2. 上海海洋大学 水产与生命学院, 上海 201306;
3. 复旦大学 环境科学与工程系, 上海 200433
城市中土壤铅(Pb)作为重要的环境和公众健康问题在世界范围内被广泛研究[1, 2, 3]。目前,城市土壤铅的研究热点主要包括铅的来源和生物化学过程[3, 4, 5],运用生物可给性(bioaccessibility assessments)筛选Pb暴露风险的热点区域[1, 2, 6, 7],评估潜在的Pb暴露的高危人群[8],基于铅化学行为的土壤原位生态修复[9],城乡梯度上铅及其风险的空间插值[10, 11, 12, 13, 14],以及铅对城乡梯度上野生生物种群影响的评估等[15]。
如何量化城市区域土壤铅的空间分布是城市土壤铅危害控制的核心问题之一。构造空间显性模型可以有效地划定热点区域以及铅的生态修复[16, 17]。已有的模型所采用的变量包括房龄、房屋距道路的距离和房屋距建筑物的距离[17]、距离市中心的直线距离[18]以及人口密度[19]等。景观格局指数作为城乡景观格局异质性的度量方法在较多案例中得到应用[20, 21]。但是景观格局指数的应用应该更多地与生态过程和生态效应结合起来[22]。
本研究意在将景观格局指数与其他的景观变量包括道路密度、人口和其他社会经济变量结合起来,用于解释上海市城乡梯度上的土壤Pb浓度分布格局。
1 材料与方法 1.1 研究区概况自1990年以来,上海浦东新区经历了一个快速的城市化进程规模,成为上海乃至中国的发展引擎。2009年,原南汇地区并入浦东新区。从2005年开始,原南汇地区的临港新城因滴水湖的围垦而快速发展为上海的潜力新城。目前浦东新区从南到北有一个自然的城市化梯度。浦东新区的北部地区开发较早,城市化的程度高,而南部地区刚刚开始其城市化过程,尤其是在临港新城。
1.2 数据材料采用滑动窗口分析法分析浦东新区沿城市化梯度的景观格局变化。在研究区域西北到东南方向,构建一个长54 km,宽3 km的样带,沿样带用3 km×3 km的滑动窗口分析城市化格局的梯度变化(图1),窗口的移动距离是3 km。共有18个滑动窗口,从北到南依次标记为1-18。
|
图1 研究区域及移动窗口分析 Fig.1 The study area and the moving windows analysis method |
采用2010年7月的两景TM影像(118,38)和(118,39)来解译研究区域的土地利用数据。将几何校正后的影像拼接,在ENVI 4.2中选定研究区域并用矢量ROI命令剪切。然后,采用监督分类把土地利用类型分为9类:林地、河流海水、湖、光滩、城市建设用地、农村建设用地及其他建筑用地(如浦东国际机场)和农业用地(包括水浇地和旱地),见图1。主要的公路(highways)在影像上借助高分辨率的谷歌地图以及实地调查人工勾绘(图1)。通过实地调查验证表明Kappa指数为0.72,分类精度符合研究需要。
参考公开的地图,在影像图上勾绘出研究区内的建制城镇,并在ArcGIS 9.3中构造属性数据库。参考浦东新区2010年年度统计年鉴[23],获得耕地面积(arable lands,AL)、人口(population,POP)、工业产值(industrial production,IP)、农业产值(agricultural production,AP)和农民的人口比例(percent of farmers population,PFP)等社会和经济信息,并将这些信息作为变量贮存在数据库中。利用ArcGIS 9.3空间分析工具,采用反距离加权法插值得到这些变量的空间分布图。
调查2012年5月工作日高峰时段7:00到9:00上海的交通流量(traffic volume,TV)。交通流量调查主要的道路,包括国道,以及主要的省级高速道路。用便携式计数器记录所有的汽车,并转化成标准化的汽车当量[24]。然后将汽车数量作为变量在ArcGIS 9.3中插值得到交通量的空间分布图。
从南到北,采用系统采样法采集40个表层土壤样品,分析表层土壤重金属的含量。在每个采样点,以“W”型5个重复取样,每个重复之间的间隔距离10~20 m,用塑料铲收集10 cm厚度的表层土壤样本[25, 26](图1)。样品在实验室内风干后混合,然后研磨过0.15 mm筛。在复旦大学测试分析中心用石墨炉原子吸收法测定土壤中的铅(Z-5000,Hitachi)。土壤铅的测定值在ArcGIS 9.3软件中空间插值得到Pb的空间分布图[27]。
最后,以上述插值所得的空间分布图,在每个滑动窗口内采用区域统计方法(zonal statistics)计算道路密度(road density,RD)、交通量(TV)、AL、POP、IP、AP以及PFP等社会经济指标变量和Pb的平均值。
1.3 分析方法将2010年的矢量土地利用图转换成栅格格式,用Fragstats软件[28]分析每个滑动窗口内的建筑用地面积百分比(PLAND)、景观形状指数(LSI)、斑块密度(PD)、最大斑块指数(LPI)、蔓延度指数(CONTAG)、面积加权平均形状指数(SHAPE_AM)、面积加权平均分维数(FRAC_AM)等景观格局指数[20, 21, 29, 30, 31]
在Excel中,用自北向南的1-18滑动窗口为x轴,经济(IP、AP)、人口(POP、PFP)、Pb的平均值,以及景观格局指数的计算值为y轴作图,分析各景观变量自北向南沿城市-乡村格局梯度的变化。
用SPSS 19.0软件的层次聚类分析法(hierarchical cluster analysis)将景观格局指标(PLAND、LSI、PD、LPI、CONTAG、SHAPE_AM)、经济指标(IP、AP)、人口数据(POP、PFP)、道路密度RD和交通量TV等进行聚类分析,将可能的影响Pb分布的因素划分为不同的类别。
然后,选取每个滑动窗口中Pb的平均值作因变量,经过聚类分析的不同类别的景观尺度变量作自变量,在SPSS 19.0 中做逐步线性回归分析。通过检查R2的变化过程,考察输入的每个变量影响Pb空间分布的相对重要性。
2 结果与讨论 2.1 上海市城乡梯度上的景观变量分布研究区的北部因浦东开发的历史较早,城市化的发展程度高,道路密度(RD)、工业生产(IP)和人口(POP)等变量的值北部区域高于南部区域,而在南部区域,耕地面积(AL)、农业产值(AP)和农民的人口比例(PEP)等值则高于北部区域。图2显示,Pb峰值分布在城乡梯度的中部区域。Pb的空间插值分析结果表明最高的铅值出现在康桥区域。LI等发现市中心表层土壤Pb的含量明显高于郊区[30]。在路易斯安那州的新奥尔良[18],Pb的浓度是波动的,最高浓度值出现在旧城区,并沿着拥有大交通流量的区域。本研究中,Pb最高值出现在上海康桥工业区,该区域快速的工业发展是其出现最高铅浓度值的主要原因。
|
图2 沿城市梯度的景观变量及Pb的空间分布 Fig.2 The spatial distribution of the landscape variables and Pb along the urban-rural gradient |
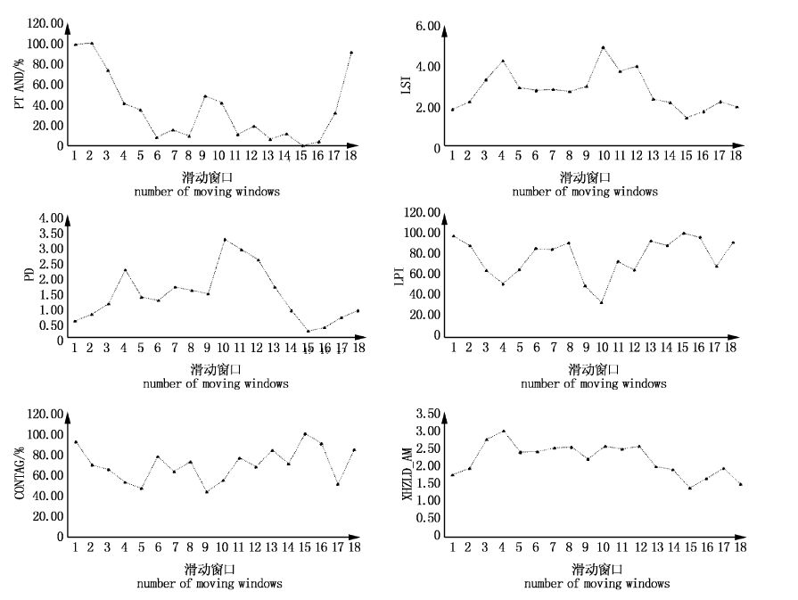
建筑用地面积(PLAND)从市中心逐渐降低,而在临港新城区域又大幅上升。这与自2003年以来临港新城的快速发展有关。在城乡梯度的中部,第10个滑动窗口的位置,即宣桥、康桥一带,景观形状指数(LSI)和斑块密度(PD)出现峰值。最大斑块指数(LPI)和蔓延度指数(CONTAG)在靠近郊区处出现峰值。形状加权指数(SHAPE_AM)先增加,然后总体上自北向南逐渐降低(图3)。
|
图3 沿城乡梯度的景观指数分布 Fig.3 The spatial distribution of the landscape metrics along the urban-rural gradient |
斑块密度(PD)的峰值出现在距离城市中心30~36 km处,即第10到第12个滑动窗口之间。在本次研究中,最大斑块指数(LPI)先减少后增加,峰值出现在临港附近。这与临港的景观基质是农业用地,滑动窗口内部多出现最大的农田斑块类型有关。景观形状指数(LSI)缓慢的增加,在梯度的中部出现峰值,与LUCK和WU所报道的相同[20]。这表明,距离市中心越远,景观复杂性增加。比较市中心和农村地区,在中部的位置LSI、PD等反映景观破碎化和景观复杂程度的指标都出现峰值,反映了城市化扩张过程更快的态势。这些结论在其他地区的报告中被证实[29, 31]。面积加权的形状指数(SHAPE_AM)先增加然后缓慢降低,这与LUCK和WU等报道的不同[20]。这是因为研究区域内最大斑块是人为干扰高的农业用地,其用地形状与凤凰都市区最大的斑块是人为干扰低的沙漠相比,更为规则。蔓延度指数(CONTAG)波动缓慢,峰值出现在南部的农村地区。这是因为在农村地区,最多的斑块类型是农村住宅区或大的乡镇,而这些斑块类型总是围绕着相对较大的乡镇逐渐展开的,聚集程度较高。
2.2 景观变量的聚类分析在聚类距离为10的情况下,所有的景观格局指数、经济和人口变量、道路密度(RD)和交通流量等指标被分为五类。第一类是耕地面积AL、农业产值AP和农民人口比例PFP。这反映的是与农业有关的指标,说明耕地面积越多,农业产值越高,从业的农民人口比例更高。第二类是斑块密度(PD)和景观形状指数(LSI),从图3可以看出,PD和LSI有着类似的梯度变化规律,主要反映的是景观的破碎化程度和复杂程度,这与城市化过程的快慢有较强的相关。第三类是最大斑块指数(LPI)、蔓延度(CONTAG)、交通流量(TV)、面积加权的形状指数(SHAPE_AM)和面积加权的分维数(FRAC_AM),这类指标总的来说,反映的是滑动窗口中最大斑块和控制性景观相对强度的指标。指标的值越大,景观的破碎化程度低。第四类指标是道路密度(RD)、人口(POP)和工业生产(IP),这类指标反映出与农业指标相反的趋势,工业产值高,人口总数高,道路的路网建设更为密集。第五类指标是建筑用地面积百分比(PLAND),见图4。而在聚类距离调整为15的情况下,所有指标可以分为三类,即距离为10的分类中,第一类和第二类合并为一类,说明本研究区域的景观破碎化加重的地区在农村区域,即城市化快速发生的区域在农村地区。这从康桥、宣桥等一线周边主要是农业用地景观可以得到证实(图1)。聚类距离为10的第四类和第五类合并为一类,说明工业生产、人口聚集的区域往往有更高的建筑用地面积比例。
|
图4 景观变量的层次聚类分析 Fig.4 The hierarchical cluster analysis of the landscape variables |
逐步线性回归分析表明(表1),景观形状指数(LSI)和道路密度(RD)可以解释64%Pb的空间分布。从模型1到模型2,景观形状指数(LSI)和道路密度(RD)分别被输入模型中,R2的变化值分别为0.56和0.13。这表明,景观形状指数(LSI)可以解释56%铅的空间分布,而道路密度(RD)可以解释13%的空间分布。
| 表1 逐步线性回归分析参数估计和方差分析 Tab 1. Parameters estimated and ANOVA of the stepwise linear regression analysis |
与SCHWARZ等的研究相比,我们的研究表明,自变量包括景观形状指数(LSI)和道路密度(RD),可以很好地解释土壤铅的分布。这说明,Pb的来源主要有两块:城市化发展的速度和交通。关于交通影响城市中土壤Pb的研究已经有很多[1, 32, 33],主要反映了历史上含铅汽油的使用在交通沿线的富集状况。LSI在本研究中主要反映了因工业化的快速发展而带来的土地利用的破碎化过程,工业化的快速发展与Pb在土壤中的富集过程有关。
TOIT等提出[34],景观结构和人口属性是城市化研究中量化城乡梯度格局的方法,这在本研究中得到了证明。与其他地区相比,本次研究中运用道路密度(RD)、建筑用地面积百分比(PLAND)和人口(POP)来描述城市景观特性[18]。Hahs and McDonell曾将城市化的度量方法分为三类,即人口变量,物理变量如道路密度、建筑用地面积百分比等,以及景观格局指数[35]。通过在澳大利亚墨尔本的城乡梯度研究,HAHS和MCDONELL提出了量化城市化格局分异的四种方法:第一为耦合指数,主要考虑人口调查指标和景观格局的分维数指标等信息;第二为单位城市用地的人口数;第三为景观形状指数;第四为控制性景观的变量如百分比[35]。而人口指标和物理变量指标较景观格局指标更能反映城市化格局的特征。本研究揭示了景观格局指标和物理指标即道路密度RD在Pb空间分布中的重要作用。这实际与区域的城市化开发过程息息相关。
3 结论沿着城乡梯度,景观格局指数、道路密度等物理变量可以结合起来有效解释Pb沿城乡梯度的浓度变化。结果表明,沿着城乡梯度的Pb浓度变化与LSI所反映的城市化开发的速度,以及道路密度有关。景观格局指数可以有效地用于生态过程的解释。本研究中,LSI的值很好地反映了研究区城乡梯度开发的异质性。在工业化开发速度快,景观格局更为破碎的景观区域,Pb的引入也较高。
| [1] | LU Y, YIN W, HUANG L B, et al. Assessment of bioaccessibility and exposure risk of arsenic and lead in urban soils of Guangzhou City, China[J]. Environmental Geochemical Health, 2011, 33(2): 93-102. |
| [2] | SMITH E, WEBER J, NAIDU R, et al. Assessment of lead bioaccessibility in peri-urban contaminated soils[J]. Journal of Hazardous Materials, 2011, 186(1): 300-305. |
| [3] | MICHOPOULOS P, BALOUTSOS G, ECONOMOU A, et al. Biogeochemistry of lead in an urban forest in Athens, Greece[J]. Biogeochemistry, 2005, 73(2): 345-357. |
| [4] | DUZGOREN-AYDIN N S. Sources and characteristics of lead pollution in the urban environment of Guangzhou[J]. Science of the Total Environment, 2007, 385(1/3): 182-195. |
| [5] | CLARK H F, BRABANDER D J, ERDIL R M. Sources, sinks, and exposure pathways of lead in urban garden soil[J]. Journal of Environmental Quality, 2006, 35(6): 2066-2074. |
| [6] | APPLETON J D, CAVE M R, PALUMBO-ROE B, et al. Lead bioaccessibility in topsoils from lead mineralisation and urban domains, UK[J]. Environmental Pollution, 2013, 178: 278-287. |
| [7] | APPLETON J D, CAVE M R, WRAGG J. Modelling lead bioaccessibility in urban topsoils based on data from Glasgow, London, Northampton and Swansea, UK[J]. Environmental Pollution, 2012, 171: 265-272. |
| [8] | AELION C M, DAVIS H T, LAWSON A B, et al. Associations between soil lead concentrations and populations by race/ethnicity and income-to-poverty ratio in urban and rural areas[J]. Environmental Geochemical Health, 2013, 35(1): 1-12. |
| [9] | ELLESS M P, BRAY C A, BLAYLOCK M J. Chemical behavior of residential lead in urban yards in the United States[J]. Environmental Pollution, 2007, 148(1): 291-300. |
| [10] | SHINN N J, BING-CANAR J, CAILAS M, et al. Determination of spatial continuity of soil lead levels in an urban residential neighborhood[J]. Environmental Research, 2000, 82(1): 46-52. |
| [11] | HOOKER P J, NATHANAIL C P. Risk-based characterisation of lead in urban soils[J]. Chemical Geology, 2006, 226(3/4): 340-351. |
| [12] | ABEL M T, SUEDEL B, PRESLEY S M, et al. Spatial distribution of lead concentrations in urban surface soils of New Orleans, Louisiana USA[J]. Environmental Geochemical Health, 2010, 32(5): 379-389. |
| [13] | WALTER C, MCBRATNEY A B, ROSSEL R A V, et al. Spatial point-process statistics: concepts and application to the analysis of lead contamination in urban soil[J]. Environmetrics, 2005, 16(4): 339-355. |
| [14] | MORRISON D, LIN Q, WIEHE S, et al. Spatial relationships between lead sources and children's blood lead levels in the urban center of Indianapolis (USA)[J]. Environmental Geochemical Health, 2013, 35(2): 171-183. |
| [15] | ROUX K E, MARRA P P. The presence and impact of environmental lead in passerine birds along an urban to rural land use gradient[J]. Archives of Environmental Contamination and Toxicology, 2007, 53(2): 261-268. |
| [16] | SCHWARZ K, PICHETT S T A, LATHROP R G, et al. The effects of the urban built environment on the spatial distribution of lead in residential soils[J]. Environmental Pollution, 2012, 163: 32-39. |
| [17] | SCHWARZ K, WEATHERS K C, PICKETT S T A, et al. A comparison of three empirically based, spatially explicit predictive models of residential soil Pb concentrations in Baltimore, Maryland, USA: understanding the variability within cities[J]. Environmental Geochemistry and Health, 2013, 35(4): 495-510. |
| [18] | POUYAT R V, YESILONIS I D, SZLAVECZ K, et al. Response of forest soil properties to urbanization gradients in three metropolitan areas[J]. Landscape Ecology, 2008, 23(10): 1187-1203. |
| [19] | CALLENDER E, RICE K C. The urban environmental gradient: anthropogenic influences on the spatial and temporal distributions of lead and zinc in sediments[J]. Environment Science Technology, 2000, 34(2): 232-238. |
| [20] | LUCK M, WU J G. A gradient analysis of urban landscape pattern: a case study from the Phoenix metropolitan region, Arizona, USA[J]. Landscape Ecology, 2002, 17(4): 327-339. |
| [21] | WU J G, JENERETTE G D, BUYANTUYEV A, et al. Quantifying spatiotemporal patterns of urbanization: the case of the two fastest growing metropolitan regions in the United States[J]. Ecological Complexity, 2011, 8(1): 1-8. |
| [22] | FANG S B, ZHANG X S, JIA X B, et al. Evaluation of potential habitat with an integrated analysis of a spatial conservation strategy for David's deer, Elaphurus davidians[J]. Environmental Monitoring and Assessment, 2009, 150(1/4): 455-468. |
| [23] | 上海市浦东新区统计局. 上海浦东新区统计年鉴[M]. 北京: 中国统计出版社, 2010.Statistics Bureau of PuDong, Shanghai. Annual Statistical Book of PuDong New Area[M]. Beijing: The Chinese Statistical Press, 2010. |
| [24] | 魏明, 陈理, 迟瑞娟, 等. 北京市拥堵路段典型交叉口交通流量调查与分析[J]. 中国农业大学学报, 2004, 9(1): 91-95.WEI M, CHEN L, CHI R J, et al. Survey and analysis of traffic flow at typical intersection of congested road in Beijing[J]. Journal of China Agricultural University, 2004, 9(1): 91-95. |
| [25] | FANG S B, JIA X B, YANG X Y, et al. A method of identifying priority spatial patterns for the management of potential ecological risks posed by heavy metals[J]. Journal of Hazardous Materials, 2012, 237-238: 290-298. |
| [26] | FANG S B, XU C, JIA X B, et al. Using heavy metals to detect the human disturbances spatial scale on Chinese Yellow Sea coasts with an integrated analysis[J]. Journal of Hazardous Materials, 2010, 184(1/3): 375-385. |
| [27] | 谢云峰, 陈同斌, 雷梅, 等. 空间插值模型对土壤Cd污染评价结果的影响[J]. 环境科学学报, 2010, 30(4): 847-854.XIE Y F, CHEN T B, LEI M, et al. Impact of spatial interpolation methods on the estimation of regional soil Cd[J]. Acta Scientiae Circumstantiae, 2010, 30(4): 847-854. |
| [28] | MCGARIGAL K, MARKS B J. FRAGSTATS: spatial pattern analysis program for quantifying landscape structure, PNW-GTR-351[R]. Portland: US Department of Agriculture, Forest Service, Pacific Northwest Research Station, 1995. |
| [29] | IRWIN E G, BOCKSTAEL N E. The evolution of urban sprawl: evidence of spatial heterogeneity and increasing land fragmentation[J]. Proceedings of the National Academy of Sciences of the United States of America, 2007, 104(52): 20672-20677. |
| [30] | LI H B, YU S, LI G L, et al. Contamination and source differentiation of Pb in park soils along an urban-rural gradient in Shanghai[J]. Environmental Pollution, 2011, 159(12): 3536-3544. |
| [31] | YEH C T, HUANG S L. Investigating spatiotemporal patterns of landscape diversity in response to urbanization[J]. Landscape and Urban Planning, 2009, 93(3/4): 151-162. |
| [32] | SHI G, CHEN Z, TENG J, et al. Fluxes, variability and sources of cadmium, lead, arsenic and mercury in dry atmospheric depositions in urban, suburban and rural areas[J]. Environmental Research, 2012, 113: 28-32. |
| [33] | RIO-SALAS R D, RUIZ J, DE LA O-VILLANUEVA M, et al. Tracing geogenic and anthropogenic sources in urban dusts: Insights from lead isotopes[J]. Atmospheric Environment, 2012, 60: 202-210. |
| [34] | DU TOIT M J, CILLIERS S S. Aspects influencing the selection of representative urbanization measures to quantify urban-rural gradients[J]. Landscape Ecology, 2011, 26(2): 169-181. |
| [35] | HAHS A K, MCDONNELL M J. Selecting independent measures to quantify Melbourne's urban-rural gradient[J]. Landscape and Urban Planning, 2006, 78(4): 435-448. |
2. College of Fisheries and Life Science, Shanghai Ocean University, Shanghai 201306, China;
3. Environmental Science and Engineering Department, Fudan University, Shanghai 200433, China
2015, Vol. 24

