2. 山东理工大学 商学院, 山东 淄博 255000;
3. 南开大学 经济学院, 天津 300071
2. School of Business, Shandong University of Technology, Zibo 255000, China;
3. School of Economics, Nankai University, Tianjin 300071, China
一、引言
人力资本,尤其是高能力、高素质的人力资本作为一国经济发展不可或缺的要素,正成为各国竞相争夺的宝贵资源[1]。有学者认为西方发达国家和地区凭借自身强大的经济实力不断吸引各国优秀人才为其经济发展注入强劲动力,而大规模的人才外流则给经济技术相对落后的发展中国家和地区带来巨大威胁[2]。但事实确实如此吗?跨国人才外流对一国和地区的影响是利是弊一直悬而未决,而其对本国人力资本积累的影响是目前争议的焦点。
20世纪90年代,随着“新”经济增长模式的兴起和经济全球化的发展,人才流动的相关研究中出现了一系列被称为“有益的人才外流”(BBD)的文献。它们认为,随着全球经济一体化趋势的增强,适当的人才外流可以通过人力资本激励效应促进一国人力资本的积累[3, 4]。一方面,发达国家较高的教育收益率会激励人才输出国投资教育,以博取外流的机会。但是人才外流门槛的限制又会使得一部分接受过良好教育但是没有获得外迁机会的人群留在国内,这在一定程度上会提高一国整体的人力资本水平;另一方面,人才外流会刺激政府加大教育投资以弥补可能由此引起的人才损失,并进而推动人才输出国的人力资本积累[5, 6]。同时也有学者指出人才外流对本国人力资本积累的影响随人才外流规模的变动呈非线性变化,且存在最优的人才外流水平。在最优值左侧,人才外流会以各种形式对本国产生“人才增益”,并且随着一国人才外流规模的逐步扩大,“有益人才外流效应”逐渐变强,但当人才外流规模继续扩大并超过该最优水平时,持续的人才外流可能会给这些国家的就业和产出带来直接的负面影响[7, 8]。
在开放条件下,人才外流对本国人力资本积累的影响受多种因素和条件的制约。人才外流能够改变国家之间的要素禀赋,影响本国产品在世界市场上的供给与需求,进一步影响本国产品价格及人力资本的投资与积累,此为人才外流的贸易条件效应[9, 10]。由于人才外流具有“选择效应”,技能劳动者不需要进行人力资本投资就可以流向国外,随着人才流出概率的增加,由于贸易条件效应,引发本国工资水平上升,而技能劳动者数量越多,则由贸易条件效应所引发的工资上升效果越明显,从而人才外流对本国人力资本积累的负面作用越强。格鲁伯(Grubel)和斯科特(Scott)等首次将人力资本结构 范登伯斯奇(Vandenbussche)等2006年使用技能劳动力和非技能劳动力的相对比重来表示人力资本结构状况。参见:VANDENBUSSCHE J,AGHION P,MEGHIR C. Growth,distance to frontier and composition of human capital [J]. Journal of Economic Growth,2006,11(2):97-127. 纳入分析框架,研究发现技能型人才外流对本国非技能型人力资本积累存在消极影响[11],在此基础上,刘德学和范兆斌将人力资本结构引入人才跨国流动的内生模型,在开放条件下研究人力资本的积累与配置问题[12]。
当前人才跨国外流给参与其中的各个国家——不论是发达的工业国家还是落后的发展中国家——所带来的经济影响逐步显现。国内外关于跨国人才流动问题的研究也渐趋成熟。然而迄今为止,仍缺乏一个系统的理论框架对此进行解释。基于跨国人才流动数据的可得性和准确性,关于两者关系的研究较多停留在理论或文字表述层面,实证研究较为匮乏,检验手段也基本上以基于某国移民调查数据的简单线性回归为主,而这种方式不仅无法考察人才外流与人力资本积累的非线性关系,同时关于人才外流对人力资本积累的具体作用区间和临界水平也无法进行准确的估计,此外,已有研究也没有将人才外流的贸易条件效应和本国人力资本结构纳入统一的分析框架。那么,人才外流与本国人力资本积累之间的关系如何,是否存在国别差异,影响因素如何?人才外流是否能够对本国的人力资本水平产生有益影响?对于这些问题,现有研究语焉不详,更没有建立明确的理论模型对之进行分析。
本文旨在探讨人才外流与本国人力资本积累之间的关系,并对理论命题提供进一步的经验证据。与已有研究相比,本文在以下两个方面有所发展:第一,理论方面,本文不仅考察了人才外流与本国人力资本积累之间的关系,还考虑了人才外流的贸易条件效应和技能劳动占比状况在其中的作用,在开放经济框架内,将人才外流引入人力资本积累的内生决定模型,从理论上全面探讨了人才外流与本国人力资本积累的关系;第二,实证方面,利用2000-2010年期间全球60个国家和地区的面板数据,深入研究了人才跨国外流对本国人力资本积累的影响,以验证文章理论模型的结论。研究结果不仅支持了我们的理论预期,而且也丰富和发展了关于国际人才流动问题的经验研究。
二、理论模型 1. 工资方程假定有两个国家:本国H和外国F,其中本国H为人才流出国,外国F为人才流入国,也代表国际技术的前沿。与弗雷德里克(Frédéric)和拉波波特(Rapoport)[13]类似,假定技能劳动和非技能劳动具有完全替代性,具体生产函数为:
在初始状态,非技能劳动力数量为1,技能劳动力数量为λ,λ>0,于是本国产出水平为: Y1=1+θλ。本国非技能劳动力的工资水平为:
下面我们将本国居民的技能投资内生化。在t=1期,本国居民决定是否进行人力资本投入,若进行人力资本投资,则x=1,否则x=0。对于技能劳动者而言,其不需要进行人力资本投资就可以流向外国,且成功流出的概率为p。
对于非技能劳动者而言,其进行人力资本投资的成本为cw1,其中c表示人力资本投资占劳动者工资的比重,其均匀分布于[0, 1],接下来,我们将投资成本为cw1的居民称为居民j。若某居民进行人力资本投资,则该居民可以流向外国的概率为g,且如果成功流向国外,则可以获得工资水平为v*,若不能出国,则获得工资水平v2=θw2 <v*。但如果某居民不进行人力资本投资,则获得工资收入w2。
对于效用函数为对数形式,且折现因子为1,令居民j的总效用函数为U(x,c),于是居民j进行人力资本投资的效用为:
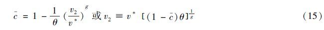
在t=2期,本国的非技能劳动力和技能劳动力数量分别为:
由(13)式可知,当人才外流概率较高时,人力资本投资的增加会导致本国有效人力资本水平以及产出下降,从而导致贸易条件改善和工资水平上升。同样由(13)式可知:
由(15)式我们可以得到以下两个命题。
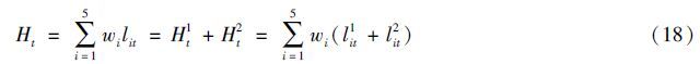
命题1:若g>θ/(1+θ),则人才外流概率g对本国居民人力资本投资的影响不确定,而且在初始状态本国技能劳动者数量所占比重越高,则人才外流概率g对本国居民人力资本投资的负面影响越强。其经济学含义是:由于人才外流具有“选择效应”,技能劳动者不需要进行人力资本投资就可以流向外国,随着人才流出概率的增加,由于贸易条件效应,引发本国工资水平上升,而技能劳动者数量越多,则由贸易条件效应所引发的工资上升效果越明显,从而人才外流对本国人力资本的负面作用越强。
命题2:若g>θ/(1+θ),①当本国生产的产品替代弹性较低时,随着产品替代弹性的增强,人才外流对其人力资本积累的负面作用会增强;②当本国生产的产品替代弹性较高时,随着产品替代弹性的增强,人才外流对其人力资本积累的正面作用会增强。
此外,在g <θ/(1+θ)时,人才外流对本国人力资本投资的影响依然是不确定的。与之前的分析类似,命题1和命题2仍然成立。
综上所述,人才外流概率对本国人力资本投资的影响具有很强的不确定性,且取决于一国的技能劳动占比状况以及所生产的产品的需求弹性。此外,通过前述分析还知道,人才外流概率g对本国人力资本积累的影响还取决于g本身的大小。随着人才外流概率g的增加,人才外流概率对本国人力资本积累的负面作用会逐步增强。另外,由(12)式我们还可以得到命题3。
命题3:当人才外流概率g较低时,人才外流概率的增加有助于促进本国人力资本积累,随着人才外流概率g的增加,人才外流概率对本国人力资本积累的负面作用会逐步增强。即人才外流与本国人力资本积累之间可能会呈现倒“U”型关系。
三、人才外流对本国人力资本积累的净效应 1. 计量模型本文的研究重点是考察人才外流对本国人力资本积累的影响。同时,考虑到人才外流对样本国家或地区人力资本水平的拉动作用存在时滞性,即人才外流对本国人力资本积累的促进作用很少会立即显现,而是要经过一段时间在与国内相应设施结合之后,才会释放其效应。基于以上分析,我们首先建立如下线性估计方程:
(16)式是本文的基本回归模型。为了得到可靠的估计结果,本文做了以下考虑:首先,地区的个体固定效应,如各国家和地区的教育政策等可能与地区人力资本水平存在相关性。如果不考虑这些因素,个体固定效应将进入到随机误差项中,估计结果将是有偏且不一致的。为此,本文将首先使用个体固定效应模型对下式进行估计:
根据数据的一致性和可获得性,本文选择2000-2010年世界上60个国家和地区作为研究样本(如表 1所示)。本文按照世界银行2008年收入分组标准,以研究期内人均GDP达到11906美元为分界点,将样本国分为两类,中低收入(人均GDP小于11906美元)国家和地区(A组)包含32个样本国家和地区,高收入(人均GDP大于11906美元)国家和地区(B组)包含28个样本国家和地区。
| 类别 | 国家和地区 |
| A组 | 土耳其、墨西哥、中国、印度、菲律宾、泰国、马来西亚、埃及、俄罗斯、巴西、越南、阿尔及利亚、罗马尼亚、智利、哥伦比亚、马其顿、突尼斯、保加利亚、拉脱维亚、立陶宛、巴拿马、爱沙尼亚、乌拉圭、阿根廷、委内瑞拉、南非、突尼斯、哈萨克斯坦、摩洛哥、玻利维亚、秘鲁、乌克兰 |
| B组 | 澳大利亚、奥地利、比利时、加拿大、丹麦、芬兰、法国、德国、希腊、中国香港、匈牙利、冰岛、爱尔兰、意大利、日本、韩国、中国澳门、荷兰、新西兰、挪威、波兰、葡萄牙、新加坡、西班牙、瑞典、瑞士、英国、美国 |
| 数据来源:根据世界银行数据库数据整理得到。 | |
(1) Hit的度量。我们用教育年限累积法来衡量各国和地区的人力资本存量。计算公式为:
(2) RMit表示各国家和地区的出国留学率,使用各国或地区在国外的高等教育留学生数与该国或地区高等教育适龄人口数的比值来表示。此外,REit表示人才输出国的回国留学生数量,使用各国和地区历年接受高等教育的学成回国人员数来度量。本文最终估计时使用2000-2010年的数据。各国和地区国内生产总值、人均国内生产总值、高等教育经费支出、人均财政收入、进出口额等数据来自于UNCOMTRDE(联合国贸易数据库)、UIS(联合国教科文组织数据研究中心)、OECD(经济合作发展组织)以及IIE(国际教育协会)等网站,并根据需要整理计算。
表 2报告了两组样本国家和地区主要变量的描述性统计特征。从表 2可知,样本期内,A组样本国家和地区在人力资本水平、出国留学率、回国留学生数、高等教育经费支出、国内生产总值、人均国内生产总值、人均财政收入、高等教育师生比等指标方面均显著低于B组国家和地区。
| 变量 | 变量说明 | A组 | B组 | 标准偏差(%) | t统计量 |
| lnH | 人力资本水平 | 2.757 | 4.369 | 19.64 | 3.11 |
| RM | 出国留学率 | 0.003 | 0.005 | 12.57 | 3.77 |
| lnRE | 回国留学生数量 | 3.004 | 5.742 | 25.72 | 4.57 |
| lnRDK | 高等教育经费支出 | 4.106 | 5.832 | 36.16 | 4.58 |
| lngdp | 国内生产总值 | 8.762 | 10.453 | 40.29 | 3.16 |
| lnagdp | 人均国内生产总值 | 2.170 | 2.347 | 22.47 | 6.07 |
| lnczsr | 人均财政收入 | 1.294 | 2.078 | 39.28 | 6.33 |
| ssb | 高等教育生师比 | 0.378 | 0.451 | 3.48 | 8.21 |
(1)样本整体估计结果。 我们从全球范围内选取了吸收留学生数量较多并且能较为全面地获得相应数据的60个国家和地区作为样本进行回归分析,具体估计结果如表 3所示。回归结果显示,人才外流项在短期内对各国和地区人力资本积累存在消极影响,但人才外流项的滞后两期对各国和地区人力资本积累均产生了积极影响 计量回归分析显示人才外流滞后两期的结果较为显著,这表明人才流动对人力资本的作用不是一蹴而就的,只有在长期伴随着中国各方面条件的不断改善,其才可能通过各种渠道和机制促进中国人力资本水平提高。,这在一定程度上验证了“有益人才外流”(BBD)假设的正确性。从长期来看,在国内人才和外流人才可替代的情况下,各国和地区的外流人才得到了国外的培养机会,加之知识在自由地流向本国,从而对本国有益而无害[14]。这在一定程度上也验证了人才外流人力资本投资引致机制在各国和地区的存在性,即跨国人才外流可以通过激励人才本国的人力资本投资,促进其人力资本积累,这一结论与已有经验研究的观点基本一致[5]。
| 变量 | 个体固定效应回归 | 双因素固定效应回归 | 2SLS估计 | |
| 模型一 | 模型二 | |||
| RMit | -0.004(-1.47) | -0.104*(-1.83) | -0.102(-0.48) | -0.113(-1.59) |
| RMit-2 | 0.002*(1.87) | 0.038(1.28) | 0.103***(5.45) | |
| lnRDKit | 0.247**(2.31) | 0.475***(3.68) | 0.365***(3.62) | 0.425***(5.36) |
| lngdpit | 0.042***(4.81) | 0.019**(2.34) | 0.020***(5.62) | 0.084***(6.29) |
| lnagdpit | 0.078***(5.47) | 0.064***(3.64) | 0.094(0.62) | 0.106(1.52) |
| lnczsrit | 0.059(1.32) | 0.008***(3.87) | 0.013***(5.34) | 0.014***(7.45) |
| ssbit | 0.017(0.64) | 0.112(0.97) | 0.105**(2.43) | 0.004(1.52) |
| lnREit | 0.119*(1.81) | 0.231**(2.12) | 0.254***(3.76) | 0.332(1.18) |
| 常数项 | 0.430*(1.74) | 0.437***(9.90) | -0.114(-1.09) | 1.689***(5.68) |
| R2 | 0.735 | 0.663 | 0.625 | 0.654 |
| Hausman 值 | 26.47*** | |||
| 注:***、**、*分别表示在1%、5%和10%的显著性水平上变量显著;括号内是t统计量;限于篇幅,这里省略了时间变量的回归结果。 | ||||
表 3的第四列是对(16)式的双因素固定效应回归结果。其中R2变大,说明考虑了时间因素以后,双因素固定效应回归更好地解释了人才外流对地区人力资本积累的影响;RMit-2项的系数仍都为正值,但是明显变大,考虑到人才外流和控制变量的系数都明显变大,可以认为2000-2010年随着全球人才流动国际化程度的不断加深,人才外流对各国和地区人力资本水平的提升作用呈现不断增大的趋势。此外,考虑到人才外流变量的内生性,本文还采用两阶段最小二乘(2SLS)方法对模型进行了估计,由表 3的第5列可以看出,结果没有发生实质性的变化。
(2)分组样本估计及结果分析。按照理论模型的结论,人才外流对本国人力资本投资的影响受到本国技能劳动占比和其所生产产品的替代弹性的影响,而不同收入水平国家在技能劳动占比和生产产品的替代弹性方面存在显著差异。为揭示收入因素的具体影响,本文按世界银行2008年收入分组标准,以研究期内人均GDP达11906美元为分界点,对60个国家和地区进行分组处理,进而探讨不同收入水平条件下人才外流与本国家和地区人力资本积累的作用关系。基于克服内生性问题的2SLS回归结果(见表 4),我们发现,A组和B组样本国家和地区关于RMit和RMit-2项的系数差异显著。A组样本国家和地区RMit项的系数为负,但显著性弱于B组样本国家和地区。A组样本国家和地区RMit-2项的系数为正,但B组样本国家和地区该项的系数却显著为负。
| 解释变量 | A组样本 | B组样本 |
| RMit | -0.006(-0.75) | -0.008***(-8.07) |
| RMit-2 | 0.152(0.94) | -0.101*(-1.75) |
| lnRDKit | 0.012***(3.23) | 0.173(0.92) |
| lngdpit | 0.021(0.62) | 0.124*(1.94) |
| lnagdpit | 0.005***(9.72) | 0.553***(10.57) |
| lnczsrit | 0.016***(8.30) | 0.058(0.64) |
| ssbit | 0.018(0.85) | 0.065(1.33) |
| lnREit | 0.124**(9.84) | 0.535**(7.03) |
| 常数项 | 0.453(0.47) | 0.184***(6.51) |
| Hausman P | 0.361 | 0.476 |
| 注:括号内数字为t值,***、**、*分别表示在1%、5%和10%水平上显著。 | ||
在长期,A组样本国家和地区的人才外流通过人力资本投资引致效应对本国人力资本积累产生有利影响,而B组样本国家和地区人才外流对其人力资本积累具有显著的消极影响。这在一定程度上与拜内(Beine)等的观点[15]一致。通过对比本部分的实证结果,我们不难发现,人才外流对本国人力资本积累的影响在不同时期和不同收入水平国家间差异显著,即人才外流对本国人力资本投资的影响具有不确定性,符合第二部分理论模型的预期。本文认为这种状况可能是源于人才外流与本国人力资本积累的非线性关系:适度规模的人才外流能够促进本国人力资本水平的提升,而人才外移规模的无限扩大将有损本国的人力资本积累。同时,人才外流对本国人力资本积累的影响受到各国技能劳动占比和所生产产品需求弹性的影响:相比发达国家和地区,不发达国家和地区的技能劳动者数量所占比重往往较低[16],由此人才外流对本国居民人力资本投资的负面影响相对弱于发达国家和地区;同时,不发达国家和地区的出口产品需求弹性相对低于高收入国家和地区[17],从而在本国生产的产品替代弹性较低时,随着产品替代弹性的增强,人才外流对其人力资本积累的负面作用会增强。
四、人才外流与本国人力资本积累的关系及制约因素分析前面的分析并没有考察技能劳动状况和贸易条件效应的影响。因此,我们尚不能武断地接受以上结论。以下通过构造门限回归模型对人才外流与本国人力资本积累的关系及其影响因素进行深入考察。
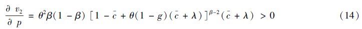
1. 门限回归模型设定考虑到人才外流对本国人力资本积累可能存在非线性影响,本文采用汉森(Hansen)发展的门限面板回归模型[18] ,根据数据本身的特点来内生地划分样本区间,模型表述如下:
本文在模型(19)的基础上设定人才外流的单一和双重门限模型分别为:
本文首先将人才外流作为门槛变量,分析人才外流与本国人力资本积累之间的关系。门槛检验结果表明 可向作者索要门槛值检验结果。,A组样本国家和地区的门限回归模型中存在三个门槛值。而B组样本国家和地区中人才外流的三个门槛值均不显著,即对于B组样本国家和地区而言,人才外流对其人力资本积累具有线性影响。对A组样本国家和地区Bootstrap估计得到对应的人才外流水平的门槛值分别为0.0013、0.0029、0.0066。各门限变量的门限估计值将研究样本划分为不同的区间,人才外流对本国人力资本积累的影响在不同的样本区间内存在差异(见表 5)。
| 解释变量 | A组样本 | B组样本 |
| RMit_1 | 0.025***(3.59) | -0.015(-0.69) |
| RMit_2 | 0.104***(4.73) | -0.025(-1.42) |
| RMit_3 | -0.002***(-3.62) | -0.065(-1.51) |
| RMit_4 | -0.007*(-1.84) | -0.123(-1.47) |
| lnRDKit | 0.012***(9.23) | 0.173***(5.92) |
| lngdpit | 0.021***(4.62) | 0.124***(3.96) |
| lnagdpit | 0.005***(7.72) | 0.553***(6.57) |
| lnczsrit | 0.016(0.35) | 0.058*(1.74) |
| ssbit | 0.017(0.66) | 0.065(1.33) |
| lnREit | 0.124***(6.74) | 0.535**(2.13) |
| 常数项 | 0.453(1.47) | 0.184(0.51) |
| R2 | 0.516 | 0.535 |
| 注:***、**、*分别代表 1%、5%、10%的显著性水平,括号内为t值。 | ||
表 5显示:在低人才外流区间内,人才外流对本国人力资本积累有积极影响,且影响系数为0.025,当人才外流水平进一步提高,进入次低人才外流区间时,人才外流对人力资本积累的影响系数由0.025上升到0.104,即随着人才外流水平的逐步提高,其对人力资本积累的积极影响进一步增强;而当人才外流由次区间跨入中等区间时,人才外流对人力资本积累的积极影响逆转为消极影响,影响系数为-0.002;当人才外流水平进一步提高,越过0.0066这一门槛值,进入高人才外流区间后,其对人力资本积累的消极影响进一步放大,影响系数降至-0.007。当前,32个A类国家和地区中大部分地区的人才外流水平处于0.0013-0.0029的区间内,即处于倒“U”型曲线的上升阶段(见图 1),适当的人才外流可以促进这些国家和地区自身人力资本水平的提升。从2010年数据来看,中国便位于该区间内。而越南、马其顿、突尼斯、保加利亚、拉脱维亚、立陶宛、巴拿马、爱沙尼亚处于0.0029-0.0066的倒“U”型曲线下降阶段。阿尔及利亚、哈萨克斯坦、摩洛哥、玻利维亚的人才外流水平高于0.0066。
|
| 图 1 人才外流与本国人力资本积累 的关系(A组) |
结合文章理论模型部分得出的命题1和命题2,本文进一步将影响人才外流人力资本积累效应的因素:本国的技能劳动占比(SKit)和出口需求价格弹性(ESit)纳入分析框架,并以此构建门限变量,分别测度各门限变量的门槛值所划分的不同区间内变量对人力资本积累的差异影响。
(1)指标说明。①对于技能劳动占比SKit的测度,我们采用中学和大学在校生数表示技能劳动(Sit),用在校小学生数表示非技能劳动(Lit)[16] 。从而SKit为Sit和Lit+Sit的比值。②人才外流国的出口需求价格弹性ESit 这里使用长期出口需求价格弹性。,我们使用西门诺思卡(Simonovska)和沃夫(Waugh)的方法[17]进行计算,其中所需要的出口额指数、进口价格指数、出口量指数、国外价格指数和国外价格指数等变量的计算,均以2000年为基期。相关数据来自于UNCOMTRDE(联合国贸易数据库),并根据需要整理计算。
(2)门槛检验结果。依次对本国的技能劳动占比(SKit)和出口需求价格弹性(ESit)运用模型(20)和(21)进行门限回归 可向作者索要门槛值检验结果。。结果表明,两组样本国家和地区中技能劳动占比的单一门限回归均通过了1%水平下的显著性检验,但双重门槛和三重门槛检验不显著,说明它们存在一个门槛值,且结果表明A组样本的门槛值低于B组样本。出口需求价格弹性的单一与双重门槛检验均比较显著,但三重门槛检验并不显著,即在所研究的样本内包含两个门槛值,且A组样本门槛值的绝对值均低于B组样本,这说明不发达国家和地区的出口产品需求弹性往往低于发达国家和地区[17]。各门限变量的门槛估计值将研究样本划分为不同的区间,人才外流对本国人力资本积累的影响在不同的区间内存在差异(见表 6)。
| 变量 | SKit | ESit | ||
| A组样本 | B组样本 | A组样本 | B组样本 | |
| RMit_1 | -0.024*(-1.86) | -0.079***(-5.14) | -0.076***(-2.96) | -1.005***(-9.41) |
| RMit_2 | -0.032*(-1.77) | -0.103***(-3.86) | -0.307**(-2.33) | -0.010(0.59) |
| RMit_3 | 0.094***(12.65) | -0.005*(1.98) | ||
| lnRDKit | 0.114**(2.33) | 0.234***(3.56) | 0.144***(7.20) | 0.263***(4.96) |
| lngdpit | 0.074***(9.17) | 0.062*(1.94) | 0.042(1.41) | 0.123(1.35) |
| lnagdpit | 0.278**(2.29) | 0.064*(1.81) | 0.165(0.33) | 0.268***(10.42) |
| lnczsrit | 0.075(1.31) | 0.014***(4.72) | 0.038*(1.97) | 0.026(1.59) |
| ssbit | 1.045(1.28) | 0.139(0.50) | 1.104(0.68) | 1.491(0.37) |
| lnREit | 0.130(0.74) | 0.107*(1.79) | 0.503**(2.11) | 0.486(0.58) |
| 常数项 | 0.426*(1.74) | 0.431(0.90) | -0.114(-1.09) | 1.652***(5.72) |
| R2 | 0.62 | 0.48 | 0.57 | 0.63 |
| 注:括号内为各系数所对应的t统计量,***、**、*分别表示在1%、5%、10%的显著性水平上变量显著。 | ||||
先来看本国技能劳动占比。对两组样本来说,本国技能劳动占比对人才外流人力资本积累效应的影响呈现负向单一门限特征,这验证了理论模型中的命题1,即本国技能劳动者数量所占比重越高,则人才外流概率对本国居民人力资本投资的负面影响越强。对A组样本来说,当技能劳动占比低于0.579时,人才外流对人力资本积累的影响系数仅为-0.024,而当技能劳动占比跨过这一门槛时,相应的人才外流对人力资本积累的弹性系数变为-0.032。对B组样本来说,当技能劳动占比低于0.685时,人才外流对人力资本积累的影响系数为-0.079,而当技能劳动占比跨过这一门槛时,相应的人才外流对人力资本积累的弹性系数变为-0.103。上述结果也表明,A组样本的门槛值及其显著性低于B组样本的情况,即相比发达国家和地区,不发达国家和地区的技能劳动者数量所占比重往往较低,从而人才外流对本国居民人力资本投资的负面影响相对弱于发达国家和地区。其中A组样本中仅有菲律宾没有跨过技能劳动占比的门槛值,而B组样本中仅有爱尔兰没有跨过技能劳动占比的门槛值。
再看出口需求价格弹性。门限回归结果表明,两组样本的出口需求价格弹性与人才外流的人力资本积累效应均呈非单调关系。对A组样本来说,当出口需求价格弹性位于-0.363左侧时,人才外流对本国人力资本积累的弹性系数为-0.076,当位于这一比重右侧时弹性系数为-0.307,即当本国生产的产品替代弹性较低时,随着产品替代弹性的增强,人才外流对其人力资本积累的负面作用会增强。但随着第二个门槛的跨越,其影响系数逆转为0.094。墨西哥、菲律宾、泰国、马来西亚、秘鲁、乌克兰6个国家跨过了第一个门槛,但仅有印度、中国、土耳其、爱沙尼亚四国跨过了出口需求价格弹性的第二个门槛。对B组样本来说,当出口需求价格弹性位于-0.483左侧时,人才外流对本国人力资本积累的弹性系数为-1.005,但当位于这一比重右侧时弹性系数为-0.010,随着第二个门槛的跨越,其影响系数进一步上升为-0.005,且通过了10%的显著性检验。这与理论模型命题2中的第二个结论相吻合,即当本国生产的产品替代弹性较高时,随着产品替代弹性的增强,人才外流对其人力资本积累的正面作用会增强。跨过出口需求价格弹性较高门槛值的国家有澳大利亚、德国、英国、美国、日本以及韩国。
五、结论及政策含义随着全球经济一体化趋势的增强,人才外流在促进资源有效配置的同时,能够通过人力资本投资机制促进本国人力资本量的积累和质的提升。然而迄今为止,仍缺乏一个系统的理论框架对此问题进行解释。鉴于此,本文将人才外流引入人力资本积累的内生决定模型,从理论上探讨了人才外流与本国人力资本积累的关系,提出了人才外流影响本国人力资本积累的三个理论命题,并进一步构建了一个人才外流影响本国人力资本水平的计量模型,在此基础上使用全球60个国家和地区的数据,就人才外流对本国人力资本积累的影响进行了全面的实证分析,结果表明:人才外流与中低收入国家和地区的人力资本积累呈倒“U”型关系,但与高收入国家和地区的人力资本积累线性负相关,如果本国将人才外流控制在合理的范围内,则可以通过跨国人才流动,实现自身人力资本水平的提升;人才外流对本国人力资本积累的影响受到本国技能劳动占比和其所生产产品替代弹性的影响,证实了理论模型的结论。
本文的研究为中国依据经济社会发展形势,改进人才政策,并通过积极参与跨国人才流动,培养、引进国际化人才来提升自身人力资本水平具有如下重要的政策启示。
首先,本文结论表明,人才外流与中低收入国家和地区的人力资本积累呈倒“U”型关系,也就是说对我国而言,积极参与跨国人才流动,保持适度的人才外流有益于我国人力资本水平的提升;同时,人才的过度外流不利于一国的人力资本积累,因此,我国在适当鼓励出国留学的同时应该采取措施抑制高端人才的流失,将人才外流控制在合理的范围内。
其次,加强自主人才培养的同时,积极鼓励出国留学,提高本国劳动力素质。人才是实现未来中国经济发展方式转型的核心力量。“十三五”期间中国面临的一个相当严峻的问题是“未富先老”问题,解决这一问题,中国需要大量具备国际化素质的技能型人才,但目前却仅有约5000名此类管理人才。基于此,中国应加大政府教育支出,逐步完善教育体制改革,不断提高自主培养高素质人才的能力。同时,加强对出国留学的支持力度,引导人才合理外流,借教育水平先进国家的大学培养自身人才。
最后,本文结果表明,只有当本国生产的产品替代弹性较高时,随着产品替代弹性的增强,人才外流对其人力资本积累的正面作用才会增强。基于此,我国应该增强出口产品的需求弹性,加快出口产品技术升级,提升中国在全球价值链中的地位。当前,中国融入全球生产网络的时间还很短,起点也比较低,特别是大量低素质劳动力的客观条件决定了中国还处于全球价值链的中低端环节,出口产品的需求弹性较低,从而导致人才外流对其人力资本积累的负面作用较强。与发达国家和部分先进的发展中国家相比,中国在人力资本、制度环境等方面还存在不足,尤其是人力资本短缺成为限制价值链进一步提升的瓶颈因素。在技术导向的国际经济环境下,中国政府和企业应当尽快转变观念,将投资重点向人力资本领域倾斜,加快自主创新步伐,提高出口产品的技术含量,以充分发挥人才国际化对本国人力资本积累的积极影响。
| [1] | 李平,许家云. 国际智力回流的技术扩散效应研究——基于中国地区差异及门槛回归的实证分析[J].经济学(季刊),2011(10):935-964. |
| [2] | BHAGWATI J, HAMADA K. The brain drain, international integration of markets for professionals and unemployment[J].Journal of Development Economics, 1974, 1(1):19-42. |
| [3] | MOUNTFORD A. Can a brain drain be good for growth in the source economy[J].Journal of Development Economics, 1997, 53(2):287-303. |
| [4] | MAYR K, PERI G. Brain drain and brain return:theory and application to eastern-western Europe[J].The B.E. Journal of Economic Analysis and Policy, 2009, 9(1):145-174. |
| [5] | BEINE M, DOCQUIER F, RAPOPORT H. Brain drain and economic growth:theory and evidence[J].Journal of Development Economics, 2001, 64(1):275-289. |
| [6] | DOCQUIER F, LODIGIANI E, RAPOPORT H, SCHIFF M. Emigration and democracy[R].World Bank Policy Research Paper, No.5557, 2011. |
| [7] | STARK O, HELMENSTEIN C, PRSKAWETZ A. A brain gain with a brain drain[J].Economics Letters, 1997, 55(2):227-234. |
| [8] | THANH N D. A model of optimal brain drain, Japan-Vietnam Economist Club(JVEC)[R].Workshop in Tokyo, 2004. |
| [9] | MUNDELL R A. International trade and factor mobility[J].American Economic Review, 1957, 47(3):321-356. |
| [10] | HEAD K, RIES J. Immigration and trade creation:econometric evidence from Canada[J].Canadian Journal of Economies, 1998, 31(1):47-62. |
| [11] | GRUBEL H, SCOTT A. The international flow of human capital[J].American Economic Review, 1966,56(12):268-274. |
| [12] | 刘德学,范兆斌. 跨国移民、人力资本与知识陷阱[J]. 中国软科学,2010(5):169-181. |
| [13] | FRÉDÉRIC D, RAPOPORT H. Globalization, brain drain, and development[J].Journal of Economic Literature, 2012, 50(3):681-730. |
| [14] | GHOSH B N, GHOSH R. Economics of brain migration[M].New Delhi:Deep & Deep Publications, 1982:174-175. |
| [15] | BEINE M, DOCQUIER F, OZDEN C. Diasporas[J].Journal of Development Economics, 2011, 95(1):30-41. |
| [16] | DUFFY J, PAPAGEORGIOU C, PEREZ-SEBASTIAN F. Skill complementarity? evidence from a panel of countries[J].Review of Economics and Statistics, 2004, 86(1):327-344. |
| [17] | SIMONOVSKA I, WAUGH M. The elasticity of trade:estimates and evidence[J].Journal of International Economics, 2014, 16(1):34-50. |
| [18] | HANSEN B E. Threshold effects in non-dynamic panels:estimation, testing and inference[J].Journal of Economics, 1999, 93:345-368. |

