文章信息
- 冯金玲, 陈辉, 陈世品, 林文俊, 杨志坚
- FENG Jinling, CHEN Hui, CHEN Shipin, LIN Wenjun, YANG Zhijian
- 油茶芽苗砧嫁接口愈合与内源激素的关系
- Relationship between endogenous hormone level and the development of the nurse seedling grafted union in Camellia oleifera
- 森林与环境学报,2018, 38(1): 27-32.
- Journal of Forest and Environment,2018, 38(1): 27-32.
- http://dx.doi.org/10.13324/j.cnki.jfcf.2018.01.005
-
文章历史
- 收稿日期: 2017-04-18
- 修回日期: 2017-09-03
油茶(Camellia oleifera Abel.)是我国重要的木本油料树种,已有2 300多年的栽培历史。茶油是优质食用油,富含以油酸和亚油酸为主的不饱和脂肪酸,且含量占90%以上,故其色清而味香,对长期食用者十分有益,可与橄榄油媲美。油茶生产的大力发展,不仅能够满足人们的生活所需,而且是建设良好生态环境,调整农业产业结构,发展农村经济,增加农民收入,使农民尽快脱贫致富的重要产业[1]。由于受苗木培育技术的制约,过去人们在油茶生产上长期采用实生苗造林,造成单产低、易出现大小年、经济效益差的现象,限制了油茶的推广与普及。近年来,油茶普遍采用芽苗砧嫁接技术育苗。芽苗砧嫁接是用未展叶的幼嫩的芽苗做砧木,嫁接枝芽的一种嫁接方法[2]。芽苗砧嫁接技术使得苗木培育时间由3~4 a缩短至1~2 a,且成本低,保持优良种性,移栽成活率达90%以上[3-4],取得了较大的经济效益和社会效益。油茶芽苗砧嫁接体愈合成功是油茶优良种质高效育苗的前提。因此芽苗砧嫁接体愈合是油茶苗木培育的关键问题。
嫁接体的愈合与砧穗内部各种生化物质含量有关,如酚类物质、多酚氧化酶、可溶性糖、可溶性蛋白质、木质素、水分以及内源激素等[5-11]。但植物内源激素是嫁接口愈合的主要控制因子之一[12-13]。生长素(indole-3-acetic acid,IAA)是主要影响嫁接口愈合的内源激素[14-16]。嫁接口的发育是否还受赤霉素(gibberellin,GA3)、分裂素(zeatin riboside,ZR)和脱落酸(abscisic acid,ABA)含量及激素之间比例的影响,尚未清楚。
因此,对油茶芽苗砧嫁接体愈合过程中嫁接口的IAA、ZR、GA3、ABA的变化及相互关系进行研究,探讨不同激素含量及其比例影响嫁接体愈合情况,从而确定愈合关键时期的内源激素种类、含量,进一步探讨芽苗砧嫁接体愈合机制,为芽苗砧嫁接在生产上推广应用提供理论参考。
1 材料与方法 1.1 材料培育芽苗砧的油茶种子采自福建省闽侯桐口林场的普通油茶同一优良无性系的优树。优树为树体健康、强壮,每平方米冠影的3 a平均产果量大于等于1.5 kg。将油茶果实置于室内自然通风处,待果实开裂后,选取饱满、有光泽的大粒种子,藏于室内干净的干河沙中,于翌年3月取出用湿沙催芽。湿沙先用托布津1 000~2 000倍液处理,然后一层沙、一层种子堆放,沙的厚度10 cm左右,每隔4~5 d洒水一次。湿沙中的胚芽伸长至3 cm左右时,即可作芽苗砧嫁接的砧木。切除胚芽时,保留胚茎1.5 cm,同时断胚主根,留6 cm左右。6月,选取同一优树健壮的半木质化的当年生枝条作为穗条。切一腋芽一叶,长2~3 cm作接穗。用劈接法进行芽苗砧嫁接,共嫁接3 000株。嫁接后栽植于试验田。株距2~3 cm,行距10~15 cm。栽种时压实土壤,籽粒露在畦面,浇透水,盖上白色透明塑料薄膜。棚内的温度保持在28~30 ℃。试验采用完全随机区组设计,3次重复。
材料处理后移栽当天至第26天每2 d取一次样,共取14次;第26天至第35天每隔3 d取一次样,共3次;第35天至第45天每隔5 d取一次样,共2次;第45天至第55天隔10 d取一次,共1次,总共取20次样。每次各取100株嫁接苗和实生苗,采用完全随机方法进行取样。取样得到的嫁接苗和实生苗在流水中清洗干净,截取油茶芽苗砧嫁接苗嫁接结合部1.0~1.5 cm的茎段。所有材料经液氮冷冻后,放入-70 ℃冰箱保存[17],待取样完成后统一测定。
1.2 方法称取0.5 g材料,加2 mL样品提取液[80%甲醇,内含1 mmol·L-1丁羟甲苯(butylated hydroxytoluene, BHT),冰浴中研磨成匀浆,转入10 mL试管,再用2 mL提取液分次将研钵冲洗干净,一并移入试管中,摇匀,放置4 ℃冰箱中;4 ℃中浸提4 h;3 500 r·min-1,离心8 min,取上清液。在沉淀物里加1 mL提取液,搅匀,4 ℃中提取1 h,3 500 r·min-1,离心8 min,合并上清液,记录体积,弃残渣。上清液过C18固相萃取柱进行纯化后待测。采用酶联免疫吸附测定法(enzyme-linked immunosorbent assay, ELISA)[18]测定激素含量,试剂盒由中国农业大学提供。每个样品重复测定3次。
1.3 数据处理采用SPSS18.0统计软件和Excel软件对试验数据进行统计分析。
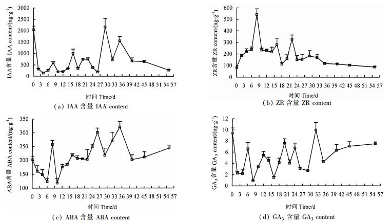
2 结果与分析 2.1 嫁接口愈合过程中内源激素的变化从图 1可得,嫁接口的IAA含量先降后呈起伏变化,在嫁接后第4天降至最低,为137 ng·g-1;在嫁接后第8、16、22、29及35天,IAA含量都处于峰值处;IAA含量最高是在嫁接后第29天。嫁接口的ZR含量呈起伏变化,在嫁接后第8、16和22天都处在峰值上,这与嫁接口的IAA含量变化相似;但ZR含量的最高值是在嫁接后第8天。嫁接口的GA3含量也呈起伏变化,在嫁接后第4、8、16、29及35天都处于谷值处。嫁接口的ABA含量在嫁接后的第8、16、26和35天在峰值处,而在嫁接后第6、10和32天处于谷值处。
|
图 1 油茶芽苗砧嫁接体愈合过程嫁接口内源激素的变化 Fig. 1 Change of endogenous hormones in the development of C. oleifera nurse seedling grafted union |
许多研究表明,植物激素对植物嫁接口愈合的影响不是孤立地发生作用,它们之间相辅相成,既相互制约又相互促进[19]。油茶芽苗砧嫁接体愈合过程中4种内源激素的平均值两两比值(图 2)。得出油茶芽苗砧嫁接体愈合过程中嫁接口的内源激素比例变化存在一定的差异。
|
图 2 油茶芽苗砧嫁接体嫁接口内源激素平衡的变化 Fig. 2 Change of endogenous hormones balance in the development of C. oleifera nurse seedling grafted union |
油茶芽苗砧嫁接口的ABA/IAA、ABA/ZR、ZR/IAA、GA3/ZR、GA3/ABA和GA3/IAA的比值在愈合过程中都随着发育时间而波动。按其比值的最大值与最小值的倍数大小排列,分别为GA3/ZR,值为69.71;ZR/IAA,40.27;GA3/IAA,21.50;ABA/IAA,16.10;GA3/ABA,14.91;ABA/ZR,5.83。从绝对数值上看,ABA/IAA、ABA/ZR和ZR/IAA三者比值较大,最大值达2.71;GA3/ZR、GA3/ABA和GA3/IAA这三者的比值则较小,几乎在0.1以内波动。ABA/IAA和ZR/IAA的比值变化比较相似,在处理后的第4、12、26和32天都有峰值;在处理后的第8、16、29和35天都有谷值。GA3/ZR、GA3/ABA和GA3/IAA的比值变化也相似,在处理后的第6、12、24和32天有峰值;在处理后的第8、16、22、29和35天都有谷值。而ABA/ZR的比值是先下降后曲折上升,在嫁接后的第8、18、22、29、35和40天有捌点。
2.3 嫁接口愈合过程中内源激素的相关分析从表 1可以得出,在油茶芽苗砧嫁接体愈合过程中,嫁接口的内源激素ZR与GA3、IAA、ABA都呈负相关,值差异明显,分别为-0.58、-0.17和-0.11,其中与GA3负相关呈极显著。IAA与GA3、ABA呈正相关,而GA3与ABA几乎无相关性。GA3/ZR、ZR/IAA和ABA/ZR这3对比值与本身两类激素都呈显著关系。而GA3/ABA、GA3/IAA和ABA/IAA这3对比值只与本身其中一类激素呈显著关系。按相关性显著水平的个数排序,ZR/IAA最多,达到8个,除了与GA3/ABA无显著相关外,与其它的激素和比例都是呈显著或极显著关系,最少的是ABA和GA3/ABA。
| 激素种类 Hormone type |
IAA | ZR | GA3 | ABA | ABA/IAA | ABA/ZR | ZR/IAA | GA3/ZR | GA3/ABA | GA3/IAA |
| IAA | 1 | |||||||||
| ZR | -0.17 | 1 | ||||||||
| GA3 | 0.13 | -0.58** | 1 | |||||||
| ABA | 0.31 | -0.11 | 0.09 | 1 | ||||||
| ABA/IAA | -0.68** | -0.04 | -0.20 | 0.06 | 1 | |||||
| ABA/ZR | 0.41 | -0.75** | 0.53* | 0.59** | -0.09 | 1 | ||||
| ZR/IAA | -0.66** | 0.46* | -0.45* | -0.46* | 0.67** | -0.66** | 1 | |||
| GA3/ZR | 0.33 | -0.67** | 0.85** | 0.18 | -0.23 | 0.78** | -0.56** | 1 | ||
| GA3/ABA | -0.02 | -0.43 | 0.85** | -0.37 | -0.19 | 0.19 | -0.16 | 0.66** | 1 | |
| GA3/IAA | -0.68** | -0.25 | 0.35 | -0.30 | 0.62** | -0.03 | 0.47* | 0.14 | 0.50* | 1 |
| 注:*P < 0.05;**P < 0.01。Note:*P < 0.05;**P < 0.01. | ||||||||||
植物激素是嫁接体发育的控制因子之一[12, 20]。对油茶芽苗砧嫁接口愈合过程解剖发现,嫁接后第4、8、16、22、29和35天分别在隔离层形成期、砧木愈伤组织形成期、接穗愈伤组织形成期、砧木与接穗连接期、愈伤组织形成层分化形成期及愈伤组织维管束形成期[21]。而图 1展现的规律正说明了嫁接口IAA、ZR、GA3和ABA含量变化都影响着油茶芽苗砧嫁接口的发育进程。
随着嫁接口愈合进程,4种内源激素对嫁接口的发育影响也不同。嫁接后第8、16和22天嫁接口处在砧木愈伤组织形成期、接穗愈伤组织形成期和愈伤组织连接期[21]。IAA含量上升,增加细胞壁的可塑性,促进细胞伸长。ZR含量上升,促进细胞分裂和扩大,因此嫁接后第8、16和22天嫁接口的IAA和ZR的含量都处在峰值上,能促进嫁接口愈伤组织形成与增殖。高浓度的生长素诱导原形成层细胞的生成[22-24],原形成层细胞在细胞分裂素降低后进一步分化植物维管束系统的形成[13, 25-26]。嫁接口IAA含量在嫁接后第29天最高,之后几天保持在相对高水平状态;而ZR含量却在这期间处在相对低水平,特别是嫁接后第35天又大幅度下降。这验证了嫁接后第29和35天油茶芽苗砧嫁接口处在维管束形成期和维管束分化期。GA3能影响维管蛋白基因表达,影响维管的排列,促进细胞的伸长和扩大[27]。这验证了嫁接后第32天,GA3含量达到最高,油茶芽苗砧嫁接口发育处在维管束分化阶段。ABA调控维管束的发育[28],在嫁接后第8和16天,其含量处在波峰,可能是纤维次生壁发育的起始信号[29]。而在嫁接后第26天至嫁接后第35天维管束形成的分化期内,嫁接口的ABA含量正处于高表达阶段[30]。
3.2 嫁接口内源激素的互作关系植物激素间的相互作用对植物正常发育非常重要,不同植物激素之间存在着协同、拮抗等关系,存在功能上的相关性,以协同调节植物的生长发育及对逆境的适应等[31]。油茶芽苗砧嫁接口中GA3/ZR、ZR/IAA和ABA/ZR三对激素比值显著影响愈合过程,有可能是ZR/IAA影响嫁接口形态建成方向[32],而GA3/ZR和ABA/ZR影响嫁接口的形态形成。
ZR/IAA的比值影响嫁接口形态建成方向。嫁接口愈合过程中ZR/IAA比值与其它激素间比值的相关性,除了GA3/ABA,都达到显著水平。ZR/IAA比值适中,有利于愈伤组织的形成[32],本研究得出嫁接后的第4天至第12天以及第26天(比值在1到1.5波动),嫁接口处在愈伤组织形成期或形成层分化期。ZR/IAA比值低时,有利于维管束的分化[33],本研究得出嫁接后的第29天之后(ZR/IAA比值在0.1左右波动),嫁接口处在维管束形成分化期。
GA3/ZR影响嫁接口形态的形成,主要是影响愈伤组织的形成与增殖。ZR与GA3呈显著负相关,说明GA3与ZR在油茶芽苗砧嫁接体愈合过程中起激烈的拮抗作用,调控嫁接口形态的形成。GA3在嫁接后第8、16和22天处在低谷,但ZR含量在此3个阶段都处在峰值上。可能此阶段是愈伤组织的形成与增殖阶段,需要高浓度的ZR。高浓度ZR通过阻碍GA3的信号传导来促进细胞分裂素的应答,在应答途径中调控两激素间的平衡[34]。这与本研究得到的GA3与ZR呈极显著负相关及GA3/ZR比值的最大值是最小值达到69.71的结果符合。ABA/ZR同样影响嫁接口形态的形成,主要是影响维管束的分化,虽然ABA和ZR没有这种作用,但ZR能降低乙烯生物合成和敏感性,ABA能加速乙烯的合成[35]。因此本试验得出在嫁接后第26天以后,ZR含量下降,而ABA含量总体上升,以及ABA/ZR比值持续上升,特别在嫁接后第35天达到最高值。
在油茶芽苗砧嫁接体愈合过程中,嫁接口的内源激素ZR与GA3、IAA、ABA都呈负相关,其中与GA3负相关呈极显著。说明嫁接口愈合过程中ZR与其他3种内源激素呈抑制作用,且最大是GA3。按相关性显著水平的个数排序,ZR/IAA最多,达到8个,除了与GA3/ABA无显著相关外,与其它的激素和比例都是呈显著或极显著关系。同时IAA与GA3的相关性为0.13,IAA与ABA相关性达到0.31。可能GA3和ABA都可影响质子泵的生物活性,调节嫁接口的生长发育,但GA3的作用途径可能是减轻抑制因子对植物体内质子泵活性的抑制作用,ABA可能是直接增强质子泵的活性[36]。质子泵的增强,有利于IAA对植物的生长发育起作用[37]。同时ABA/ZR与GA3、ABA和ZR都有显著关系,相关系数分别为0.53、0.59和-0.75。说明油茶芽苗砧嫁接口发育过程中可以通过GA3调控ZR,再由ZR调控IAA和ABA。
因此,为提高油茶芽苗砧嫁接的成活率,应使用低浓度外源GA3处理嫁接体,并加强田间水肥温的管理,以保持根尖和腋芽的旺盛活力。
| [1] | 汤佳, 冯金玲, 杨志坚, 等. 油茶果实内源激素变化与果实发育的关系[J]. 森林与环境学报, 2015, 35(4): 331–336. |
| [2] | 韩宁林. 芽苗砧嫁接[M]. 北京: 中国林业出版社, 1991: 122. |
| [3] | 周华, 董凤祥, 曹炎生, 等. 核桃子苗砧嫁接及相关生理指标的研究[J]. 林业科学研究, 2007, 20(1): 53–57. |
| [4] | 范成民, 董丽芬, 朱帜, 等. 核桃芽苗砧嫁接方法研究[J]. 西北林学院学报, 2008, 23(4): 109–111. |
| [5] | 罗雄飞, 李新生, 王哲东, 等. 超声活化酶解木质素用于酚醛树脂的制备[J]. 森林工程, 2017, 33(3): 39–43. |
| [6] | 马灼明, 李淑君, 杨冬梅. 酶解木质素的活化及用于酚醛树脂的制备[J]. 森林工程, 2017, 33(2): 64–67. |
| [7] | 时金金, 郭元茹, 潘清江. 以碱木质素胺盐为模板制备纳米二氧化钛及其光催化性能研究[J]. 森林工程, 2015, 31(3): 54–56, 62. |
| [8] | HUDINA M, ORAZEM P, JAKOPIC J, et al. The phenolic content and its involvement in the graft incompatibility process of various pear rootstocks (Pyrus communis L.)[J]. Journal of Plant Physiology, 2014, 171(5): 76–84. DOI:10.1016/j.jplph.2013.10.022 |
| [9] | COOKSON S J, MORENO M C, HEVIN C, et al. Heterografting with nonself rootstocks induces genes involved in stress responses at the graft interface when compared with autografted controls[J]. Journal of Experimental Botany, 2014, 65(9): 2473–2481. DOI:10.1093/jxb/eru145 |
| [10] | KOEPKE T, DHINGRA A. Rootstock scion somatogenetic interactions in perennial composite plants[J]. Plant Cell Reports, 2013, 32(9): 1321–1337. DOI:10.1007/s00299-013-1471-9 |
| [11] | FERNANDEZ-GARCIA N, CARVAJAL M, OLMOS E. Graft union formation in tomato plants: peroxidase and catalase involvement[J]. Annals of Botany, 2004, 93(1): 53–60. DOI:10.1093/aob/mch014 |
| [12] | ALONI B, COHEN R, KARNI L, et al. Hormonal signaling in rootstock-scion interactions[J]. Scientia Horticulturae, 2010, 127(2): 119–126. DOI:10.1016/j.scienta.2010.09.003 |
| [13] | 卢善发, 宋艳茹. 激素水平与试管苗离体茎段嫁接体维管束桥分化的关系[J]. 科学通报, 1999, 44(13): 1422–1425. DOI:10.3321/j.issn:0023-074X.1999.13.014 |
| [14] | YIN H, YAN B, SUN J, et al. Graft-union development: a delicate process that involves cell-cell communication between scion and stock for local auxin accumulation[J]. Journal of Experimental Botany, 2012, 63(11): 4219–4232. DOI:10.1093/jxb/ers109 |
| [15] | 曲云峰, 赵忠, 彭少兵, 等. 大扁杏嫁接部位形成层生化物质含量变化研究[J]. 西北林学院学报, 2008, 23(2): 73–76. |
| [16] | 卢善发. 离体茎段嫁接体内IAA的免疫组织化学定位[J]. 科学通报, 2000, 45(8): 856–860. |
| [17] | 肖辉海, 郝小花, 王文龙. 温度对温敏核不育水稻eui突变体最上节间伸长的影响[J]. 植物学报, 2011, 46(2): 138–146. |
| [18] | 覃喜军, 黄夕洋, 蒋水元, 等. 罗汉果花芽分化过程中内源激素的变化[J]. 植物生理学通讯, 2010, 46(9): 939–942. |
| [19] | 金雅琴, 黄雪芳, 李冬林, 等. 2种石蒜生长发育期鳞茎内源激素的动态变化[J]. 植物研究, 2010, 30(6): 697–702. |
| [20] | 卢善发, 宋艳茹. 嫁接接合部维管组织分化的激素调节[J]. 云南植物研究, 1999, 21(4): 483–490. |
| [21] | 杨志坚, 冯金玲, 陈辉. 油茶芽苗砧嫁接口愈合过程解剖学研究[J]. 植物科学学报, 2013, 31(3): 313–320. |
| [22] | 宋东亮, 沈君辉, 李来庚. 植物维管系统形成的调节机制[J]. 植物生理学通讯, 2010, 46(5): 411–422. |
| [23] | SACHS T. Integrating cellular and organismic aspects of vascular differentiation[J]. Plant Cell Physiology, 2000, 41(6): 649–656. DOI:10.1093/pcp/41.6.649 |
| [24] | GROOVER A T, PATTISHALL A, JONES A M. IAA8 expression during vascular cell differentiation[J]. Plant Molecular Biology, 2003, 51(3): 427–435. DOI:10.1023/A:1022039815537 |
| [25] | MÄHÖNEN A P, BISSHOPP A, HIGUCHI M, et al. Cytokinin signaling and its inhibitor AHP6 regulate cell fate during vascular development[J]. Science, 2006, 311(5757): 94–98. DOI:10.1126/science.1118875 |
| [26] | 戎国增, 诸亚铭. 西瓜嫁接苗愈合期接穗激素变化规律的研究[J]. 浙江农业科学, 2009(3): 583–585. |
| [27] | 陈金桂, 杨军, 周燮. 植物激素对微管和纤维素微纤丝排向的调节[J]. 生命科学, 2001, 13(3): 139–141. |
| [28] | RAZEM F A, BARON K, HILL R D. Turning on gibberellin and abscisic acid signaling[J]. Current Opinion Plant Biology, 2006, 9(5): 454–459. DOI:10.1016/j.pbi.2006.07.007 |
| [29] | YANG Y M, XU C N, JIA J Z. A system of ovule subculture for cotton (Gossypium hirsutum L.) fiber development[J]. Acta Agronomica Sinica, 2001, 27(6): 694–703. |
| [30] | CHEN J G, PANDEY S, HUANG J, et al. GCR1 can act independently of heterotrimeric G-protein in response to brassinosteroids and gibberellins in Arabidopsis seed germination[J]. Plant Physiology, 2004, 135(2): 907–915. DOI:10.1104/pp.104.038992 |
| [31] | 袁晶, 汪俏梅, 张海峰. 植物激素信号之间的相互作用[J]. 细胞生物学杂志, 2005, 27(3): 325–328. |
| [32] | 崔凯荣, 邢更生, 周功克, 等. 植物激素对体细胞胚胎发生的诱导与调节[J]. 遗传, 2000, 22(5): 349–354. |
| [33] | AMASINO R. 1955: kinetin arrives: the 50th anniversary of a new plant hormone[J]. Plant Physiology, 2005, 138(3): 1177–1184. DOI:10.1104/pp.104.900160 |
| [34] | GREENBOIM-WAINBERG Y, MAYMON I, BOROCHOV R, et al. Cross talk between gibberellin and cytokinin: the Arabidopsis GA response inhibitor SPINDLY plays a positive role in cytokinin signaling[J]. Plant Cell, 2005, 17(1): 92–102. DOI:10.1105/tpc.104.028472 |
| [35] | CHANG H, JONES M L, BANOWETZ G M, et al. Overproduction of cytokinins in petunia flowers transformed with P(SAG12)-IPT delays corolla senescence and decreases sensitivity to ethylene[J]. Plant Physiology, 2003, 132(4): 2174–2183. DOI:10.1104/pp.103.023945 |
| [36] | FUKUDA A, TANAKA Y. Effects of ABA, auxin, and gibberellin on the expression of genes for vacuolar H+-inorganic pyrophosphatase, H+-ATPase subunit A, and Na+/H+ antiporter in barley[J]. Plant Physiology and Biochemistry, 2006, 44(5/6): 351–358. |
| [37] | 吴玺, 梁婵娟. 模拟酸雨对水稻根系激素含量与生长的影响[J]. 环境化学, 2016, 35(3): 568–574. DOI:10.7524/j.issn.0254-6108.2016.03.2015090704 |
2018, Vol. 38


