.24 | 124.18 | 23.63 | 198.75 | 46.97 | ||||
| 高环 High ring |
314.01 | 57.00 | 941.75 | 68.37 | 258.88 | 58.50 | 561.25 | 75.46 | 219.83 | 106.75 | 426.50 | 74.24 | 223.73 | 65.38 | 305.75 | 81.82 | ||||
| 222.58 | 50.50 | 599.75 | 61.95 | 215.79 | 52.00 | 435.00 | 77.92 | 174.21 | 76.75 | 332.00 | 71.43 | 168.98 | 49.13 | 211.75 | 68.75 | |||||
乌鲁木齐林带土壤平均PAHs含量为(375.76±32.96) ng·g-1,最大值和最小值分别为761.44和103.56 ng·g-1。最大值出现在工业区林带的米泉中泰公园对面的榆树林内;最小值出现在人民公园的乔灌混交林内。其中,0~10 cm土层平均含量比10~20 cm土层高45.91%。各功能区林带土壤PAHs含量顺序依次为交通区[(434.00±43.70) ng·g-1]>工业区[(424.51±44.40) ng·g-1]>居民区[(347.90±43.66) ng·g-1]>公园区[(296.64±29.12) ng·g-1]。方差分析表明:各功能区林带土壤平均PAHs含量差异不显著(P>0.05)(图 2),但各功能区林带土壤间个别单项PAHs存在显著差异,如工业区的Pyr、交通区的Fla和IcdP、居民区的IcdP、公园区的BbFA显著高于其他功能区的相应污染物。独立样本T检验表明:工业区和公园区林带土层0~10 cm和10~20 cm间差异不显著,交通区和居民区差异均显著(P < 0.05)。
|
注:不同大写字母表示不同功能区PAHs含量差异显著,不同小写字母表示不同土层PAHs含量差异显著。 Note:different capital letters indicate that the PAHs content of different functional areas is significantly different, and different lowercase letters indicate that the PAHs content of different soil layers is significantly different. 图 2 不同功能区林带土壤中PAHs含量 Fig. 2 Concentration of polycyclic aromatic hydrocarbons in forest belt soil of different functional zones |
7种致癌PAHs(BaA、Chr、BbFA、BkF、BaP、DahA和IcdP)的含量为195.39 ng·g-1,占16种PAHs含量的52.00%,其超过了《土壤环境质量建设用地土壤污染风险管控标准》(GB36600)[20]中的筛选值。其中,工业区[(222.58±37.63) ng·g-1]>交通区[(215.79±39.41) ng·g-1]>公园区[(174.21±33.26) ng·g-1]>居民区[(168.98±27.36) ng·g-1]。
乌鲁木齐林带土壤PAHs中低环和高环含量分别占32.02%和67.98%。从表 3可看出, 乌鲁木齐各功能区林带土壤中PAHs均以高环为主,0~10 cm土层中,低环在公园区林带土壤中所占比例最低,在交通区林带土壤中所占比例最高;10~20 cm土层中,低环在工业区林带土壤所占比例最低,在居民区林带所占比例最高。不同土层各功能区各环PAHs占比及组成差异的影响因素主要可能与各环PAHs污染物的环境迁移、扩散、转化特点有关,与污染物的存储条件有关[8-10]。如交通区中Fla(3环),以及工业区、居民区及公园区含量较多的BbFA(5环)、BkF(5环)、IcdP(6环)等,其中分子且能被微生物降解,而剩余分子量较大的污染物则随水土迁移并分配于10~20 cm土层的沉积物、有机质中。
| 功能区林带 Forest belts in function zone |
0~10 cm | 10~20 cm | |||||||||
| 低环Low-ring | 高环High-ring | 低环Low-ring | 高环High-ring | ||||||||
| 含量Content/(ng·g-1) | 百分比Rate/% | 含量Content/(ng·g-1) | 百分比Rate/% | 含量Content/(ng·g-1) | 百分比Rate/% | 含量Content/(ng·g-1) | 百分比Rate/% | ||||
| 工业区Industrial zone | 119.2 | 26.9 | 324.2 | 73.1 | 174.9 | 25.1 | 303.9 | 74.9 | |||
| 交通区Transport zone | 243.7 | 42.4 | 331.0 | 57.6 | 164.2 | 36.3 | 186.8 | 63.7 | |||
| 居民区Living zone | 152.6 | 33.8 | 298.8 | 66.2 | 162.0 | 39.2 | 148.7 | 60.8 | |||
| 公园区Park zone | 71.7 | 22.3 | 249.5 | 77.7 | 159.6 | 30.1 | 190.2 | 69.9 | |||
图 3显示乌鲁木齐各功能区0~10和10~20 cm土层中各环PAHs占16种PAHs的比值。从图 3可以看出,不同土层各功能区各环的占比不同。工业区林带土壤0~10和10~20 cm显示出4环(31.38%)>5环(28.65%)>3环(19.48%)>6环(13.98%)>2环(6.50%)的特征;交通区显示出3环(29.57%)>5环(24.15%)>6环(19.32%)>4环(17.16%)>2环(9.78%)的特征;居民区显示出5环(32.64%)>3环(29.51%)>4环(15.68%)>6环(15.18%)>2环(6.98%)的特征;公园区显示出5环(33.28%)>4环(21.17%)>6环(19.34%)>3环(18.78%)>2环(7.44%)的特征。
|
图 3 各功能区林带土壤各环占16种PAHs含量的比例 Fig. 3 Proportion of PAHs content with different rings in forest belt soil of different functional zones |
图 4为各功能区林带土壤PAHs各组分占总含量的百分比箱线图。居民区林带土壤PAHs各组分含量箱线图的中位数位置、四分位间距框的位置与高度,除了Fla外的其余组分差异均较小, 说明在居民区林带土壤PAHs各组分的含量较均匀。其余3种功能区土壤PAHs各组分含量箱线图中箱体的高度参差不齐,说明PAHs各组分占比相差较大,其中工业区、公园区林带土壤PAHs各组分占总含量的百分比异常值(离群点)较多,说明土壤中PAHs的来源较为复杂。工业区林带土壤PAHs平均含量占比较高的是IcdP(16.01%)、BbFA(12.07%)、BkF(10.47%),占比较低的是Any(1.59%)、Ace(1.53%)和Chr(0.98%);交通区占比较高的是Fla(16.01%)、IcdP(15.76%)、DahA(10.83%),占比较低的是Ace(0.49%)、BaP (0.64%)和BghiP(0.58%);居民区占比较高的是Fla(15.66%)、BbFA(15.14%)、BkF(11.05%),占比较低的是Chr(0.21%)、BaP(1.45%)和Phe(1.58/%);公园区占比较高的是IcdP(19.48%)、BbFA(14.84%)、DahA(11.90%),占比较低的是Chr(0.84%)、Any(2.11%)和Ace(1.70%)。
|
注:箱子中“·”代表平均值;箱子上方和下方的两条线分别代表最大值和最小值;箱体中横线代表中位数;箱子的上限和下限,分别代表数据的上四分位数和下四分位数。 Note:the "·" in different boxes represents the average value; the two lines above and below the box represent the maximum and minimum, respectively; the horizontal line in the box body represents the median; the upper and lower limits of the box represent the upper and lower quartiles of the data, respectively. 图 4 各功能区林带土壤16种PAHs各组分含量占比 Fig. 4 Proportion of each PAHs in forest belt soil of different functional zones |
依据土壤中PAHs污染程度分级标准,PAHs含量 < 200 ng·g-1为未污染、200~600 ng·g-1为轻度污染、600~1 000 ng·g-1为污染、>1 000 ng·g-1为重度污染[21]。图 5可以看出,乌鲁木齐市工业区和交通区林带土壤以轻度污染为主(42.90%和37.50%),其次为未污染(35.70%和25.00%)和重度污染(14.30%和25.00%);而公园区和居民区以轻度污染(60.00%和66.67%)和未污染(40.00%和33.33%)为主,未出现污染和重度污染的样地。
|
图 5 各功能区林带土壤PAHs各污染等级占比 Fig. 5 Proportion of PAHs polluted plots in forest belt soil of different functional zones |
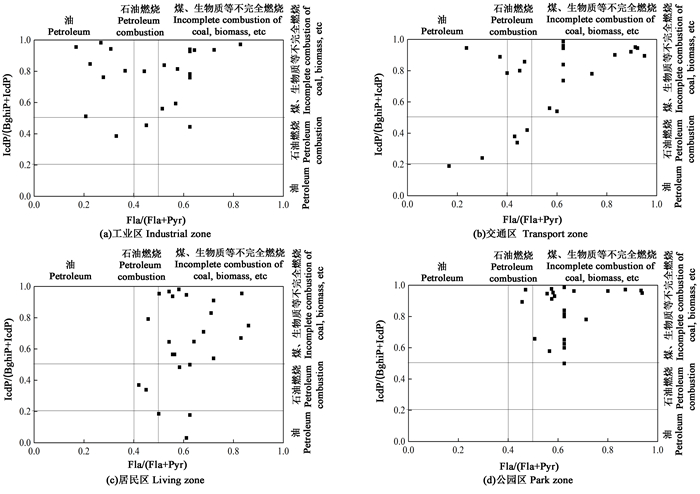
PAHs特征化合物比值法是常用的PAHs污染源诊断方法。当IcdP/(IcdP+BghiP) < 0.2、Fla /(Pyr+Fla) < 0.4时,为石油源污染[22, 23];0.2 < IcdP/(IcdP+BghiP) < 0.5为汽车尾气源污染[23]、0.4 < Fla/(Pyr+Fla) < 0.5,为石油等燃烧源污染;IcdP/(IcdP+BghiP)>0.5和Fla/(Pyr+Fla)>0.5时,为煤、木、草等生物质燃烧源污染[15-17]。图 6为乌鲁木齐市不同功能区林带土壤中PAHs的特征化合物比值。可以看出,不同功能区PAHs组分来源不同。在工业区24个样地中有8个样地Fla/(Pyr+Fla) < 0.4,2个样地0.4 < Fla/(Pyr+Fla) < 0.5,14个样地比值>0.5;有3个样地IcdP/(IcdP+BghiP) < 0.5,21个样地比值>0.5。交通区24个样地中有4个样地Fla/(Pyr+Fla) < 0.4,6个样地0.4 < Fla/(Pyr+Fla) < 0.5,14个样地比值>0.5;有5个样地IcdP/(IcdP+BghiP) < 0.5,19个样地比值>0.5。居民区未出现Fla/(Pyr+Fla) < 0.4的样地, 有4个样地0.4 < Fla/(Pyr+Fla) < 0.5,20个样地比值>0.5;有7个样地IcdP/(IcdP+BghiP) < 0.5,17个样地比值>0.5。公园区未出现Fla/(Pyr+Fla) < 0.4的样地,有2个样地0.4 < Fla/(Pyr+Fla) < 0.5,20个样地比值>0.5;所有样地IcdP/(IcdP+BghiP)均>0.5。各功能区林带土壤PAHs的差异表明:以煤、木、草等生物质燃烧为污染源的样地最多的是公园区,居民区次之;以汽车尾气、石油燃烧为污染源最多的是交通区,以石油源为污染源最多的是工业区。从总体看,各个功能区多环芳烃的主要来源均为煤、生物质等的不完全燃烧。
|
图 6 各功能区林带土壤Fla/(Pyr+Fla)和IcdP/(IcdP+BghiP)比值 Fig. 6 Proportions of Fla/(Pyr+Fla) and IcdP/(IcdP+BghiP) in forest belt soil of different functional zones |
城市土壤中PAHs的污染程度与城市化发展进程、污染企业的数量、工厂废水废气的排量、城市绿化水平密切相关。乌鲁木齐林带土壤平均PAHs含量(375.76 ng·g-1)低于青岛(1 081.22 ng·g-1)[24]、西安(2 727.00 ng·g-1)[17]、太原(865.00 ng·g-1)[25]等城市土壤PAHs的含量。但高于上海(299.00 ng·g-1)[26]和深圳等城市的含量(290.00 ng·g-1)[25]。与林业土壤相比,高于开封市森林土壤的含量(181.37 ng·g-1)[27],低于南京市林业(487.70 ng·g-1)[15]、北京城区公园绿地(4 377.00 ng·g-1)[16]和居住区绿地土壤PAHs含量(4 708.00 ng·g-1)[16],更低于乌鲁木齐非林地土壤PAHs的含量(998.23 ng·g-1)[28]。城市土壤中PAHs的局部污染程度与污染源的距离、污染源的排量有关,还与城市植被的结构、起源、树种组成、郁闭度以及林带面积大小等有关。一般,距离污染源较远的土壤中PAHs的含量比距离污染源较近的低;而污染源排放较多的区域内土壤中PAHs含量一般比污染源排放少的区域高。由于植物可以降解与修复PAHs污染的土壤[31],因此森林郁闭度高、树种组成丰富[14, 29],且面积足够大的林带,土壤中PAHs含量相对较低。
随着土层深度的增加,土壤中PAHs平均总含量不断降低。这与大多数研究得出的结论一致[29-30]。这与PAHs的特性相关[15]。多环芳烃不易溶于水,极易附着在固体颗粒上,因此在表层分布的较为集中。
各功能区林带土壤中PAHs含量依次为交通区>工业区>居民区>公园区。有研究表明,汽车在非匀速行驶过程中,尾气中含有更多的PAHs污染物,而且尾气颗粒态物质中PAHs含量也会相对增高[31]。乌鲁木齐市交通区车流量大,尤其是在河滩快速路和机场高速路,车辆常处于加速、减速等非匀速行驶状态,致使排放到周围环境中的PAHs含量较高,PAHs在土壤中被吸附,因此交通区土壤中PAHs含量较高[15]。而居民区由于居民居住密集,生活中的燃煤燃气、生活垃圾等也可能是PAHs排放源,其PAHs含量处于中等水平;公园区由于距离工业区、交通区较远,且人口密度相对较小,所以其PAHs含量相对较低。低环和高环PAHs含量分别占16种PAHs含量的32.02%和67.98%。这与其特性有关,一般来说,低环的PAHs主要来源于自然界和没有经过燃烧的石油类产品,高环的PAHs主要来源于各类燃烧。这些多环芳烃可以通过降雨、降雪或者降尘等方式进入土壤。在城市中人为产生的PAHs数量远远超过自然产生的PAHs,所以对于城市土壤PAHs的污染源主要关注的是人为来源[32]。
工业区和交通区林带土壤以轻度污染为主,其次为未污染和重度污染;而公园区和居民区以轻度污染和未污染为主,并未出现污染和重度污染的样地。说明即使是环境较为清洁的居民区林带和公园区林带也受到了多环芳烃的污染。这是由于多环芳烃类污染物分布较广,可以在各种环境物中分布。因排废气、废水及废物倾倒,多环芳烃对水、大气及土壤产生直接污染。吸附在烟气微粒上的多环芳烃随气流传向周围及更远处,又随降尘、降雨及降雪进入水体及土壤。与交通区和工业区相比,在公园区和居民区林带土壤受PAHs潜在威胁的风险较低[15]。
以煤、木、草等生物质燃烧为污染源的样地最多的是公园区;以汽车尾气、石油燃烧为污染源的样地最多的是交通区[31, 33]。交通区林带的PAHs污染不仅有大量来自于车辆尾气等的排放,还有部分来自于外界迁移污染(林带灌溉、道路的冲洗、降温、养护等)。乌鲁木齐工业区林带的PAHs污染主要来自附近工厂,如化工厂、电厂、焦化厂和钢铁厂等。并且工业区和交通区林带存在树木长势较差、郁闭度不高、叶片虫洞较多的问题,对PAHs污染的净化能力有限。而公园区和居民区林带具有树种组成丰富、乔木和灌木高低空间搭配的特点,对PAHs污染有更好的净化作用。
因此,建议在城市森林的建设中加强对工业区和交通区树木的管护(病虫害防治、定期清理枯落物等),树种应多选择对污染物吸附或吸收能力较强的阔叶林;丰富工业区和交通区的树种组成、增加林带的植被面积,并多采用乔木、灌木混交的空间配置方式。
| [1] |
XUE Y G, WANG X P, GONG P, et al. Distribution and vertical migration of polycyclic aromatic hydrocarbons in forest soil pits of southeastern Tibet[J]. Environ Geochem Health, 2018, 40: 1941-1953. DOI:10.1007/s10653-017-9969-7 |
| [2] |
XU J M, WANG H Z, HE Y, et al.Toxicity, adsorption, and dissipation of polycyclic aromatic hydrocarbons in soil[C]//LUO Y, TU C.Twenty Years of Research and Development on Soil Pollution and Remediation in China.Singapore: Springer, 2017: 605-628.
|
| [3] |
ZHIDKIN A P, GENNADIEV A N, KOSHOVSKII T S. Input and behavior of polycyclic aromatic hydrocarbons in arable, fallow, and forest soils of the Taiga zone (tver oblast)[J]. Eurasian Soil Science, 2017, 50(3): 296-304. |
| [4] |
周伟, 王文杰, 何兴元, 等. 哈尔滨城市绿地土壤肥力及其空间特征[J]. 林业科学, 2018, 54(9): 9-17. |
| [5] |
郭凡嫡, 潘俊, 孙丽娜, 等. 辽河干流河岸带土壤中多环芳烃的污染特征与生态风险评价研究[J]. 环境工程, 2018, 36(7): 155-160. |
| [6] |
李嘉康, 宋雪英, 魏建兵, 等. 沈北新区土壤中多环芳烃潜在风险评价[J]. 农业环境科学学报, 2017, 36(12): 2462-2470. DOI:10.11654/jaes.2017-0725 |
| [7] |
张波, 王文杰, 何兴元, 等. 哈尔滨城市森林遮荫和降温增湿效应差异及其影响因素[J]. 生态学杂志, 2017, 36(4): 951-961. |
| [8] |
MARUSENKO Y, HERCKES P, HALL S J. Distribution of polycyclic aromatic hydrocarbons in soils of an arid urban ecosystem[J]. Water Air and Soil Pollution, 2011, 219(1): 473-487. |
| [9] |
XU Y F, DAI S X, MENG K, et al. Occurrence and risk assessment of potentially toxic elements and typical organic pollutants in contaminated rural soils[J]. Science of the Total Environment, 2018, 630: 618-629. DOI:10.1016/j.scitotenv.2018.02.212 |
| [10] |
IWEGBUE C M A, GRACE O. Distribution, sources, and health risk assessment of polycyclic aromatic hydrocarbons in dust from urban environment in the Niger Delta, Nigeria[J]. Human and Ecological Risk Assessment an International Journal, 22(3): 623-638. DOI:10.1080/10807039.2015.1100157 |
| [11] |
ZAVGORODNYAYA Y A, CHIKIDOVA A L, BIRYUKOV M V, et al. Polycyclic aromatic hydrocarbons in atmospheric particulate depositions and urban soils of Moscow, Russia[J]. Journal of Soils and Sediments, 2019, 19(8): 3155-3165. DOI:10.1007/s11368-018-2067-3 |
| [12] |
JAROSLAW L, EWA BLONSKA. Polycyclic aromatic hydrocarbons content in contaminated forest soils with different humus types[J]. Water, Air, and Soil Pollution, 2018, 229(6): 1-8. |
| [13] |
赵香爱.多环芳烃(PAHs)在森林土壤和植物叶中的分布行为特征研究[D].延吉: 延边大学, 2016.
|
| [14] |
田晓雪.珠江三角洲地区森林吸收大气多环芳烃机制[D].广州: 中国科学院华南植物园, 2008.
|
| [15] |
杨靖宇, 俞元春, 王小龙. 南京市不同功能区林业土壤多环芳烃含量与来源分析[J]. 生态环境学报, 2016, 25(2): 314-319. |
| [16] |
张娟, 吴建芝, 刘燕. 北京市绿地土壤多环芳烃分布及健康风险评价[J]. 中国环境科学, 2017, 37(3): 1146-1153. |
| [17] |
闫婷婷, 谭志海, 龙艳侠, 等. 西安市不同功能区PAHs组分分布特征[J]. 西安工程大学学报, 2017, 31(6): 769-774. |
| [18] |
中华人民共和国国家统计局. 中国统计年鉴[M]. 北京: 中国统计出版社, 2018.
|
| [19] |
姚成, 倪进治, 刘瑞, 等.扬州市不同功能区表层土壤中多环芳烃的含量、来源及其生态风险[J/OL].环境科学: 1-11[2020-02-04].https://doi.org/10.13227/j.hjkx.201909065..
|
| [20] |
国家市场监督管理总局.土壤环境质量建设用地土壤污染风险管控标准: GB36600-2018[S].北京: 中国标准出版社, 2018.
|
| [21] |
MALISZEWSKA-KORDYBACH B. Polycyclic aromatic hydrocarbons in agricultural soils in Poland:preliminary proposals for criteria to evaluate the level of soil contamination[J]. Applied Geochemistry, 1996, 11(1): 121-127. |
| [22] |
BUDZINSKI H, JONES I, BELLOCQ J, et al. Evaluation of sediment contamination by polycyclic aromatic hydrocarbons in the Gironde estuary[J]. Marine Chemistry, 1997, 58(1/2): 85-97. |
| [23] |
MACDONALD Y R W. Composition and origins of polycyclic aromatic hydrocarbons in the Mackenzie river and on the Beaufort sea shelf[J]. Arctic, 1995, 48(2): 118-129. |
| [24] |
张俊叶, 俞菲, 俞元春. 城市土壤多环芳烃污染研究进展[J]. 土壤通报, 2018, 49(1): 243-252. |
| [25] |
李晓婷.太原市城区周边土壤污染特征分析及等级评价[D].太原: 山西大学, 2015.
|
| [26] |
熊丽君, 吴杰, 王敏, 等. 交通道路沿线土壤多环芳烃污染及风险防控综述[J]. 生态环境学报, 2018, 27(5): 974-982. |
| [27] |
赵雯雯.开封市城市土壤重金属与多环芳烃污染及风险分析[D].开封: 河南大学, 2017.
|
| [28] |
麦麦提·斯马义, 帕丽达·牙合甫, 努尔比亚·藿加吾买尔. 乌鲁木齐市周边地区土壤中多环芳烃的含量及来源[J]. 土壤, 2016, 48(6): 1166-1171. |
| [29] |
王雁, 缪昆. 城市森林植物修复污染土壤的功能[J]. 东北林业大学学报, 2003(5): 65-67. DOI:10.3969/j.issn.1000-5382.2003.05.022 |
| [30] |
史兵方, 唐婧, 兰翠玲, 等. 土壤中多环芳烃的垂直分布特征及来源研究:以四川省南充市区为例[J]. 安全与环境学报, 2010, 10(4): 73-77. DOI:10.3969/j.issn.1009-6094.2010.04.018 |
| [31] |
胡伟, 钟秦, 袁青青, 等. 不同类型机动车尾气中的多环芳烃含量分析[J]. 环境科学学报, 2008(12): 2493-2498. DOI:10.3321/j.issn:0253-2468.2008.12.014 |
| [32] |
姚宏, 张士超, 刘明丽, 等. 基于城镇化进程表层土壤多环芳烃来源解析及风险评价[J]. 环境科学, 2018, 39(2): 889-898. |
| [33] |
何江涛, 金爱芳, 陈素暖, 等. 北京东南郊再生水灌区土壤PAHs污染特征[J]. 农业环境科学学报, 2010, 29(4): 666-673. |
2020, Vol. 40


