河蟹养殖是水产养殖的重要组成部分,相比鱼类养殖,河蟹养殖在投喂技术上存在难点[1-2]。河蟹一般均匀分布于整个池塘,采用定点投喂方式难以覆盖,目前蟹塘采用的投喂方式仍然是人工投喂为主,劳动强度大,难以做到抛撒均匀,易造成饵料残余,并造成水体污染,增加养殖风险[3]。对蟹塘养殖方式进行优化有助于推进河蟹养殖业的发展,自主导航投饵船能实现全塘均匀投饵,是未来蟹塘投喂方式的重要发展趋势[4]。
近年来,国内开始针对小型投饵船进行研究。李明等[5]在国内外投喂机械研究的基础上,融合GPS导航、自动化控制、信息通信等现代技术,研发出一款螺旋桨推进的鱼塘自动巡航式单体投饵船。胡庆松等[6]针对虾塘水面存在增氧机固定绳等严重影响投饵船行驶的障碍物这一情况,设计出明轮驱动的全封闭尖底双体投饵船,并对其行驶可靠性进行了验证。不同环境的养殖塘对投饵船的功能需求存在差异,需要针对特定养殖需求进行细化研究。目前针对蟹塘小型投饵船的研究较少,蟹塘和虾塘不同,一般育有大片水草区。水草区可以净化蟹塘水质,增加水体溶氧量,遮阳降温,为河蟹提供植物性饲料和安全的栖息、蜕壳场所[7]。蟹塘投饵船的行驶水道是规划好的无水草区域,但水草区的浮水茎叶和漂流过来的少量水草会与投饵船船底接触,增加投饵船的行驶阻力,尤其是摩擦阻力,因此针对蟹塘投饵船的研究,船底减阻是主要研究目的之一。
对船体阻力进行研究,计算流体动力学(computational fluid dynamics,CFD)技术是目前的主要手段,它能观察到船体局部区域的流场变化,模拟计算结果可信度和准确性高[8-12]。肖国权等[13]基于SolidWorks软件设计了一款小型双体无人船并建立水动力学模型,研究发现船体阻力随吃水深度和船速增大产生波动且存在阻力急剧增大的拐点。方静等[14]利用CFD仿真软件分析对比两款船体的行驶阻力,发现改变片体艏部型线能显著降低船体兴波阻力。上述研究表明船体的型线、吃水深度、船速都会对小型无人船行驶阻力产生较大的影响。蟹塘养殖的投饵量随天气和养殖阶段动态变化,通过改变投饵船搭载质量和船速来控制投饵量,不合理的船速和搭载质量的改变都会增加投饵船行驶阻力,降低工作效率。本文基于蟹塘投饵船的实际工况,设计了两款新型船底型线,分析对比不同船底型线和型线尺寸在不同船速和吃水深度时对投饵船行驶阻力的影响,研究蟹塘投饵船作业时的适宜船型、船速和吃水深度,以减小蟹塘投饵船的行驶阻力,提升续航能力。
1 材料与方法 1.1 投饵船模型本文对双体平底小型投饵船进行计算模型构建,利用平底船试验验证流体计算模型的有效性,进一步对尖底和圆棱底船体进行计算和分析。平底船体为PE材料滚塑而成,片体通过700 mm×40 mm×20 mm不锈钢方钢连接,片体形状与主尺寸如图 1a所示。投饵船设计船速0.50~2.00 m/s,最大搭载质量35 kg,船体空载吃水深度0.1 m,满载吃水深度0.22 m。为方便计算,对三维船模进行简化,简化后的三维船模如图 1b所示,实船与船模尺寸比例1∶1,以减小尺寸变化引起的误差。
|
图 1 平底船船模 Fig. 1 Model of flat bottom boat |
船底减阻是蟹塘投饵船研究的重要对象,基于流线型会减轻水流脱流现象,水体流动时能较好地贴合船体表面,降低前后压差,减小行驶阻力这一特性,保持船体长宽等参数不变,将平底改造为尖底和圆棱底2种新的流线型态,如图 2所示。这2款船型能够增加投饵船空载时的吃水深度,降低船体重心,提高行驶的稳定性,确保空载时螺旋桨能完全浸没在水中,减小动力浪费。吃水深度加深,螺旋桨的安装高度高于平底船,能有效减少搬运船体时螺旋桨与地面碰撞导致的损坏。
|
图 2 船底形状 Fig. 2 Bottom shape of the boat |
本文设计的2款船型: 尖底船(图 2a)尺寸由L控制,选取L为5、10、15、20、25 mm共计5种尺寸进行仿真计算;圆底船(图 2b)尺寸由R1、R2两段圆弧共同控制,取R1为5、10、15、20、25 mm,R2为20、25 mm组合共计10种尺寸。采用15组尺寸进行仿真计算,着力减小由于尺寸单一计算结果具有偶然性从而对研究结论产生影响。
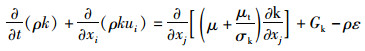
1.3 控制方程和湍流模型对不可压缩黏性流体采用平均雷诺(reynolds-averaged navier-stokes,RANS)方程,这是业内现阶段用于船舶仿真的主流控制方程[15],其在直角坐标系中表示为
(1)
(2)
式中: ρ为流体密度,kg/m3;t为时间,s;v为流体运动黏性系数,m2/s;p为流体压力,N/m2;fi为质量力,m/s2;ui、uj为时均速度,m/s;ui′、uj′为脉动速度,m/s。
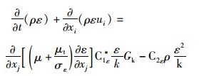
湍流模型选择重整化群两方程模型(re-normalization group k-ε,RNG k-ε),它具有较好的稳定性和准确度,经标准k-ε模型改进而来,其湍动能和耗散率的控制方程[15-16]为
(3)
(4)
式中:k为湍流动能,J;ε为湍流耗散率;Gk为由层流速度梯度引起的湍流动能,J;μ为动力黏性系数;μt为湍流黏性系数;C1ε*是C1ε的修正值;常量C1ε=1.42;C2ε=1.68;σk=σε=0.717 9。
1.4 计算域及网格划分运用Geometry软件设置计算域,计算域的具体尺寸:沿船首延伸1倍船长,沿船尾延伸4倍船长,船体左右两侧各延伸1倍船长,沿着竖直方向上下各延伸0.5倍船长。计算域包括气相和液相两部分,以船体吃水线作为气液分界面。计算域模型如图 3所示。
|
图 3 计算域和边界条件 Fig. 3 Computational domain and boundary conditions |
网格采用分块划分的方式,在计算域中设置一小型长方体包裹住船体,如图 3所示,用小体积四面体网格划分,其余区域用大体积六面体网格划分,如图 4所示。这种划分方式能有效降低网格数量,减少计算时间,本文网格划分数量不同计算组别均在93万~100万。
|
图 4 计算域网格剖面图 Fig. 4 Profile of computational domain meshes |
在分块划分的基础上开展网格无关性验证,选取粗网格、中网格、细网格等3种网格尺寸进行数值计算并分析网格尺寸对平底船空载行驶阻力模拟计算收敛性的影响,结果如表 1所示。计算结果误差随网格数量增加而减小,中网格与细网格的计算误差仅0.8%,但计算时间翻倍,因此后续计算的网格尺寸选取中网格。
|
表 1 网格无关性验证 Tab.1 Meshes independence verification |
仿真计算求解器选择非稳态求解,选择多相流模型Volume of Fluid,投饵船工作环境为水和空气,空气密度为1.225 kg/m3,水密度为998.2 kg/m3。将空气速度入口和水速度入口设定为速度入口,并设置空气速度入口的水含量为0,水速度入口的水含量为1。出口边界为压力出口。船体表面和计算域下底面设定为壁面,计算域左右两面与上顶面设定为对称面。边界条件设置如图 3所示。
2 结果 2.1 模型数据验证为验证计算模型的有效性,在上海海洋大学水槽中进行船体拖拽实验,使用减速比7.5∶1的调速电机,控制电机轴带动直径120 mm的滑轮机构转动,对平底船进行拖拽使其在长20 m的水槽中分别以0.50、0.75、1.00、1.25和1.50 m/s的船速匀速前进,如图 5所示。滑轮机构与船体用压力传感器连接,通过压力传感器获取不同速度下的拉力数值,本文使用的拉力传感器精度误差为0.03 N,满足对船体阻力变化进行精准观测的要求。
|
图 5 船体拖拽实验 Fig. 5 Towing experiment |
平底船水槽拖拽实验与仿真计算结果如图 6所示,实验结果与仿真计算的阻力变化趋势呈较高的一致性,误差率为5.9%~9.6%,随船速增加而增加,在船速为1.50 m/s时误差最大。由于实船试验受各类因素的影响,如电机实际转速与数显调速器显示的转速存在偏差、滑轮表面并不完全光滑,存在摩擦阻力等,试验与模拟计算结果产生误差的原因不易分析,但其总体误差率在10%以下,可以认为模拟计算结果具有可信度,文中所建立的水动力学计算模型有效。
|
图 6 计算值与实验值对比 Fig. 6 Comparison between calculated and test values |
设定平底船船速1.50 m/s、吃水深度0.1 m,研究在相同排水体积(船体搭载质量相同)和船速下船底型线对总阻力的影响,3种船型的片体中纵截面的速度云图如图 7所示。与平底船相较,圆棱底船船尾处形成更明显的涡流,涡流会增加船体尾部压力,减小投饵船首尾压力差,从而降低投饵船的兴波阻力;平底船、尖底船和圆棱底船船尾涡流处的流速分别为0~0.526 m/s、0~0.632 m/s和0~0.842 m/s,圆棱底船船尾涡流处流速更快,对船体的提速性更好。
|
图 7 不同类型船底速度云图 Fig. 7 Velocity nephogram with different bottom types |
3种船型在不同船底尺寸下的阻力对比如图 8所示。船速1.50 m/s时,尖底船和圆棱底船均具有减阻效果,尖底船的减阻率为1.13%~12.18%,圆棱底船的减阻率为6.13%~12.25%。同一种船底型线,型线的尺寸变化也能减小行驶阻力: 随着L增加,尖底船减阻率升高11.05%;随着R1增加,圆棱底船减阻率升高6.12%。这说明船底型线尺寸也是船体优化设计中的重要研究对象。
|
图 8 3种投饵船在不同船底尺寸下的阻力 Fig. 8 Resistance of three kinds of bait boats in different bottom sizes |
基于上文结果,选取R1为25 mm、R2为20 mm的圆棱底船和L为25 mm的尖底船作为研究对象,在相同载重量下,计算投饵船在船速0.50~2.00 m/s内的阻力,结果如图 9所示。船速0.50~1.50 m/s内,船体总阻力增加1.42~12.67 N;船速1.50~2.00 m/s内,船体总阻力增加21.89~41.23 N,其中船速在1.50~1.75 m/s的阻力增长率为87.48%~120.3%,阻力增长率过高会迅速增加投饵船耗电量、降低续航时间,不符合投饵船长时间续航这一设计要求。因此,为了提高投饵船的抗风浪性能,投饵船的最大船速可以达到2.00 m/s,但投饵船的经济船速应小于1.50 m/s。
|
图 9 3种投饵船不同船速下的阻力 Fig. 9 Resistance of three kinds of bait boat at different speeds |
与平底船相较,尖底船在船速1.50~2.00 m/s时具有减阻效果,在船速2.00 m/s时取得最大减阻值2.33 N;圆棱底船在船速0.50~2.00 m/s时始终具有减阻效果,减阻值随船速增加而增加,在船速2.00 m/s时取得最大减阻值4.69 N,减阻率为3.92%~16.27%。对比分析可知,圆棱底船的减阻效果更加理想。
2.4 不同吃水深度下阻力投饵船行驶时,船底与塘内水草接触,产生滑动摩擦阻力,摩擦力的计算公式如式5所示,摩擦阻力大小与船底压力成正比。
(5)
式中:μ为滑动摩擦系数,只与材料、接触面粗糙度有关;N为压力,N。
以3种船体在吃水深度0.10 m下的船底压力分布图(图 10)为例研究船底型线对水草阻力的影响。其中,平底船船底压力分布平均为813~944 Pa,尖底船船底尖棱处压力升高至944~1 080 Pa,其余部分压力降低至681~813 Pa,圆棱底船船底圆棱处压力升高至944~1 080 Pa,其余部分压力降低至550~681 Pa。压力值取压力区间的中间值,与平底船相比,尖底船船底尖棱处压力升高15.19%,剩余部分压力降低14.96%;圆棱底船船底圆棱处压力升高13.15%剩余部分压力降低32.60%,由于尖棱与圆棱面积占船底总面积比重较小,因此尖底船和圆棱底船均可有效减小船底与水草的总滑动摩擦阻力。
|
图 10 3种船型的船底压力 Fig. 10 Bottom pressure of three boat types |
表 2是船速1.50 m/s时3种船型在不同吃水深度下的阻力计算结果。吃水深度0.1~0.18 m内,平底、尖底和圆棱底船的阻力增值分别为2.49~15.49 N、2.49~13.57 N、2.07~12.05 N,吃水深度0.18~0.22 m内,阻力增值分别为26.66~37.83 N、24.75~35.88 N、21.08~27.75 N,对比可知3种船体均在在吃水深度0.18 m以上的阻力增值过高。在实际工况下,吃水过深还会导致船体兴起的波浪溅射到船体顶面,对船体顶面舱盖的密封性形成考验,因此3种船型的经济吃水深度应不大于0.18 m。
|
表 2 3种投饵船不同吃水深度的阻力 Tab.2 Resistance of three kinds of bait boat under different draught depths |
基于以上结果,在设计一款适合大水面养殖的蟹塘投饵船时采用圆棱底作为船底型线,船体设计载重量100 kg,空载吃水0.12 m,满载吃水0.26 m,船总长1.6 m、宽1 m、高0.28 m,片体形状如图 11所示。
|
图 11 大型圆棱底投饵船示意图 Fig. 11 Schematic diagram of large round bottom bait boat |
为验证大型圆棱底船的减阻效果,在上海海洋大学池塘中进行区间测速试验,大型圆棱底投饵船与小型平底投饵船同样搭载型号为MY6812、转速3 000 r/min的有刷电机,分别定位2个相同的坐标进行自主导航,分空载和满载两种情况进行区间测速,区间行程为20 m,为保证实验结果准确性,船速取3次测量的平均值,实验现场如图 12所示。
|
图 12 船速对比实验现场 Fig. 12 Site of speed comparison experiment |
区间测速试验结果如表 3所示。小型平底船和大型圆棱底船在相同动力系统下的空载平均船速分别为1.35 m/s和1.28 m/s,满载平均船速分别为0.96 m/s和0.94 m/s,2种投饵船的船速差距小于5.4%,显示了圆棱底船良好的减阻性能,进一步验证了本文研究结果的正确性。
|
表 3 相同动力下大型圆棱底船与小型平底船船速实验数据 Tab.3 Experimental data of speed of large round bottom boat and small flat bottom boat under the same dynamic force |
针对蟹塘投饵工况,设计了尖底与圆棱底2种新型船底,建立了投饵船在不同型线尺寸、船速0.50~2.00 m/s及吃水深度0.10~0.22 m下的水动力学计算模型。分析船底型线对船尾流场和船底摩擦阻力的影响,得出以下结论:
(1) 圆棱底船具有更好的船尾流场,能有效降低投饵船的兴波阻力。船底型线尺寸变化会对减阻效果产生较大影响,随L和R1增加,尖底船和圆棱底船的减阻率升高。
(2) 圆棱底船的减阻效果优于尖底船,减阻率为3.92%~16.27%。3种船型均在船速1.5 m/s以上时阻力增长率过高,不符合投饵船长时间续航的特性,所以投饵船的经济船速应小于1.5 m/s。
(3) 在相同吃水深度下,尖底船和圆棱底船可以有效减小船底表面与水草间的总滑动摩擦阻力。3种船型均在吃水深度0.18 m以上时阻力增长率过高,综合阻力和船体密封性考虑,投饵船的经济吃水深度应小于0.18 m。
基于CFD软件的模拟计算能准确观察船体局部流场的变化,对蟹塘投饵船阻力研究具有较好的运用价值。在后续投饵船设计中,应综合考虑船体型线、经济船速与吃水深度等几个方面的因素,以减小投饵船行驶阻力,从而提升投饵船续航能力。
| [1] |
CHEN Y S, QU X, XIONG F Y, et al. Challenges to saving China's freshwater biodiversity: Fishery exploitation and landscape pressures[J]. Ambio, 2020, 49(4): 926-938. DOI:10.1007/s13280-019-01246-2 |
| [2] |
田昌凤, 车轩, 刘兴国, 等. 池塘养殖沉积物收集装置的研制[J]. 上海海洋大学学报, 2019, 28(1): 103-108. TIAN C F, CHE X, LIU X G, et al. Design of sediment collection device for pond culture[J]. Journal of Shanghai Ocean University, 2019, 28(1): 103-108. |
| [3] |
陈晓龙, 陈军, 唐荣, 等. 对虾船载投饲机的研制[J]. 上海海洋大学学报, 2015, 24(1): 152-160. CHEN X L, CHEN J, TANG R, et al. Development of boat-borne feeding machine for shrimps[J]. Journal of Shanghai Ocean University, 2015, 24(1): 152-160. |
| [4] |
袁凯, 庄保陆, 倪琦, 等. 室内工厂化水产养殖自动投饲系统设计与试验[J]. 农业工程学报, 2013, 29(3): 169-176. YUAN K, ZHUANG B L, NI Q, et al. Design and experiments of automatic feeding system for indoor industrialization aquaculture[J]. Transactions of the Chinese Society of Agricultural Engineering, 2013, 29(3): 169-176. |
| [5] |
李明, 郑文钟, 洪一前. 自动巡航式无人驾驶投饵船的研制[J]. 现代农机, 2018(2): 48-51. LI M, ZHENG W Z, HONG Y Q. Development of an automatic cruise and unmanned bait-dropping ship[J]. Modern Agricultural Machinery, 2018(2): 48-51. DOI:10.3969/j.issn.1674-5604.2018.02.020 |
| [6] |
胡庆松, 曹佳瑞, 郑波, 等. 明轮驱动虾塘自主导航投饵船设计与可靠性试验[J]. 农业机械学报, 2019, 50(11): 121-128. HU Q S, CAO J R, ZHENG B, et al. Design and reliability test of paddle wheel drived shrimp pond autonomous navigation feeding boat[J]. Transactions of the Chinese Society for Agricultural Machinery, 2019, 50(11): 121-128. DOI:10.6041/j.issn.1000-1298.2019.11.013 |
| [7] |
马亚梅. 虾蟹养殖中池塘水质与底质的调控[J]. 中国水产, 2011(4): 49-51. MA Y M. Regulation of pond water quality and sediment in shrimp and crab farming[J]. China Fisheries, 2011(4): 49-51. DOI:10.3969/j.issn.1002-6681.2011.04.025 |
| [8] |
CHENG X D, FENG B W, CHANG H C, et al. Multi-objective optimisation of ship resistance performance based on CFD[J]. Journal of Marine Science and Technology, 2019, 24(1): 152-165. DOI:10.1007/s00773-018-0543-5 |
| [9] |
ZHUANG Y, WAN D C. Numerical study on ship motion fully coupled with lNGtank sloshing in CFD method[J]. International Journal of Computational Methods, 2019, 16(6): 1840022. DOI:10.1142/S0219876218400224 |
| [10] |
赵涛, 何龙, 李卫, 等. 一种半潜式无人艇的设计[J]. 上海海洋大学学报, 2019, 28(2): 313-319. ZHAO T, HE L, LI W, et al. Design of an unmanned semi-submersible vehicle[J]. Journal of Shanghai Ocean University, 2019, 28(2): 313-319. |
| [11] |
吴乘胜, 邱耿耀, 魏泽, 等. 船模阻力数值水池试验不确定度评估[J]. 船舶力学, 2015, 19(10): 1197-1208. WU C S, QIU G Y, WEI Z, et al. Uncertainty analysis on numerical computation of ship model resistance[J]. Journal of Ship Mechanics, 2015, 19(10): 1197-1208. DOI:10.3969/j.issn.1007-7294.2015.10.004 |
| [12] |
林鹏, 倪其军, 李胜忠, 等. 小水线面双体船纵向航态与阻力特性的CFD分析[J]. 船舶力学, 2017, 21(2): 168-174. LIN P, NI Q J, LI S Z, et al. Numerical simulation of resistance for the SWATH with consideration of navigation attitude[J]. Journal of Ship Mechanics, 2017, 21(2): 168-174. |
| [13] |
肖国权, 李天成, 黎日升, 等. 小型无人船阻力CFD模拟方法[J]. 中国测试, 2018, 44(12): 69-74. XIAO G Q, LI T C, LI R S, et al. CFD simulation method on resistance of small unmanned ship[J]. China Measurement & Testing Technology, 2018, 44(12): 69-74. |
| [14] |
方静, 黄晶, 冯佰威, 等. 基于CFD的超小型双体无人船总体设计[J]. 船舶工程, 2018, 40(5): 1-3, 56. FANG J, HUANG J, FENG B W, et al. General design of unmanned ultra-small catamaran ship based on CFD[J]. Ship Engineering, 2018, 40(5): 1-3, 56. |
| [15] |
胡俊明, 李铁骊, 林焰, 等. 基于RANS法和边界层理论预报三维船体阻力[J]. 船舶力学, 2018, 22(5): 552-559. HU J M, LI T L, LIN Y, et al. Prediction and validation of resistance of 3-D hull based on RANS method and boundary layer theory[J]. Journal of Ship Mechanics, 2018, 22(5): 552-559. DOI:10.3969/j.issn.1007-7294.2018.05.004 |
| [16] |
李超, 周其斗, 潘雨村, 等. 三种湍流模型对导管螺旋桨空化性能计算的比较[J]. 中国舰船研究, 2013, 8(2): 73-79. LI C, ZHOU Q D, PAN Y C, et al. Effects of three turbulence models on the cavitation performance evaluation for ducted propellers[J]. Chinese Journal of Ship Research, 2013, 8(2): 73-79. |
2022,
Vol. 31


