2. 上海海洋大学 海洋工程研究所, 上海 201306
海流能在世界上分布广泛,不但蕴藏着巨大的能量且具有清洁、可持续发展的优点。充分开发其潜能已成为各国积极研究的项目。海流机作为海流能的捕获装置之一,其性能研究已成为海流能有效开发利用的关键。而影响海流能发电装置性能的关键参数之一就是叶片的形状。现已有诸多关于海流能发电装置的叶片力学性能的研究[1, 2, 3, 4],主要针对“风车”式、“空心”式、“导流罩”式、“直叶片”式、“螺旋”式、“savonius”式、“柔性叶片”式进行研究。
本文基于上海海洋大学研制的叶片式海流能发电装置[5]研究工作的基础上,采用FLUENT流体仿真软件,对3类不同形状的叶片进行数值分析。比较了不同形状的叶片受力情况。通过分析不同形状叶片的速度矢量场、压力场,总结了不同叶片形状下,叶片式海流能发电装置的外流场分布规律特征,为模型实验和参数优化奠定基础。
1 叶片式海流能发电装置结构 1.1 发电装置结构叶片式海流能发电装置包括浮体、防水罩、皮带、发电机、夹头、主轴、叶片、导向机构、皮带轮、压块,在导向机构的作用下,叶片在工作过程中始终保持垂直于水面(图 1)。
假设海流方向如图 1箭头所示,当叶片进入水中时,叶片受到水流的冲击,由于叶片始终是垂直的,因此叶片受到水平方向作用力,叶片受到的力通过主轴作用到导向机构上,给导向机构提供了切向力,使导向机构做旋转运动,这样就实现了海水单向流动向旋转运动的转化,导向机构的转动再通过增速机构传递到发电机进行发电。因此,叶片接受海流冲击的面积始终是最大的,并且在出水时阻力最小,海流能的利用效率大大提高。
|
图 1 叶片式海流能发电装置结构图 Fig. 1 Structure of the new vane current generation device |
1.2 叶片结构形状
为了研究叶片形状对发电装置的影响,在相对于迎流方向(从左至右)设计了3类叶片,即平板型(n1)、外凸型(n2、n3、n4)、内凹型(n5、n6、n7)。叶片的高度L为70 mm,厚度为2 mm。外凸型与内凹型的叶片的弧度逐渐增加。
|
图 2 叶片形状说明图 Fig. 2 Demonstration of blade shapes |
2 计算模型 2.1 计算域及边界条件设置
采用二维简化模型进行叶片仿真计算。并根据仿真环境以及文献[6, 7]经验设置计算域为长方形。wall1、wall2代表叶片的前部壁面;wall3、wall4代表叶片的背部壁面;wall5、wall6分别代表叶片的上部壁面和下部壁面。叶片高度为L,选取叶片的前壁与背壁分别距离上游边界和下游边界为4L。叶片上壁与下壁分别距离顶部边界与底部边界约5L。整个计算域关于原点对称。流场参数设置进口边界为速度入口,来流方向为X轴方向,并设置为来流速度为2 m/s;出口边界为压力出口,设置为1个大气压值。计算域上下边界外侧的水环境,设置为对称边界(图 3)。
|
图 3 计算域设计及边界条件设置 Fig. 3 Design of computation field and set of boundary conditions |
2.2 网格生成
本模型利用GAMBIT软件对计算域进行分块式网格划分[8]。对于Ⅲ、Ⅳ、Ⅴ、Ⅵ区域,平板型叶片采用结构化网格(图 4a)。外凹型和内凸型叶片由于形状较为不规则,采用非结构化网格(图 4b)。其他区域的网格仍采用结构化网格。
|
图 4 模型计算域与网格划分图 Fig. 4 Computation field and mesh generation |
2.3 求解设置
本文求解属于定常问题。利用FLUENT软件进行模拟仿真时,选用基于压力的分离式求解器[9, 10],数值方法直接求解 2D 不可压粘性流体的(Standard k-ε)方程。
在雷诺应力中,涡粘性模型可以表示为:


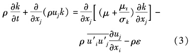
湍动能k的输运方程为:

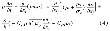
湍流流动的能量耗散率ε的输运方程为:

上述公式中的经验常数分别为:Cμ=0.09;Cε1=1.44;Cε2=1.92;σk=1.0;σε=1.3。
压力速度耦合使用计算量较小易于收敛的 SIMPLE 算法。为了提高计算精度,减小计算结果的偏差,动量方程、湍动能k方程和耗散率方程均采用 2 阶迎风格式。
3 计算结果及分析 3.1 不同形状叶片的外流场速度 3.1.1 不同形状叶片外流场速度分布规律由图 5可知,不同叶片形状背壁流域都出现低速尾流区,该尾流向后方逐渐恢复速度。水流流经叶片两侧,叶片两侧前端开始出现流动分离。随着水流绕流叶片上下壁两侧流速急剧增大,靠近叶片上下壁两侧的水流速度达到最大。
3.1.2 不同形状叶片速度比较分析相对于第一、二类叶片,第三类叶片的低速区区域影响范围较小,速度恢复较快。绕流之后,叶片的背壁后方区域,第一类平板型叶片的速度矢量变化最小,相对最稳定(图 5)。
|
图 5 不同形状叶片外流场速度分布 Fig. 5 Velocity vector of different blades' exterior flow field |
3.1.3 不同形状叶片速度最大值比较分析
由图 6可知平板型叶片的速度最大值最大。
|
图 6 不同形状叶片外流场速度最大值图 Fig. 6 Maximum velocity magnitude of different blades' exterior flow field |
3.2 外流场压力 3.2.1 外流场压力分布规律
由图 7可知,叶片前壁受正压,背壁受负压;叶片前壁的压力大于背壁,压力系数分布较稳定均匀。叶片的壁面相对于周围流场承受较大压力。外流场压力最初为正压在接近叶片前壁处正压突然达到最大值,之后随着流动分离正压在叶片后壁后方减小,而叶片后壁处产生负压。
|
图 7 不同形状叶片外流场压力分布 Fig. 7 Contours of static pressure of different blades' exterior flow field |
3.2.2 不同形状叶片压力比较分析
相比第一、二类叶片而言,第三类内凹型叶片的背壁负压区域较大。
3.2.3 不同形状叶片压力最大值比较分析由图 8可知,相对于第一、二类叶片,第三类内凹型叶片外流场正压最大值最大,第二类外凸型叶片外流场正压最大值最小。第一类平板型叶片外流场负压最大值最大,第三类内凹型叶片负压最大值最小。
|
图 8 不同形状叶片外流场压力最大值图 Fig. 8 Maximum value of static pressure of different blades' exterior flow field |
3.3 壁面受力比较
第二类外凸型叶片壁面所受总力最小,平板的叶片壁面所受总力最大;外凸型叶片随着弯曲弧度的增加壁面所受总力呈减小趋势(图 9)。
|
图 9 不同形状叶片壁面受力图 Fig. 9 Maximum force on different types of blades |
3.4 尾流分析
叶片背部壁面距离叶片一段距离处的速度矢量变化十分强烈。叶片背壁后方区域出现尾迹流,水流在此处形成两个对称的很强的“涡”。这是造成叶片背部速度波动剧烈的主要原因,叶片的背壁后方具有很强的湍流特性,并伴随着能量的耗散,因此大大增加叶片的阻力。叶片尾涡随着离开叶片背部距离的增大而最终消失。
| [1] | 杨承志,柳慧春,周云龙. 水平轴风力机的叶片设计与基于CFD的流场分析[J].东北电力大学学报,2010,30(1):21-26.YANG C Z, LIU H C, ZHOU Y L. Blade design of Horizontal axis wind turbine and flow field analysis based on CFD[J]. Journal of Northeast China Institute of Electric Power Engineering, 2010,30 (1):21-26. |
| [2] | BATTEN W M J,BAHAJ A S,MOLLAND A F,et al. Hydrodynamics of marine current turbines [J].Renewable Energy,2006,31(2):249-256. |
| [3] | 王树杰,鹿兰帅,李冬,等. 潮流发电帆翼式柔性叶片水轮机实验研究[J].海洋工程,2009,27(1):83-89.WANG S J, LU L S, LI D, et al. Experimental Study on sail-wing flexible-blade turbine generation device[J]. The Ocean Engineering, 2009,27 (1):83-89. |
| [4] | 孙晓晶,黄典贵,吴国庆. 一种提高Darrieus型海流能转换装置性能方法的研究[J].工程热物理学报,2011(12):60-63.SUN X J, HUANG D G, WU G Q. A study on improving the performance of the Darrieus current energy conversion device [J].Journal of Engineering Thermophysics, 2011 (12):60-63. |
| [5] | 张丽珍,曹小龙,安丰贞,等.叶片式海流能发电装置:中国,201210126289.2[P].2012-08-15.ZHANG L Z, CAO X L, AN F Z, et al. Vane current energy generation device: China,201210126289.2[P]. 2012 -08-15. |
| [6] | 江帆,黄鹏. Fluent高级应用与实例分析[M].北京:清华大学出版社,2008.JIANG F, HUANG P. Fluent advanced applications and case analysis [M].Beijing: Tsinghua University Press, 2008. |
| [7] | 周俊波,刘洋. FLUENT 6.3流场分析[M].北京:机械工业出版社,2011.ZHOU J B, LIU Y. FLUENT 6.3 Flow Analysis [M].Beijing: China Machine Press, 2011. |
| [8] | 朱自强. 计算流体力学中的网格生成方法及其应用[J].航空学报,1998,19(2): 152-158. ZHU Z Q, et al. Mesh generation method and its application of Computational Fluid Dynamics[J].Acta Aeronautica et Astronautica Sinica, 1998,19 (2): 152-158. |
| [9] | 王福军. 计算流体力学分析[M].北京:清华大学出版社,2005. WANG F J. Computational fluid dynamics analysis [M].Beijing: Tsinghua University Press, 2005. |
| [10] | 韩占忠. FLUENT流体工程仿真计算实例与应用[M].北京:北京理工大学出版社,2004.HAN Z Z. FLUENT fluid engineering simulation examples and application [M].Beijing: Beijing Institute of Technology Press, 2004. |
| [11] | ZHANG L Z, CAO X L, LI J T, et al. Design of new small hydroelectric device[J]. Advanced Materials Research,2012,472/475:883-886. |
2. Ocean Engineering Institute, Shanghai Ocean University, Shanghai 201306, China
2015, Vol. 24

