扩展功能
文章信息
- 胡冰, 吴雪颖, 马常俊, 万小平, 肖永乐, 陈建林, 李江淩, 吕学斌, 王泽洲, 高荣
- HU Bing, WU Xueying, MA Changjun, WAN Xiaoping, XIAO Yongle, CHEN Jianlin, LI Jiangling, LYU Xuebin, WANG Zezhou, GAO Rong
- 猪白细胞介素-2和融合抗菌肽重组酵母菌构建及其对小鼠免疫和生长的协同效应
- Synergistic Effect of Recombinant Yeast Co-Expressing Porcine Interleukin-2 and Fusion Antimicrobial Peptide Gene on Immunity and Growth of Mice
- 四川动物, 2018, 37(6): 609-619
- Sichuan Journal of Zoology, 2018, 37(6): 609-619
- 10.11984/j.issn.1000-7083.20170360
-
文章历史
- 收稿日期: 2017-11-16
- 接受日期: 2018-07-05
2. 四川省畜牧科学研究院, 成都 610066;
3. 四川省动物疫病控制中心, 成都 610035
2. Sichuan Academy of Animal Science, Chengdu 610066, China;
3. Center for Animal Disease Control of Sichuan Province, Chengdu 610035, China
目前,动物传染病仍然严重阻碍我国畜牧业和水产养殖的发展。动物饲料中添加的传统化学药物和抗生素导致动物病原体耐药性持续增长,这仍然是传染病控制和预防的巨大挑战(Thorne,2007)。同时,由于免疫机能弱或动物免疫抑制等复杂因素,生产中经常出现疫苗免疫应答差、免疫保护率低下,严重妨碍了动物感染性疾病的防控(Shin et al., 2013)。因此,急需开发安全、高效、经济的新型免疫调节剂。
许多细胞因子已被用作佐剂,以增强动物疫苗的原发性和记忆免疫应答(Kayamuro et al., 2010),对免疫系统有重大的影响,并具有塑造和引导调节免疫应答的能力(Plotkin & Plotkin,1999)。白细胞介素-2(interleukin-2,IL-2)参与T细胞增殖和Th调节反应,可增强机体的细胞免疫应答、刺激活化的B淋巴细胞增殖并诱导免疫球蛋白分泌(Jenson et al., 2016),是在调节先天性和适应性免疫中发挥关键作用的细胞因子,可以增强清除细菌和病毒的吞噬反应。
抗菌肽(antimicrobial peptides,AMPs)是大多数生物机体先天免疫的重要组成部分,在皮肤和黏膜表面发挥天然免疫作用,并对各种细菌、病毒、真菌和寄生虫具有抗菌活性(Gordon et al., 2005)。AMPs具有保守的前肽序列,已在几种哺乳动物中鉴定出(Bals & Wilson,2003)。除了直接抗菌的作用外,AMPs作为炎症介质影响多种过程,如细胞增殖和迁移、免疫调节、伤口愈合、血管生成、细胞因子和组胺释放(Wuerth & Hancock,2011)。因此,AMPs可作为创新药物的原型处理感染或调节免疫反应(Bals & Wilson,2003;Niyonsaba et al., 2009)。
为了开发新型、经济实用的免疫调节剂,本实验通过2A自剪切技术构建重组酵母菌,共同表达猪IL-2和融合APMs基因,并探索对小鼠的免疫应答和生长的影响。
1 材料和方法 1.1 重组毕赤酵母Pichiapastoris及其构建从重组真核质粒VRIL4/6-2中克隆了猪IL-2基因(标记为IL2-2A-a)的cDNA,并从重组VASP质粒中克隆出猪融合AMPs基因(标记为2A-a-P)的cDNA。质粒VRIL4/6-2和VASP都保存在本实验室。从质粒pGAPZαA(Invitrogen)中克隆含有FMDV 2A肽和α因子基因以保证分泌表达2A-a片段。用TIANGEN的第一链反转录试剂盒逆转录得到cDNA。逆转录反应体系为37 ℃孵育60 min,得到总RNA的cDNA后,以cDNA为模板扩增目的片段。实时荧光定量PCR(qPCR)扩增后的产物用1.5%琼脂糖凝胶电泳检测。在cDNA片段中,根据实验要求设计不同的N端和C端。然后,通过重叠延伸拼接技术将cDNA与片段IL2-2A-a、2A-a、2A-a-P结合,形成完整的IL2-P基因。
将猪融合AMPs基因(P)和IL2-P基因分别克隆到用GAP启动子控制的pGAPZαA中,通过限制酶消化法将酿酒酵母Saccharomyces cerevisiae的N端α-因子作为分泌信号。然后,将重组质粒(pGAPZαA-P和pGAPZαA-IL2-P)转化到大肠杆菌Escherichia coli DH5α中,并将阳性转化体在含有25 μg·mL-1博来霉素的低盐培养基(LLB)平板上筛选,通过直接PCR和测序鉴定。
根据Invitrogen手册,通过电穿孔将80 μL巴斯德毕赤酵母SMD1168的电感受态细胞用10 μg(10 μL无菌水)的AVRⅡ-线性化重组质粒(pGAPZαA-P或pGAPZαA-IL2-P)或AVRⅡ-线性化pGAPZαA载体转化。转化后,将200 μL转化细胞在1 mL 0 ℃的1 mol·L-1山梨糖醇中孵育,并在含有100 μg·mL-1博莱霉素的YPDS平板上选择。将通过基因组分析和PCR筛选的阳性转化体置于10 mL试管中培养,其中,3 mL YPD(1%酵母提取物、2%蛋白胨、2%D-葡萄糖)培养基在250 r·min-1、30 ℃下振荡培养24 h,添加20%甘油,储存于-80 ℃,其阳性转化子分别标记为融合AMPs重组酵母菌(SGP)、IL-2和融合AMPs重组酵母菌(SG2P)、空质粒对照酵母菌(SG)。
1.2 SGP和SG2P的免疫生物活性测定准备发酵上清液、胰蛋白酶消化的发酵上清液和胃蛋白酶消化的发酵上清液(酶终浓度为0.5 mg·mL-1,在37 ℃恒温水浴中预孵育1 h),通过细胞计数法(CCK8法)测定在3种发酵上清液中表达重组蛋白的免疫生物活性。首先,参考Collins等(1994)的描述,猪淋巴细胞用豆球蛋白A(ConA)培养刺激制备成淋巴母细胞。每份样品包括50 μL含5×105个淋巴母细胞的细胞悬液和50 μL样品上清,一式3份,置于37 ℃、5%CO2烘箱中。孵育48 h后,每孔加入10 μL CCK8,在37 ℃、5%CO2烘箱中再孵育2 h。使用酶标仪680(Bio-Rad,USA)在450 nm下测定每个样品的吸光度。
1.3 抗菌试验用大肠杆菌和金黄色葡萄球菌Staphylococcus aureus正常菌株、抗生素抗性大肠杆菌和金黄色葡萄球菌检测重组蛋白的抗菌活性,菌株由四川大学生命科学学院王红宁教授提供。在37 ℃将细菌用新鲜的LB培养基稀释至5.0×105 CFU·mL-1。将100 μL细菌悬浮液转移到96孔板中,然后向每个孔中加入100 μL不同稀释倍数的重组肽上清液,每个样品做3次重复;并将含有不同抗生素的相同培养基[氨苄青霉素(Amp):100 μg·mL-1、200 μg·mL-1、400 μg·mL-1;卡那霉素(Kana):100 μg·mL-1、200 μg·mL-1]作为阳性对照加入到孔中。将平板置于37 ℃烘箱中孵育4 h,并通过酶标仪在600 nm测吸光度。
1.4 小鼠实验本实验使用30只健康的21 d雌性ICR小鼠[四川大学实验动物中心,生产许可证号:SCXK(川)2013-026,使用许可证号:SYXK(川)2013-185],随机分为2个处理组(SGP、SG2P)和1个对照组(SG),每组10只(表 1)。准备3种酵母菌株,在100 mL容量瓶中加入30 mL YPD培养基和300 μL博来霉素(100 mg·mL-1),接种之前保存的重组巴斯德毕赤酵母和空白巴斯德毕赤酵母,每个接种30 μL。然后在培养箱摇床中以30 ℃、250 r·min-1培养24 h,直到OD600约25。3种毕赤酵母菌(SG、SGP、SG2P)均置于上述相同的发酵条件下培养。
| 组别 | 口服菌株 | 小鼠数量/只 | 处理剂量和方式 | |
| 对照组 | SG | 空质粒酵母菌 | 10 | 0.6 mL/小鼠,1次/3天 |
| 处理组 | SGP | 融合抗菌肽重组酵母菌 | 10 | 0.6 mL/小鼠,1次/3天 |
| SG2P | 白细胞介素-2和融合抗菌肽重组酵母菌 | 10 | 0.6 mL/小鼠,1次/3天 | |
| 注:处理组和对照组的OD600约25,每组小鼠通过管饲法同时给药4周 Note:The OD600 of experimentals and control were about 25,each group of mice was simultaneously given by gavage for 4 weeks | ||||
所有小鼠在整个实验期间均饲喂相同饲料。在实验的第0、7、14、21、28和35天,采集每只小鼠0.03~0.04 mL EDTA抗凝血液样品,分析处理组酵母菌对小鼠免疫功能的影响。
1.5 攻毒试验在接种28 d后,为了检测小鼠对感染的免疫力和保护作用,在实验室将有毒的大肠杆菌(100 μL/小鼠)和金黄色葡萄球菌(100 μL/小鼠)注射到小鼠腹腔内(每种5只),每24 h监测并记录所有小鼠,直到第7天将所有存活的小鼠安乐死并解剖观察内脏和组织。
1.6 小鼠体质量在接种后第0、7、14、21、28和35天测量每只小鼠的体质量,计算每组的平均体质量和净增体质量,以评估重组酵母制剂对小鼠生长性能的影响。
1.7 血免疫细胞数量使用1.4中收集的小鼠血样,每组30 μL,通过MIND-RAY BC-3000血液自动计数仪测定血液免疫细胞、血小板和血红蛋白含量。
1.8 Th细胞和Tc细胞将购自eBioscience的抗小鼠CD4和CD8分子抗体分别用PerCP-Cy5.5和PE进行标记。50 μL小鼠静脉血与50 μL生理盐水混合,加入1 μL抗小鼠CD4 PerCP-Cy5.5(0.25 μg/Test)和1 μL抗小鼠CD8a PE(0.25 μg/Test),在黑暗中孵育30 min。然后加入1 mL(5%V/V)裂解溶液(Becton Dickinson,USA)5 min,以确保红细胞完全溶解,存活的细胞用磷酸盐缓冲液(PBS)洗涤2次,每次2 500 r·min-1离心5 min。最后,将细胞重悬于150 μL PBS中,并在FACScan流式细胞仪(Becton Dickinson,USA)中进行分析。
1.9 IgG、IgG1和IgG2a小鼠IgG、IgG1和IgG2a定量ELISA试剂盒购自R & D Systems(USA)。方法参照小鼠IgG(或IgG1、IgG2a) ELISA试剂盒说明书。
1.10 qPCR分析免疫基因表达100 μL血样中加入1 mL RNAiso(TaKaRa),提取总RNA并在42 ℃反转录30 min作为向导基因(TransScriptTM One-Step gDNA Removal and cDNA Synthesis SuperMix,TransGen)。根据GenBank上的相关基因序列,设计并合成了免疫基因PCR引物(表 2)。
| 基因 | 引物序列(5’-3’) |
| β-actin-F | TACGCCAACACGGTGCTGTC |
| β-actin-R | GTACTCCTGCTTGCTGATCCACAT |
| TLR1-F | GGACCTACCCTTGCAAACAA |
| TLR1-R | GGTGGCACAAGATCACCTTT |
| TLR4-F | ACCTGGCTGGTTTACACGTC |
| TLR4-R | CTGCCAGAGACATTGCAGAA |
| TLR6-F | CCAAGAACAAAAGCCCTGAG |
| TLR6-R | TGTTTTGCAACCGATTGTGT |
| TLR9-F | ACTGAGCACCCCTGCTTCTA |
| TLR9-R | AGATTAGTCAGCGGCAGGAA |
| IL-2-F | AAGCACAGCAGCAGCAGCAG |
| IL-2-R | GCCGCAGAGGTCCAAGTTCATC |
| IL-4-F | GCCATATCCACGGATGCGACAA |
| IL-4-R | GGTGTTCTTCGTTGCTGTGAGGA |
| IL-6-F | TCTTGGGACTGATGCTGGTGACA |
| IL-6-R | AGCCTCCGACTTGTGAAGTGGTAT |
| IL-7-F | TTCCTCCACTGATCCTTGTTCT |
| IL-7-R | AGCAGCTTCCTTTGTATCATCAC |
| IL-12-F | CAATCACGCTACCTCCTCTTTT |
| IL-12-R | CAGCAGTGCAGGAATAATGTTTC |
| IL-15-F | CATCCATCTCGTGCTACTTGTG |
| IL-15-R | GCCTCTGTTTTAGGGAGACCT |
| IL-23-F | TGCTGGATTGCAGAGCAGTAA |
| IL-23-R | GCATGCAGAGATTCCGAGAGA |
| CRP4-F | AGAGGTTTGTTATGCTATTGTAGA |
| CRP4-R | TCAGCGGCGGGGGCAG |
| CAMP-F | CAGCAGTCCCTAGACACCAAT |
| CAMP-R | CACAGACTTGGGAGTATCTGGA |
| CD62L-F | TACATTGCCCAAAAGCCCTTAT |
| CD62L-R | CATCGTTCCATTTCCCAGAGTC |
PCR程序为:95 ℃下进行初始变性3 min,然后在95 ℃ 10 s,60 ℃ 5 s,72 ℃ 10 s,循环40次,并在每次运行中进行阴性对照。以PPIA作为参照基因,使用几何平均法和以下公式计算3组小鼠免疫相关基因的mRNA水平:相对水平=2-ΔΔCt。
1.11 统计分析数据使用Systat 10(SPSS)进行统计学评估,通过双因素方差分析和Tukey多重比较分析组间差异。当P<0.05时,差异有统计学意义。
2 结果 2.1 重组毕赤酵母的鉴定用含有100 μg·mL-1博来霉素的YPDS培养基筛选重组酵母,然后提取其RNA并进行qPCR和电泳分析。结果表明,猪融合AMPs基因在SGP组中成功表达(图 1);猪IL-2和融合AMPs基因在SG2P组中成功表达(图 2)。
|
| 图 1 融合抗菌肽重组酵母菌qPCR电泳图谱(1.5%琼脂糖凝胶) Fig. 1 Electrophoresis of qPCR of recombinant Pichiapastoris with fusion antimicrobial peptide gene (1.5% agarose gel) 1、2.猪重组抗菌肽片段,M. 20 bp DNA Ladder Marker 1, 2. Porcine antimicrobial peptide fragment, M. 20 bp DNA Ladder Marker |
| |
|
| 图 2 白细胞介素-2和融合抗菌肽重组酵母菌qPCR电泳图谱(1.5%琼脂糖凝胶) Fig. 2 Electrophoresis of qPCR of recombinant Pichiapastoris co-expressing porcine interleulkin-2 and fusion antimicrobial peptide gene (1.5% agarose gel) A:1、2、3.猪白细胞介素-2片段,B:1、2.猪融合抗菌肽片段;M. 20 bp DNA Ladder Marker A: 1, 2, 3. Porcine interleukin-2 fragment, B: 1, 2. Porcine fusion antimicrobial peptide fragment; M. 20 bp DNA Ladder Marker |
| |
与对照组相比,3种发酵上清液的处理组均显著促进ConA刺激的猪淋巴母细胞增殖(P<0.05),而处理组之间的差异无统计学意义(P>0.05)(图 3)。
|
| 图 3 发酵上清液刺激猪淋巴母细胞的增殖 Fig. 3 The proliferation of porcine lymphoblasts stimulated with the supernatant samples SG.空质粒酵母菌,SGP.抗菌肽重组酵母菌,SG2P.白细胞介素-2和融合抗菌肽重组酵母菌;下同 SG.Pichiapastoris, SGP. recombinant Pichiapastoris with fusion antimicrobial peptide gene, SG2P. recombinant Pichiapastoris co-expressing porcine interleukin-2 and fusion antimicrobial peptide gene; the same below |
| |
通过革兰氏阴性菌和革兰氏阳性菌分析重组酵母菌的抗菌活性。在初始浓度下,处理组的细菌生长比对照组受到更显著抑制(P<0.05)。当稀释1倍时,处理组的细菌生长也受到抑制,但与对照组的差异无统计学意义(P>0.05),且处理组间的差异无统计学意义(P>0.05)(图 4)。
|
| 图 4 重组酵母菌的体外抗菌活性 Fig. 4 In vitro antimicrobial activity of the recombinant Piciapastoris Amp.氨苄青霉素ampicillin,Kana.卡那霉素kanamycin;* P<0.05;下同the same below |
| |
SG2P组和SGP组对大肠杆菌感染的保护率分别为100%和80%,而对照组的保护率仅为20%。同时,用强毒金黄色葡萄球菌注射小鼠腹腔7 d后,处理组的存活率为80%,对照组死亡率高达100%(图 5)。病理剖检发现幸存小鼠的器官和组织正常,死亡小鼠病变明显,肝脏和脾脏严重坏死,胃部扩散出血,十二指肠和空肠发生黏膜炎。
|
| 图 5 攻毒后小鼠存活率 Fig. 5 Survival rates of mice challenged with virulent Escherichia coli and Staphylococcus aureus |
| |
饲喂一周后,处理组小鼠的体质量增加高于对照组(P<0.05)。处理组之间的差异无统计学意义(P>0.05)(图 6)。
|
| 图 6 小鼠的平均体质量变化 Fig. 6 The average body mass change of mice after inoculation with SG, SGP and SG2P |
| |
接种后7~35 d,处理组小鼠白细胞数量明显高于对照组(P<0.05),但处理组间的差异无统计学意义(P>0.05);尽管实验期间有一些波动,处理组与对照组红细胞数量变化之间的差异无统计学意义(P>0.05);接种后7~35 d,处理组的血红蛋白含量显著高于对照组(P<0.05)(图 7)。
|
| 图 7 小鼠外周血中血细胞的变化 Fig. 7 Change of the blood cells in the peripheral blood of experimental mice |
| |
处理组小鼠血浆中的CD4+和CD8+ T细胞数量在接种后7~35 d显著高于对照组(P<0.05),SG2P组CD4+ T细胞数量极显著高于对照组(P<0.01);35 d时,CD4+和CD8+ T细胞百分比均达到最高(图 8)。
|
| 图 8 小鼠外周血中CD4+和CD8+ T细胞数量 Fig. 8 CD4+和CD8+ T cells quantities in the peripheral blood of mice * *P < 0.01 |
| |
接种后7~35 d,处理组小鼠的IgG、IgG1、IgG2a均高于对照组,35 d达到最高;但2个处理组间各指标差异无统计学意义(P>0.05)(图 9)。
|
| 图 9 小鼠IgG、IgG1、IgG2a的变化 Fig. 9 Changes of IgG, IgG1 and IgG2a in the mice |
| |
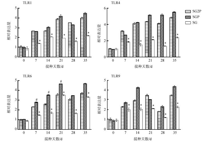
接种后7~35 d,处理组4种TLRs基因表达水平均显著高于对照组(P<0.05)。接种后35 d,这4种基因的表达水平达到最高。7~21 d,SGP组TLR6 mRNA水平明显高于SG2P组(P<0.05)。2个处理组间TLR1、TLR4和TLR9表达水平差异无统计学意义(P>0.05)(图 10)。
|
| 图 10 小鼠TLR1、TLR4、TLR6、TLR9基因的表达水平 Fig. 10 Relative expression levels of TLR1, TLR4, TLR6 and TLR9 genes in the mice # SG2P vs. SGP: P < 0.05 |
| |
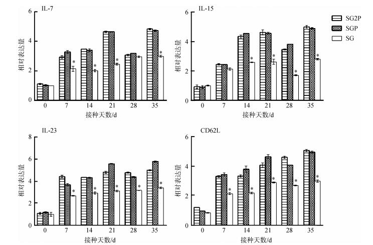
接种后7~35 d,处理组的IL-7、IL-15、IL-23和CD62L基因的表达水平均显著高于对照组(P<0.05),但IL-7基因的表达水平在接种第28天与对照组差异无统计学意义。这4个基因的表达水平在接种后35 d达到最高,2个处理组间的差异无统计学意义(P>0.05)(图 11)。
|
| 图 11 小鼠IL-7、IL-15、IL-23和CD62L基因的表达水平 Fig. 11 Relative expression levels of IL-7, IL-15, IL-23 and CD62L genes in the mice |
| |
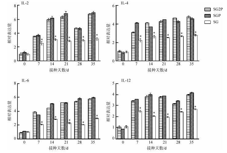
处理组的IL-2、IL-4、IL-6和IL-12基因表达水平在接种后7~35 d显著高于对照组(P<0.05),所有基因表达水平在35 d达到最大值。2个处理组间的基因表达水平差异无统计学意义(P>0.05)(图 12)。
|
| 图 12 小鼠IL-2、IL-4、IL-6和IL-12基因的表达水平 Fig. 12 Relative expression levels of IL-2, IL-4, IL-6 and IL-12 genes in the mice |
| |
接种后7~35 d,处理组的CRP4和CAMP基因表达水平均显著高于对照组(P<0.05),接种后35 d达到最大值。2个处理组间的差异无统计学意义(P>0.05)(图 13)。
|
| 图 13 小鼠CRP4和CAMP基因的表达水平 Fig. 13 Relative expression levels of CRP4 and CAMP genes in the mice |
| |
细胞因子广泛参与调节各种免疫反应,诱导细胞内信号通路触发一系列生物过程,作为免疫佐剂具有重要的研究价值。目前,许多细胞因子已被用作佐剂以增强原发性和记忆免疫应答(Kayamuro et al., 2010)。关于IL-2、IL-12、IFN-γ等细胞因子的研究工作表明,当细胞因子与某种疫苗共同接种时,它们会调节抗原特异性免疫应答(Playfair & Souza,1987;Hsieh et al., 1993;Tagliabue & Boraschi,1993)。IL-2作为重要的T细胞生长因子,可以增强巨噬细胞和自然杀伤细胞的活性(Smith,1988;Sereti et al., 2004),同时IL-2基因的转录和合成常被用作T细胞成功激活的关键指标。AMPs可以直接作用于多种病原体,发挥多功能效应因子天然免疫作用,如抑制结合DNA复制和细胞分裂、破坏细胞代谢通路、穿透细胞膜(Yang et al., 2001)。在本研究中,AMPs包含Tritrpticin、PR-39、PMAP-23和PG1基因。Tritrpticin具有回文序列、高度阳离子性质和色氨酸残基中心簇(Lawyer et al., 1996),已被证明能有效对抗各种微生物、真菌和原生动物(Yang et al., 2002, 2003)。PR-39是主要针对革兰氏阴性菌如大肠杆菌和沙门氏菌Salmonella的有效抗生素,具有抗后生血管作用,抑制沙门氏菌侵入大肠上皮细胞(Isabel et al., 2012)。据报道,PMAP-23在无溶血活性的情况下,对革兰氏阴性菌和革兰氏阳性菌有显著的抗菌活性(Park et al., 2002)。采用2A自剪切技术连接猪IL-2和AMPs基因,研制出一种新型免疫调节分子,使多种基因在同一构建体内表达(Szymczak & Vignali,2005)。
在免疫细胞增殖和抑菌试验中,发现SG2P组发酵上清液对体外培养的猪淋巴母细胞的增殖效应明显强于对照组,与SGP组发酵上清液差异无统计学意义,说明重组体SGP和SG2P具有比SG更好的免疫生物活性;酶消化的处理组发酵上清液也有显著的免疫生物活性。SGP组和SG2P组细菌的生长受到明显抑制。这些结果表明,重组体体外具有免疫生物活性和杀菌活性。小鼠体内实验发现,处理组的重组酵母显著提高了TLRs基因(TLR1、TLR4、TLR6、TLR9)、免疫记忆相关基因(IL-7、IL-15、IL-23、CD62L)、细胞因子基因(IL-2、IL-4、IL-6、IL-12)以及AMPs基因(CRP4和CAMP)的表达水平;同样,处理组小鼠血液中Th和Tc细胞、IgG、IgG1和IgG2a含量明显增加;与此相应,强毒细菌注射攻毒也证实处理组小鼠比对照组呈现更高的存活率。
据报道,TLRs在检测哺乳动物和昆虫中的微生物感染方面具有关键作用(Medzhitov,2001),这些受体通过识别不同病原体中的保守分子模式参与先天免疫应答,并且在激活病原体中发挥核心作用——特异性体液和细胞适应性免疫应答(Kumar et al., 2009;Kawai & Akira,2010)。Th1细胞产生IFN-γ、TNF-α、IL-2和IL-12,对细胞免疫应答有关键作用。Th2细胞产生IL-4、IL-6和IL-10,主要调控体液应答反应(Parronchi et al., 1991;Romagnani,1991;Sher & Coffman,1992)。免疫记忆相关基因对于特异性免疫细胞的发育、增殖、分化和存活是必需的(Stevceva et al., 2006)。而细胞因子基因和AMPs基因在动物免疫反应中也发挥着重要作用。因此,血液中这些免疫基因表达和白细胞的显著增加,表明重组酵母可以明显增强小鼠的先天和适应性免疫反应。
因此,重组酵母共表达猪IL-2和融合AMPs能显著增强小鼠的先天免疫和获得性免疫力,提高动物的系统性体液和细胞免疫应答,提示可研发成为新型安全高效的免疫调节剂,增强动物对传染病的免疫抗病力。
| Bals R, Wilson JM. 2003. Cathelicidins-a family of multifunctional antimicrobial peptides[J]. Cellular and Molecular Life Sciences, 60(4): 711–720. DOI:10.1007/s00018-003-2186-9 |
| Collins RA, Tayton HK, Gelder KI, et al. 1994. Cloning and expression of bovine and porcine interleukin-2 in baculovirus and analysis of species cross-reactivity[J]. Veterinary Immunology and Immunopathology, 40(4): 313–324. DOI:10.1016/0165-2427(94)90042-6 |
| Gordon YJ, Romanowski EG, Mcdermott AM. 2005. A review of antimicrobial peptides and their therapeutic potential as anti-infective drugs[J]. Current Eye Research, 30(7): 505–515. DOI:10.1080/02713680590968637 |
| Hsieh CS, Macatonia SE, Tripp CS, et al. 1993. Development of TH1 CD4+ cells through IL-12 produced by Listeria-induced macrophages[J]. Science, 260(5107): 547–549. DOI:10.1126/science.8097338 |
| Isabel HP, Rüdiger K, Doris H, et al. 2012. PR-39, a porcine host defence peptide, is prominent in mucosa and lymphatic tissue of the respiratory tract in healthy pigs and pigs infected with Actinobacillus pleuropneumoniae[J]. BMC Research Notes, 5(1): 539. DOI:10.1186/1756-0500-5-539 |
| Jenson AB, Ghim SJ, Sundberg JP. 2016. An inquiry into the causes and effects of the variolae vaccinae[J]. Experimental Dermatology, 25(3): 178–180. DOI:10.1111/exd.12925 |
| Kawai T, Akira S. 2010. The role of pattern-recognition receptors in innate immunity: update on Toll-like receptors[J]. Nature Immunology, 11(5): 373–384. DOI:10.1038/ni.1863 |
| Kayamuro H, Yoshioka Y, Abe Y, et al. 2010. Interleukin-1 family cytokines as mucosal vaccine adjuvants for induction of protective immunity against influenza virus[J]. Journal of Virology, 84(24): 12703–12712. DOI:10.1128/JVI.01182-10 |
| Kumar H, Kawai T, Akira S. 2009. Toll-like receptors and innate immunity[J]. Biochemical and Biophysical Research Communications, 388(4): 621–625. DOI:10.1016/j.bbrc.2009.08.062 |
| Lawyer C, Pai S, Watabe M, et al. 1996. Antimicrobial activity of a 13 amino acid tryptophan-rich peptide derived from putative porcine precursor protein of a novel family of antibacterial peptides[J]. FEBS Letters, 390(1): 95–98. DOI:10.1016/0014-5793(96)00637-0 |
| Medzhitov R. 2001. Toll-like receptors and innate immunity[J]. Nature Reviews Immunology, 1: 135–145. DOI:10.1038/35100529 |
| Niyonsaba F, Nagaoka I, Ogawa H, et al. 2009. Multifunctional antimicrobial proteins and peptides: natural activatorsof immune systems[J]. Current Pharmaceutical Design, 15(21): 2393–2413. DOI:10.2174/138161209788682271 |
| Park K, Oh D, Shin SY, et al. 2002. Structural studies of porcine myeloid antibacterial peptide PMAP-23 and its analogues in DPC micelles by NMR spectroscopy[J]. Biochemical and Biophysical Research Communications, 290(1): 204–212. DOI:10.1006/bbrc.2001.6173 |
| Parronchi P, Macchia D, Piccinni MP, et al. 1991. Allergen- and bacterial antigen-specific T-cell clones established from atopic donors show a different profile of cytokine production[J]. Proceedings of the National Academy of Sciences of the United States of America, 88(10): 4538–4542. DOI:10.1073/pnas.88.10.4538 |
| Playfair JH, Souza JBD. 1987. Recombinant gamma interferon is a potent adjuvant for a malaria vaccine in mice[J]. Clinical and Experimental Immunology, 67(1): 5–10. |
| Plotkin SL, Plotkin SA. 1999. A short history of vaccination[M]//Plotkin SA, Orenstein WA, Offit PA. 2013. Vaccines 6th edition. Philadelphia, USA: Saunders: 1-12. |
| Romagnani. 1991. Human Th1 and Th2 subsets: doubt no more[J]. Immunology Today, 12(8): 256–257. DOI:10.1016/0167-5699(91)90120-I |
| Sereti I, Anthony KB, Martinez-Wilson H, et al. 2004. IL-2 induced CD4+ T cell expansion in HIV-infected patients is associated with long-term decreases in T cell proliferation[J]. Blood, 104(3): 775–780. DOI:10.1182/blood-2003-12-4355 |
| Sher A, Coffman RL. 1992. Regulation of immunity to parasites by T cells and T cell-derived cytokines[J]. Annual Review of Immunology, 10(1): 385–409. DOI:10.1146/annurev.iy.10.040192.002125 |
| Shin MK, Kang ML, Jung MH, et al. 2013. Induction of protective immune responses against challenge of Actinobacillus pleuropneumoniae by oral administration with Saccharomyces cerevisiae expressing Apx toxins in pigs[J]. Veterinary Immunology and Immunopathology, 151(1-2): 132–139. DOI:10.1016/j.vetimm.2012.11.003 |
| Smith KA. 1988. Interleukin-2: inception, impact, and implications[J]. Science, 240(4856): 1169–1176. DOI:10.1126/science.3131876 |
| Stevceva L, Moniuszko M, Ferrari MG. 2006. Utilizing IL-12, IL-15 and IL-7 as mucosal vaccine adjuvants[J]. Letters in Drug Design & Discovery, 3(8): 586–592. |
| Szymczak AL, Vignali DA. 2005. Development of 2A peptide-based strategies in the design of multicistronic vectors[J]. Expert Opinion on Biological Therapy, 5(5): 627–638. DOI:10.1517/14712598.5.5.627 |
| Tagliabue A, Boraschi D. 1993. Cytokines as vaccine adjuvants: interleukin 1 and its synthetic peptide 163-171[J]. Vaccine, 11(5): 594–595. DOI:10.1016/0264-410X(93)90240-X |
| Thorne PS. 2007. The potential role of concentrated animal feeding operations in infectious disease epidemics andantibiotic resistance[J]. Environmental Health Perspectives, 115(2): 313–316. DOI:10.1289/ehp.8837 |
| Wuerth K, Hancock REW. 2011. New insights into cathelicidin modulation of adaptive immunity[J]. European Journal of Immunology, 41(10): 2817–2819. DOI:10.1002/eji.201142055 |
| Yang D, Chertov O, Oppenheim JJ. 2001. The role of mammalian antimicrobial peptides and proteins in awakening of innate host defenses and adaptive immunity[J]. Cellular and Molecular Life Sciences, 58(7): 978–989. DOI:10.1007/PL00000914 |
| Yang ST, Shin SY, Kim YC, et al. 2002. Conformation-dependent antibiotic activity of tritrpticin, a cathelicidin-derived antimicrobial peptide[J]. Biochemical and Biophysical Research Communications, 296(5): 1044–1050. DOI:10.1016/S0006-291X(02)02048-X |
| Yang ST, Song YS, Lee CW, et al. 2003. Selective cytotoxicity following Arg-to-Lys substitution in tritrpticin adopting a unique amphipathic turn structure[J]. FEBS Letters, 540(1): 229–233. |
2018, Vol. 37



