文章信息
- 林文泉, 高伟, 叶功富, 黄石德, 黄雍容, 岳新建
- LIN Wenquan, GAO Wei, YE Gongfu, HUANG Shide, HUANG Yongrong, YUE Xinjian
- 南亚热带海岸沙地不同林分凋落物量及养分归还
- Litter nutrient return of different plantations in a coastal sand dune of southern subtropical region
- 森林与环境学报,2019, 39(3): 225-231.
- Journal of Forest and Environment,2019, 39(3): 225-231.
- http://dx.doi.org/10.13324/j.cnki.jfcf.2019.03.001
-
文章历史
- 收稿日期: 2018-09-01
- 修回日期: 2018-11-16
2. 福建省林业科学研究院, 福建 福州 350012
2. Fujian Academy of Forestry, Fuzhou, Fujian 350012, China
凋落物是植物与土壤间养分循环的媒介,植物从土壤中吸收的养分,以凋落物形式实现归还。凋落物在维持土壤肥力及生态系统稳定性方面起着关键作用[1-2],其不仅可以丰富土壤有机质、土壤养分及土壤微生物,还有保持水土等功能[3-6]。研究表明,多数森林生长所需的90%以上的氮和磷及60%以上的矿质元素来自凋落物归还[7],每年通过凋落物分解的CO2约占全球流通量的70%[8]。因此,研究森林凋落物量和其养分归还的动态变化,对于区域尺度上的森林生态系统可持续经营具有重要意义。
由于木麻黄对海岸沙地环境有很强的适应性,长期以来,我国南亚热带海岸沙地均以木麻黄为主要栽培树种[9-10]。但是,木麻黄(Casuarina equisetifolia Forst)凋落物中单宁含量较高,导致其分解速率较慢,影响了凋落物向土壤的养分归还,阻碍了养分在植物-土壤间的循环[11-12],海岸带木麻黄防护林出现了明显的地力衰退、防护功能下降等问题。鉴于此,近年逐步引种了相思属(Acacia)、松属(Pinus)和桉属(Eucalyptus)的树种对海防林进行更新改造,以提升防护林的抗逆性和稳定性[13],但目前,不同树种凋落物量及其养分归还随时间的动态变化规律尚不清楚。因此,本文以海岸沙地立地条件相似的尾巨桉人工林(E. grandis×E. urophylla plantation,EGU)、厚荚相思(A. crassicarpa Benth plantation,ACB)人工林、湿地松(P. elliottii Engelm plantation,PEE)人工林和木麻黄人工林(C. equisetifolia plantation,CEF)4种林分为研究对象,对林分的凋落物量及其季节动态变化、养分归还量及其季节动态变化等进行研究,以揭示海岸沙地上不同林分类型养分归还规律,为海岸沙地的生态系统管理和沿海防护林的可持续经营提供理论依据。
1 材料与方法 1.1 研究区概况试验地位于福建省漳州市赤山国有林场,东经117°18′,北纬23°40′,属亚热带海洋性季风气候,年均气温20.8 ℃,年均降水量1 104 mm,5—9月雨季的降雨量约占全年的61%,雨量充沛,水热条件优越。该区土壤主要为滨海沙土,其结构疏松,透水透气性强,但土壤持水保肥能力低,有机质含量较低,养分极贫乏。研究区于2016年受7月的“尼伯特”台风、9月的“鲇鱼”和“莫兰蒂”台风不同程度的影响。
1.2 研究方法 1.2.1 凋落物采集2015年11月,在海岸沙地选择立地条件相似的尾巨桉人工林、厚荚相思人工林、湿地松人工林和木麻黄人工林作为试验样地,在每个林分类型内分别随机设置4个20 m×20 m的样地,林分基本状况及其凋落物碳氮特征见表 1。采用凋落物收集器的方法对4种林分类型的凋落物动态变化进行研究。在每个20 m×20 m的样地中采用S型方法布设5个1 m×1 m的凋落物收集器,即在每种林分类型共布设20个凋落物收集器。2016年1月—11月每两个月收集一次凋落物,将收集的凋落物装进自封袋带回实验室,将带回实验室的凋落物按凋落枝、叶、花、果、其他组分(林分内其他树种凋落物、林下植被凋落物、虫鸟粪、虫残体等)进行分类,后称其鲜重。然后将不同组分凋落物放置到烘箱内60 ℃下烘干至恒重,称其干重,以此来计算各凋落组分在凋落物总量中所占百分比。
| 林分类型 Forest type |
林龄 Stand age /a |
平均胸径 Mean DBH /cm |
平均树高 Mean tree height /m |
林分密度 Stand density /tree·hm-2 |
凋落物N含量 Litterfall N content /(g·kg-1) |
凋落物C/N Litterfall C/N |
凋落物木质素/N Litterfall lignine/N |
| 尾巨桉EGU | 11 | 15.6 | 11.4 | 1 300 | 9.2±0.50b | 51.46±4.36b | 19.56±1.72a |
| 厚荚相思ACB | 22 | 21.1 | 12.5 | 950 | 15.1±0.72c | 34.02±1.63a | 29.76±2.24b |
| 湿地松PEE | 21 | 21.0 | 13.9 | 1 500 | 6.6±1.01a | 75.72±10.61c | 55.44±8.02c |
| 木麻黄CEF | 22 | 17.9 | 14.9 | 1 600 | 8.9±0.25b | 56.24±1.66b | 25.71±1.66ab |
| 注:同一列中不同小写字母表示差异显著,P<0.05。Note:different lowercase letters in the same column represent significant differences,P<0.05. | |||||||
将烘干后的不同组分凋落物,用植物样品粉碎机粉碎,通过0.5 mm筛后,称取0.8 g样品,采用硝酸-高氯酸消煮法,用蒸馏水把消煮液全部洗入50 mL容量瓶中,作为测量磷、钾的待测液,磷、钾采用电感耦合等离子体光谱仪(ICP-OES, PekinElmer)测定;碳、氮采用元素分析仪(Vario EL Ⅲ, Elementar Analysensysteme GmbH, Hanau, Germany)测定[14-15]。
1.3 数据处理运用Excel 2003进行数据处理,采用SPSS 20进行单因素方差分析(One-way ANOVA),多重比较采用Duncan多重比较法,用Origin8.5进行制图。
2 结果与分析 2.1 不同林分类型年凋落物量及组成4种林分类型的年凋落物量表现为木麻黄(10.1 t·hm-2)>湿地松(9.4 t·hm-2)>尾巨桉(8.4 t·hm-2)>厚荚相思(7.3 t·hm-2),且差异显著。各组分凋落物量占年总凋落物量的比重有所差异(表 2),但均表现出凋落叶所占比重最大,为68.3%~76.0%,其次是枝(6.3%~17.8%)和其他组分(7.0%~12.1%)。
| 凋落物组分 Litter component |
尾巨桉EGU | 厚荚相思ACB | 湿地松PEE | 木麻黄CEF | |||||||
| 平均值 Mean/(t·hm-2) |
占Percent /% |
平均值 Mean/(t·hm-2) |
占Percent /% |
平均值 Mean/(t·hm-2) |
占Percent /% |
平均值 Mean/(t·hm-2) |
占Percent /% |
||||
| 叶Leaf | 5.87±0.06bD | 69.84 | 5.11±0.10aD | 69.90 | 7.16±0.27cC | 76.03 | 6.87±0.07cD | 68.08 | |||
| 枝Branch | 0.72±0.03bB | 8.60 | 1.30±0.02cC | 17.78 | 0.60±0.04aAB | 6.34 | 1.69±0.03dC | 16.71 | |||
| 花Flower | 0.17±0.02bA | 1.98 | 0.01±0.00aA | 0.14 | 0.21±0.01cA | 2.20 | 0aA | 0 | |||
| 果Fruit | 0.63±0.01bB | 7.49 | 0.06±0.01aA | 0.78 | 0.59±0.01bAB | 6.30 | 0.80±0.02cB | 7.89 | |||
| 其他Others | 1.02±0.03bC | 12.13 | 0.83±0.04aB | 11.35 | 0.87±0.05abB | 9.21 | 0.71±0.07aB | 7.00 | |||
| 合计Total | 8.41±0.07b | 100 | 7.31±0.08a | 100 | 9.41±0.27c | 100 | 10.10±0.16d | 100 | |||
| 注:同行数据后不同小写字母代表同一组分不同树种间差异显著,P<0.05;同列数据后不同大写字母代表同种树种不同组分间差异显著,P<0.05。Note:different lowercase letters in the same row represent significant differences among different tree species,P<0.05;different uppercase letters in the same column represent the significant difference of litterfall among the same species in different groups,P<0.05. | |||||||||||
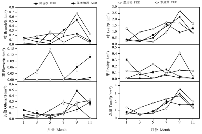
尾巨桉、厚荚相思、湿地松、木麻黄的凋落总量的变化模式均呈单峰型(图 1),峰值都出现在夏季,但凋落峰值出现的月份不完全相同。其中尾巨桉、湿地松和木麻黄的凋落峰值出现在9月,占年凋落物量的27.2%~38.3%;厚荚相思的凋落峰值出现在7月,占年凋落物量的28.7%。
|
图 1 4种林分各凋落物组分的动态变化 Fig. 1 Dynamics of each litter component in 4 plantation types |
4种人工林凋落叶的变化模式与凋落总量相似且峰值月份相同。尾巨桉、木麻黄和厚荚相思凋落枝的动态变化模式均呈单峰型,且峰值月份都是9月,而湿地松凋落枝的动态变化模式呈双峰型,峰值月份为5和9月。4种人工林凋落花的动态变化模式差异较大,尾巨桉、厚荚相思和湿地松凋落花的动态变化模式为单峰型,尾巨桉和厚荚相思的凋落高峰出现在11月,而湿地松出现在7月。尾巨桉、湿地松和木麻黄凋落果的动态变化模式呈双峰型,而厚荚相思呈单峰型。其中尾巨桉的凋落果峰值出现在1月和7月,湿地松出现在3和9月,木麻黄出现在5和9月,厚荚相思出现在7月。尾巨桉其他组分的动态变化规律呈双峰型,峰值分别出现在3和9月。木麻黄其他组分的动态变化规律为单峰型,峰值出现在7月。
2.3 不同林分类型各组分凋落物养分含量4种林分凋落叶、凋落果及其他组分各养分含量均为:C>N>K>P,差异极显著(P < 0.01)。凋落枝各养分含量也为:C>N>K>P,但尾巨桉的凋落枝各养分含量差异不显著(P>0.05)。尾巨桉凋落花养分含量较为不同,为C>K>N>P,且差异极显著(P < 0.01)。木麻黄凋落叶、凋落枝及其他组分C、P含量显著小于其他3种林分;厚荚相思凋落叶、凋落枝、凋落花及其他组分N含量显著高于其他3种林分,湿地松凋落叶、凋落枝及凋落果N含量显著低于其他3种林分;尾巨桉凋落叶、凋落枝、凋落花及凋落果K含量显著高于其他3种林分。
|
注:不同小写字母表示树种间差异显著,P<0.05。 Note:different lowercase letters indicate significant difference among species, P < 0.05. 图 2 4种林分各凋落物量养分 Fig. 2 Litterfall nutrient of 4 plantation types |
C、N、K和P年归还量之和具体表现为:木麻黄(4 900.3 kg·hm-2)>湿地松(4 771.4 kg·hm-2)>尾巨桉(4 313.9 kg·hm-2)>厚荚相思(3 932.6 kg·hm-2),见表 3。尾巨桉P、K年归还量显著高于其他3种林分;厚荚相思C年归还量显著低于其他3种林分,N年归还量显著高于其他3种林分;湿地松C年归还量显著高于尾巨桉和厚荚相思,N年归还量显著低于其他3种林分;木麻黄C年归还量也显著大于尾巨桉和厚荚相思,P年归还量显著低于其他3种林分。
| (kg·hm-2) | ||||
| 林分类型Forest type | C归还量C return | N归还量N return | P归还量P return | K归还量K return |
| 尾巨桉EGU | 4 182.19±12.5b | 90.70±0.86b | 4.01±0.29c | 36.97±3.59b |
| 厚荚相思ACB | 3 761.49±73.44a | 150.15±1.56d | 2.71±0.02b | 18.21±1.66a |
| 湿地松PEE | 4 675.84±234.44c | 72.75±2.87a | 2.86±0.21b | 19.93±2.36a |
| 木麻黄CEF | 4 768.64±62.71c | 111.51±2.08c | 1.46±0.07a | 18.71±0.86a |
| 注:不同小写字母表示树种间差异显著,P<0.05。Note:different lowercase letters indicate significant difference among tree species,P<0.05. | ||||
尾巨桉凋落叶和凋落果的P归还量显著高于其他3种林分(图 3),各组分K归还量均显著高于其他3种林分。厚荚相思凋落枝N、P归还量均显著高于其他3种林分,凋落果C、N、P、K归还量均显著低于其他3种林分;凋落叶的C归还量显著低于其他3种林分,但其N归还量显著高于其他3种林分;另外,厚荚相思其他组分N归还量显著高于其他3种林分。湿地松凋落花C、N、P归还量显著高于其他3种林分,其他组分K归还量显著低于其他3种林分;凋落叶C归还量显著高于其他3种林分,但其N归还量显著低于其他3种林分。木麻黄凋落叶和其他组分P归还量显著低于其他3种林分;凋落枝C归还量显著高于其他3种林分,其他组分C归还量显著低于其他3种林分,凋落果C、N归还量显著高于其他3种林分。
|
注:不同小写字母表示树种间差异显著。 Note:different lowercase letters indicate significant difference among tree species. 图 3 4种林分各器官养分归还量 Fig. 3 3 Nutrient return amount of different organs in 4 plantation types |
4种林分养分归还量变化有所差异(图 4)。4种林分的C、N归还量呈单峰型变化,且均出现在夏季。尾巨桉、湿地松、木麻黄C、N归还量的峰值均出现在9月,分别占年归还量的36.1%、38.5%、27.5%和37.3%、44.0%、29.5%。厚荚相思C归还量的峰值出现在7月,占年归还量的29.7%;N归还量主要集中7—11月,占年归还量的74.7%。尾巨桉、厚荚相思和湿地松P归还量均呈单峰型变化,而木麻黄无明显变化。尾巨桉和湿地松P归还量的峰值出现在9月,占年归还量的42.6%和40.4%;而厚荚相思P归还量的峰值出现在7月,占年归还量的26.5%。尾巨桉、湿地松和木麻黄K归还量呈单峰型变化,其K归还量峰值均出现在9月,分别占年归还量的60.0%、57.5%和42.0%;而厚荚相思K归还量大体上呈上升趋势。
|
图 4 4种林分养分归还量的动态变化 Fig. 4 4 Dynamic changes of nutrient return in 4 plantation types |
4种林分类型的年凋落物量为7.3~10.1 t·hm-2,高于中亚热带(湖南)4种森林的年凋落物量[16],也高于处于相同温度带的南亚热带(广西)6种人工林年凋落物量[17],这可能与林分密度及树种生物学特性等因素有关;与南亚热带(广东)4种人工林[18]和巴西太平洋沿岸热带雨林的年凋落物量[19]较为一致。不同地域相同树种相比,尾巨桉年凋落物量大于福建长乐10年生尾巨桉人工林[20];厚荚相思的年凋落物量与长乐9年生厚荚相思人工林[21]一致;湿地松的年凋落物大于嘉陵江上游22年生湿地松人工林[22]和广东鹤山的18年生湿地松人工林[18];木麻黄的年凋落物量介于福建惠安16年生木麻黄中龄人工林与30年生木麻黄成熟人工林之间[23],小于惠安20年木麻黄人工林[24]。不同地区不同林龄的相同树种年凋落物量各不相同,表明凋落物量同时受多种因素影响。
林地凋落物量可直接作为判断土壤肥力的一个标准,凋落物量大的林地土壤肥力也相对较高[25]。研究区位于中国东海沿海,林地的凋落物量会由于天气的影响有所增加或减少,但是人为干扰对凋落物量的影响大于天气的影响。自然状态下森林生态系统能保持自身物质与能量的稳定循环,但当地居民常收集木麻黄凋落小枝作为燃料,这一定程度上打破了生态系统的物质与能量平衡,凋落物量下降,林地土壤肥力也跟着下降,使得森林无法维持自身稳定而其防护效能逐渐降低。
3.2 不同林分类型凋落物的组分结构4种林分的凋落物主要成分均为凋落叶,占68.1%~76.0%。一般凋落叶占凋落总量的49.6%~100%[26],4种林分凋落叶所占比例在其范围之内,但低于南亚热带的2种相思林[18],这可能与实验区处于台风的影响范围内且常年刮大风,树木为了适应环境而产生的调整有关。其他组分是凋落物不可忽略的一部分,尾巨桉其他组分所占比例最大(12.1%),其凋落物量显著高于木麻黄和厚荚相思,说明尾巨桉林中的昆虫等动物比较丰富。森林凋落物的组分结构受外部环境的影响,同时也受本身生物学特性的影响。相关研究表明,凋落物分解速率与凋落物初始N含量、C/N显著相关且凋落叶分解速率与木质素/N呈显著负相关[15, 27],湿地松的小枝通常会与叶一起凋落,且两者相加占凋落总量比例超过80%,其凋落枝、叶中高比例的木质素/N、C/N及较低的N含量会在一定程度上减缓凋落物分解速率,从而养分释放速率也变慢[28]。
3.3 不同林分类型凋落物的动态变化4种林分由于其不同的生理特性,凋落物动态有所差异,但都具有明显的动态变化规律(图 1)。本研究中,4种林分年凋落物量的动态变化模式均只有一个峰值,厚荚相思峰值在7月,其余3种林分峰值在9月,与林宇、潘辉等[18, 20, 29-30]的年凋落物量月变化模式为双峰型的研究结论不一致,这可能与搜集凋落物的时间间隔不同有关,但是其凋落峰值出现的月份较为接近且整体变化趋势一致。
4种林分的凋落叶量均在3—5月开始逐月增加,在7—9月达到峰值。这是因为常绿树种在3—5月集中长新叶,促使老叶开始脱落。湿地松凋落果量在9月达到峰值是由于湿地松果在夏天开始脱落。凋落物的动态变化规律也受环境条件的影响,例如降雨、干旱和大风。4种林分的凋落总量均在7—9月达到峰值,是由于研究区域在夏季易受台风的影响,台风带来的风雨打击造成广泛的非生理性落叶落枝,使林分凋落物量增加。相关研究表明,阔叶树的叶脱落在前,枝凋落在后,凋落叶与凋落枝的产量不存在任何相关关系[31]。厚荚相思凋落叶在9月份没有达到峰值,可凋落枝在9月份却达到峰值。这种情况除了与研究区域的气候有关外,更多的是常绿树种的枯枝一般会凋落在树体上滞留一段时间,研究区域经常刮大风,在9月份会遇上台风天气,会使大量滞留在树上的枯枝掉落下来。
3.4 不同林分类型凋落物的养分归还本研究中,C、N、P和K的年归还量在4种林分中的排列顺序是:C>N>K>P,这与前人研究结果一致[32-33]。厚荚相思的C年归还量显著低于其他3种林分,但其N年归还量显著高于其他3种林分,这可能树种本身生物学特性及根系环境等因素有关。4种林分的N、P和K年归还量高于贵州黔南州3种林分密度马尾松人工林[34],低于湖北神农架4种森林[35],这可能与林分结构、树种本身养分机制及区域土壤养分差异有关。4种林分C、N、P、K归还峰值均出现在夏季,且月归还量均从3月开始不断增加,这可能与该时间段较高的凋落物量有关,养分归还量动态与凋落量变化趋势相同,这与刘娟[36]、潘辉[29]等人的研究结论一致。而4种林分C、N、P、N归还量在3月最低,这可能与树种本身养分机制有关;另外,在经过7月或9月的归还峰值后,4种林分各养分归还量表现出了不同的变化趋势,这可能与树种本身特性及外部环境等众多因素都有关系。目前对于尾巨桉等南亚热带人工林的养分归还动态研究还较少,控制其变化的机理尚不清楚,开展相关研究,对于海岸带人工林的持续经营管理很有必要。
4 结论南亚热带4种人工林的年凋落物量为7.3~10.1 t·hm-2;在凋落物各组分中,凋落叶所占比重最大(68.3%~76.0%),其次是枝(6.3%~17.8%)和其他组分(7.0%~12.1%)。4种林分年凋落物量的动态变化模式均为单峰型,峰值均出现在夏季,其中尾巨桉、湿地松和木麻黄的凋落峰值出现在9月,厚荚相思的凋落峰值出现在7月,峰值月份凋落物量占全年凋落物量27.2%~38.3%,这与树种生态学特性和当地气候条件有关。4种林分每年归还给林地的养分为3 932.6~4 900.3 kg·hm-2,凋落物各组分养分归还量从大到小顺序为叶>枝>其他组分>花果,各养分的归还量大小顺序为C>N>K>P。4种林分C、N、P、K归还动态峰值均出现在夏季,养分归还量动态变化与凋落物量动态变化趋势相同。
| [1] | 李宜浓, 周晓梅, 张乃莉, 等. 陆地生态系统混合凋落物分解研究进展[J]. 生态学报, 2016, 36(16): 4977–4987. |
| [2] | 林波, 刘庆, 吴彦, 等. 森林凋落物研究进展[J]. 生态学杂志, 2004, 23(1): 60–64. DOI:10.3321/j.issn:1000-4890.2004.01.014 |
| [3] | JIANG Y F, YIN X Q, WANG F B. The influence of litter mixing on decomposition and soil fauna assemblages in a Pinus koraiensis mixed broad-leaved forest of the Changbai Mountains, China[J]. European Journal of Soil Biology, 2013, 55: 28–39. DOI:10.1016/j.ejsobi.2012.11.004 |
| [4] | 高志红, 张万里, 张庆费. 森林凋落物生态功能研究概况及展望[J]. 东北林业大学学报, 2004, 32(6): 79–80, 83. DOI:10.3969/j.issn.1000-5382.2004.06.025 |
| [5] | 郭剑芬, 杨玉盛, 陈光水, 等. 森林凋落物分解研究进展[J]. 林业科学, 2006, 42(4): 93–100. |
| [6] | 凌华, 陈光水, 陈志勤. 中国森林凋落量的影响因素[J]. 亚热带资源与环境学报, 2009, 4(4): 66–71. DOI:10.3969/j.issn.1673-7105.2009.04.009 |
| [7] | CHAPIN Ⅲ F S, MATSON P A, MOONEY H A.陆地生态系统生态学原理[M].李博, 赵斌, 彭容豪, 译.北京: 高等教育出版社, 2005. |
| [8] | RAICH J W, SCHLESINGER W H. The global carbon dioxide flux in soil respiration and its relationship to vegetation and climate[J]. Tellus B:Chemical and Physical Meteorology, 1992, 44(2): 81–99. DOI:10.3402/tellusb.v44i2.15428 |
| [9] | 叶功富, 黄雍容, 卢昌义, 等. 海岸带木麻黄林生态系统过程与可持续管理[J]. 世界林业研究, 2012, 25(3): 32–37. |
| [10] | 张清海, 叶功富, 林益明. 海岸沙地木麻黄人工林凋落物归还量及其热值动态研究[J]. 林业科学研究, 2006, 19(5): 600–605. DOI:10.3321/j.issn:1001-1498.2006.05.011 |
| [11] | 罗美娟, 黄志萍, 叶功富, 等. 几种木麻黄单宁含量及其分布规律研究[J]. 福建林业科技, 2009, 36(1): 62–66. DOI:10.3969/j.issn.1002-7351.2009.01.013 |
| [12] | 张立华, 林益明, 叶功富. 短枝木麻黄幼苗小枝单宁形成的养分和酸度效应[J]. 林业科学, 2011, 47(2): 72–81. |
| [13] | 谭芳林, 徐俊森, 林武星, 等. 福建滨海沙地造林树种的适应性与选择研究[J]. 林业科学, 2003, 39(S1): 100–105. |
| [14] | 陈智勇, 郑兆飞, 叶功富, 等. 同林龄马尾松与湿地松幼树凋落物养分及能量动态[J]. 中南林业科技大学学报, 2016, 36(7): 72–75, 88. |
| [15] | 尤龙辉, 叶功富, 陈增鸿, 等. 滨海沙地主要优势树种的凋落物分解及其与初始养分含量的关系[J]. 福建农林大学学报(自然科学版), 2014, 43(6): 585–591. |
| [16] | 郭婧, 喻林华, 方晰, 等. 中亚热带4种森林凋落物量、组成、动态及其周转期[J]. 生态学报, 2015, 35(14): 4668–4677. |
| [17] | 卢立华, 贾宏炎, 何日明, 等. 南亚热带6种人工林凋落物的初步研究[J]. 林业科学研究, 2008, 21(3): 346–352. DOI:10.3321/j.issn:1001-1498.2008.03.012 |
| [18] | 邹碧, 李志安, 丁永祯, 等. 南亚热带4种人工林凋落物动态特征[J]. 生态学报, 2006, 26(3): 715–721. DOI:10.3321/j.issn:1000-0933.2006.03.011 |
| [19] | SLOBODA B, MARQUES R, BIANCHIN J, et al. Litterfall and nutrient dynamics in a mature atlantic rainforest in brazil[J]. Floresta e Ambiente, 2017, 24: e20160339. |
| [20] | 林宇, 张勇, 黄秀勇, 等. 滨海沙地尾巨桉人工林凋落物及其分解[J]. 东北林业大学学报, 2014, 42(3): 11–14. DOI:10.3969/j.issn.1000-5382.2014.03.003 |
| [21] | 林宇. 滨海沙地厚荚相思和木麻黄人工林凋落物碳归还规律[J]. 宁夏农林科技, 2013, 54(5): 35–38. DOI:10.3969/j.issn.1002-204X.2013.05.015 |
| [22] | 吴雪仙, 陈林武, 向成华, 等. 嘉陵江上游低山暴雨区3种林分凋落物量及其N、P归还[J]. 四川林业科技, 2009, 30(3): 12–17. DOI:10.3969/j.issn.1003-5508.2009.03.003 |
| [23] | 郭瑞红, 叶功富, 卢昌义, 等. 不同生长发育阶段木麻黄人工林的凋落物动态[J]. 海峡科学, 2008(10): 11–13, 18. DOI:10.3969/j.issn.1673-8683.2008.10.003 |
| [24] | 谭芳林. 木麻黄防护林生态系统凋落物及养分释放研究[J]. 林业科学, 2003, 39(S1): 21–26. |
| [25] | LÜ G H, ZHOU G S, WANG X Y. Factors controlling litterfall production of forest in China[J]. Advanced Materials Research, 2013, 726-731: 4248–4251. DOI:10.4028/www.scientific.net/AMR.726-731 |
| [26] | 吴承祯, 洪伟, 姜志林, 等. 我国森林凋落物研究进展[J]. 江西农业大学学报, 2000, 22(3): 405–410. DOI:10.3969/j.issn.1000-2286.2000.03.019 |
| [27] | 杨玉盛, 林鹏, 郭剑芬, 等. 格氏栲天然林与人工林凋落物数量、养分归还及凋落叶分解[J]. 生态学报, 2003, 23(7): 1278–1289. DOI:10.3321/j.issn:1000-0933.2003.07.004 |
| [28] | 刘姝媛, 胡浪云, 储双双, 等. 3种林木凋落物分解特征及其对赤红壤酸度及养分含量的影响[J]. 植物资源与环境学报, 2013, 22(3): 11–17. DOI:10.3969/j.issn.1674-7895.2013.03.02 |
| [29] | 潘辉, 黄石德, 洪伟, 等. 3种相思人工林凋落物量及其碳归还动态[J]. 福建林学院学报, 2010, 30(2): 104–108. DOI:10.3969/j.issn.1001-389X.2010.02.003 |
| [30] | 伍恩华, 刘强, 王敏英. 海南岛北部木麻黄防护林凋落物量及养分归还动态[J]. 华南师范大学学报(自然科学版), 2012, 44(2): 123–128. |
| [31] | 温远光, 韦炳二, 黎洁娟. 亚热带森林凋落物产量及动态的研究[J]. 林业科学, 1989, 25(6): 542–548. DOI:10.3321/j.issn:1001-7488.1989.06.001 |
| [32] | 刘颖, 韩士杰, 林鹿. 长白山四种森林类型凋落物动态特征[J]. 生态学杂志, 2009, 28(1): 7–11. |
| [33] | 郑金兴, 熊德成, 黄锦学, 等. 中龄和老龄杉木人工林凋落物量及养分归还[J]. 福建林学院学报, 2013, 33(1): 18–24. DOI:10.3969/j.issn.1001-389X.2013.01.004 |
| [34] | 姚瑞玲, 丁贵杰, 王胤. 不同密度马尾松人工林凋落物及养分归还量的年变化特征[J]. 南京林业大学学报(自然科学版), 2006, 30(5): 83–86. DOI:10.3969/j.issn.1000-2006.2006.05.020 |
| [35] | 刘蕾, 申国珍, 陈芳清, 等. 神农架海拔梯度上4种典型森林凋落物现存量及其养分循环动态[J]. 生态学报, 2012, 32(7): 2142–2149. |
| [36] | 刘娟, 周运超. 龙里林场马尾松人工林凋落物养分归还动态[J]. 浙江林业科技, 2015, 35(4): 7–12. DOI:10.3969/j.issn.1001-3776.2015.04.002 |
2019, Vol. 39


