The Chinese Meteorological Society
Article Information
- ZHANG Qiang, YAO Tong, YUE Ping, ZHANGF Liyang, ZENG Jian. 2013.
- The Influences of Thermodynamic Characteristics on Aerodynamic Roughness Length over Land Surface
- J. Meteor. Res., 27(2): 249-262
- http://dx.doi.org/10.1007/s13351-013-0209-5
-
Article History
- Received May 29, 2012
- in final form January 5, 2013
2. Meteorological Bureau of Gansu, Lanzhou 730020;
3. College of Atmospheric Sciences, Lanzhou University, Lanzhou 730000
Surface aerodynamic roughness length is one ofthe most important physical parameters of the earth'ssurface, and is closely related to the momentum, energy, and material exchange processes between the surface and the atmosphere(Conihan, 1971; Stull, 1988).This parameter is often used in the l and surface process parameterization schemes of the atmospheric numerical models, micro-meteorological analysis methods, fluid mechanics, dynamic meteorology, and oceanphysics, among all of which it is critical to accurate simulation and estimation of the surface turbulent fluxes. However, how to accurately estimate l and surface aerodynamic roughness length remains one ofthe open scientific issues in the geosciences(Martano, 2000; Mei et al., 2006).
Beginning from the 1930s, Karman et al.(1930) and Plandtl(1934)performed the first studies on aerodynamic roughness length, in order to underst and thefluid movement mechanisms involved therein. Overthe following several decades, many researchers havemade considerable efforts to study surface aerodynamic roughness length. The classic flux-profile relationship for near-surface wind speed is currently themost scientific method used to determine aerodynamicroughness length(Zhang et al., 2009a; Monin and Obukhov, 1954; Garratt, 1992). However, due tothe fact that it is commonly accepted that aerodynamic roughness length is a geometrical parameter, which depends only on structure and morphology ofsurface roughness elements(Chen et al., 1993; Dickinson and Kenney, 1986), most previous studies havederived this variable using the characteristic parameters of surface roughness elements or the flux-profilerelationships with wind speed in neutral atmosphericstratification, and have tended to view aerodynamicroughness length as a constant. Therefore, in mostprevious scientific field experiments, researchers wereconcentrated on obtaining fixed roughness length parameters over typical l and surfaces and their variations with underlying growing vegetation(Dickinson and Kenney, 1986; Sellers et al., 1986). Based onthese experiments, Stull(1988)provided aerodynamicroughness length values for some main underlying surface types. These values have been used as l and surface process parameters in many atmospheric numerical models(Dickinson, 1995; Kondo and Yamazawa, 1986).
However, in theory, aerodynamic roughnesslength is not a simple geometric parameter, but a conceptual physical length with specific meanings comprehensively decided by the surface characteristics and the dynamic and thermodynamic interaction betweenthe surface and the atmosphere(Li and Chen, 1997);it is in essence a dynamic parameter(Lettau, 1969), and thus changes dynamically(Zhang and Lu, 2003).The dynamic characteristics of aerodynamic roughness length not only depend on the structural and morphological variation of surface roughness elements(Schmid and Bunzil, 1995), but also show clear responses to the variation of near-surface thermodynamic and dynamic states, such as atmospheric stability, friction velocity, etc.(Zhou et al., 2006; Monteith, 1973). In terms of physical mechanisms, theprocess by which aerodynamic roughness length is affected by near-surface atmospheric stability and friction velocity is far more complex than that by which itis affected by the characteristics of surface roughnesselements. Therefore, in the past, a relatively largernumber of studies concerning the relationship betweenaerodynamic roughness length and surface geometriccharacteristics have been conducted(Chen et al., 1993;Dickinson and Kenney, 1986; Sellers et al., 1986), withfewer studies being performed concerning the relationship between aerodynamic roughness length and nearsurface thermodynamic and wind flow conditions.
In recent years, some researchers have performedpreliminary studies concerning the relationship between aerodynamic roughness length and near-surfacewind flow conditions(Zhou et al., 2006; Monteith, 1973; Zhang and Shen, 2008). Some have also attempted to establish parameterization between aerodynamic roughness and atmospheric dynamic characteristics over underlying vegetation surfaces(Shiat al., 2006; Zhang et al., 2012a). However, dueto the lack of a profound underst and ing of the importance of aerodynamic roughness length being impacted by atmospheric thermal conditions over a prolonged period of time(Stull, 1988), research on therelationship between aerodynamic roughness length and near-surface atmospheric thermodynamic state remains scarce(Wood and Mason, 1991; Zilitinkevich et al., 2008), and the current underst and ing of the regularity by which aerodynamic roughness length changesalong with near-surface atmospheric stability is alsovery limited. Even surface aerodynamic roughnesslengths determined in internationally recognized scientific field experiments may only represent the average state of aerodynamic roughness length over typical underlying surfaces, and are not able to depictthe dynamic relation between aerodynamic roughnesslength and near-surface atmospheric thermodynamicstability. Underlying l and surfaces with rather distinctdiurnal and annual changes in atmospheric thermodynamic state present a prominent problem, and thisproblem is especially significant in arid and semi-aridregions, where the daily temperature range is quitelarge(Huang et al., 2012). In addition, solving roughness length in numerical models is achieved by meansof an iterative scheme, and atmospheric stability mayaffect the aerodynamic roughness length through stability parameters or M-O mixing length; however, currently underst and ing of the effect of atmospheric stability changes related to thermal conditions on roughness length remains inadequate. By analyzing the l and surface process observational data over varied typicalunderlying surfaces in semi-arid regions, a general relation between roughness length and atmospheric thermodynamic stability may be established, and it is ofimportance to thoroughly underst and the l and atmosphere interaction in these areas. Therefore, in thispaper, by using the l and surface process observationsover four typical underlying surfaces, provided by theExperimental Co-observation and Integral Research inSemi-arid and Arid Regions over North China(Zilitinkevich et al., 2008; Zeng et al., 2010), the relationship between aerodynamic roughness length and near-surface atmospheric thermodynamic stability isinvestigated, the results of which are expected to provide scientific reference for improving the parameterization of aerodynamic roughness length in the l and surface processes over semi-arid regions.2. Observational data and site
The Experimental Co-observation and IntegralResearch in Semi-arid and Arid Regions over NorthChina(hereafter referred to as the "Northern ChinaCoordinated Observation Experiment")(Zeng et al., 2010)was organized and sponsored joitly by theKey Laboratory of Regional Climate-EnvironmentResearch for Temperate East Asia(RCE-TEA)of theChinese Academy of Sciences, and the Monsoon AsiaIntegrated Regional Study(MAIRS). The experimentconducted simultaneous l and surface processes observations over 18 stations under the same observationst and ards and instrument calibrations, and the dataobtained were subject to the same quality control procedure(Zhang et al., 2012b; Zeng et al., 2011).
In this paper, four typical stations from this observation experiment were selected for analysis, asthese stations form a basic representation of major underlying surfaces and climate zones of northern China.Figure 1 shows photographs of the field surroundingeach site. The observations performed in the studyinclude weather elements, such as surface air pressure and precipitation, as well as micro-meteorological elements such as wind speed, temperature and humidityprofiles, l and surface radiation and energy balance, soiltemperature and humidity profiles. Table 1 shows theheights at which the observation equipments of thestations were mounted. Zeng et al.(2010, 2011) and Zhang et al.(2012b)detailed the performance, technical specifications of the observational instruments, and the application of the data. The data cover July-September 2008, with no apparent seasonal variationin vegetation height observed in any study areas.
![]() |
| Fig. 1. Meteorological observation ground of(a)grassl and s of Arou, (b)farml and s of Linze, (c)grassl and s of Tongyu, and (d)farml and s of Tongyu. |
According to flux-profile relationships for windspeed(Chen et al., 1993; Dyer and Bradley, 1982;Moinn and Obukhov, 1954; Zhang et al., 2002), aerodynamic roughness length may be estimated using theobservational data. In this paper, aerodynamic roughness length z0 is determined by the method originallydescribed in the paper of Chen et al.(1993):
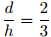
where z0 is the aerodynamic roughness length(m); dis the zero-plane displacement height(m)(estimatedaccording to
, where h is the vegetation height), with its details given in Table 2; z is the observationalheight above the surface(m); L is the Monin-Obukhovlength(m); u is the wind speed(m s-1)at the heightof z; u* is friction velocity(m s-1); φm is the stabilitycorrection function, and ζ is the Monin-Obukhov stability parameter, both of which are non-dimensional.Wind speed u was measured directly, and the frictionvelocity u* and the Monin-Obukhov length L are calculated directly using the observational data(Zhang et al., 2002). Due to the difficultly in strictly identifying neutral atmospheric stratification, we choose thestability range that is as close to neutral as possible, and meanwhile retaining as many data samples as possible, to represent neutral atmospheric stratification.Therefore, in this paper, the average roughness lengthvalue under the condition of -0.13 ≤ ζ ≤ 0:03 is regarded as the roughness length in neutral atmosphericstratification, denoted as z0n, and is later used forthe normalization processing of aerodynamic roughness length.![]() |
In many previous studies, actual aerodynamicroughness length has been replaced by aerodynamicroughness length in neutral atmospheric stratification.Therefore, in this paper, the aerodynamic roughnesslengths of the four stations in the neutrally stratifiedatmospheric surface layer under full wind speed arefirst estimated. The statistical average values of thecalculation results show that the respective aerodynamic roughness lengths of the grassl and s of Arou, farml and s of Linze, grassl and s of Tongyu, and farml and s of Tongyu are 0.03, 0.09, 0.30, and 0.15 m. Thesevalues are consistent with those shown in Stull(2005), indicating that the measured roughness lengths derived from the data of the northern China coordinatedobservation experiment are reliable.
However, it remains unclear to what extent aerodynamic roughness length in neutral atmosphericstratification may represent the actual roughnesslength, and thus, a non-dimensional aerodynamicroughness length z0/z0n is defined in this paper. Dueto the fact that the differences in roughness lengthsover different types of underlying surfaces are verylarge, non-dimensional aerodynamic roughness lengthmay be used to eliminate the effects of different vegetation conditions of different underlying surfaces(such asdensity, height, etc.). It is also convenient to compare and analyze the representativeness of the aerodynamicroughness length in neutral atmospheric stratificationto the actual aerodynamic roughness length. Afterthe normalization process is performed on the aerodynamic roughness length, the aerodynamic roughnesslength in neutral atmospheric stratification may beused to represent the actual roughness length when thenon-dimensional aerodynamic roughness length valueis close to 1.0; when the representativeness is larger orsmaller than 1.0, it becomes problematic.
Figure 2 shows that the average values of z0/z0nof the four stations all clearly deviate from 1: > 1for the farml and s of Linze and grassl and s of Tongyu, and < 1 for the farml and s of Tongyu and grassl and s ofArou. This demonstrates that atmospheric wind flowconditions(Zhang et al., 2012a) and thermodynamicstability both significantly affect the surface aerodynamic roughness length. The larger the near-surfacehorizontal velocity in neutrally stratified atmosphereunder full wind speed and the stronger the wind shear, the smaller the z0n will be, and as a result, the nondimensional aerodynamic roughness length z0/z0n willbe either larger or smaller than 1. Of course, the difference of z0/z0n among the four stations is a result of thecombination of atmospheric wind flow conditions and thermodynamic stability, and how to eliminate the impact of wind speed variation on the roughness lengthis a matter which will be analyzed later in this paper. The observations show that the roughness lengthin neutral atmospheric stratification differs from theactual roughness length quite significantly, thus usingthe roughness length in neutral atmospheric stratification to represent the actual roughness length mayproduce a relatively large error, leading to a significant problem for the calculation of surface momentum, energy, and material flux, all of which are highlysensitive to aerodynamic roughness length. Therefore, it is necessary to thoroughly underst and the relationship between aerodynamic roughness length and atmospheric thermodynamic stability.
![]() |
| Fig. 2. Comparison of non-dimensional aerodynamic roughness lengths of the four stations. |
The Monin-Obukhov stability parameter is one ofthe most typical near-surface atmospheric thermodynamic stability parameters. Figure 3 shows a scatterplot of the relationship between z0/z0n and MoninObukhov stability parameter for the four stations.The chart shows that the distribution of z0/z0n is verydiscrete and hardly visible. However, this does notnecessarily signify that no relationship exists betweenz0/z0n and Monin-Obukhov stability parameter, and the reason for this phenomenon is likely because z0/z0nis not only related to the atmospheric thermodynamicconditions, but also to the atmospheric wind flow conditions(Shi et al., 2006; Zhang et al., 2012a). It mayalso be simply due to the fact that the variation of thenear-surface wind flow conditions significantly disturbsthe intuitive performance of z0/z0n changes along withthe Monin-Obukhov stability parameter.
![]() |
| Fig. 3. Relationship between non-dimensional aerodynamic roughness and Monin-Obukhov stability for the fourstations. |
Figure 4 is the distribution of z0/z0n at variouswind speed intervals for all four stations, at each ofwhich the wind speed is observed at the setting heightof the eddy instrument(for details, refer to Table 1).In fact, z0/z0n changes clearly with the wind speed, and shows the basic trend of decreasing as the windspeed increases. Of course, due to the fact that windspeed has a dual dynamic effect on vegetation surfaces(Zhang et al., 2012a), z0/z0n changes along with thewind speed in a rather complex manner. However, the effects which wind speed has on z0/z0n are quiteapparent, and it is certain that they will severely interfere with the variation tendency of z0/z0n along withthe Monin-Obukhov stability parameter.
![]() |
| Fig. 4. Distribution of z0/z0n at various wind speed intervals for the four stations. |
However, Fig. 4 indicates that z0/z0n over thefour underlying surfaces shows lower variance in thewind speed range of 2.5-3.5 m s-1, under which condition it may be basically considered that the nearsurface wind flow conditions remain fixed. Therefore, in order to suppress the interference from the windspeed to the variation tendency so that z0/z0n changesalong with the Monin-Obukhov stability parameter asmuch as possible, the observational data in the windspeed range of 2.5-3.5 m s-1 are chosen to analyze thequantitative relation between z0/z0n and near-surfacethermodynamic feature variation.
Figure 5 shows the distribution of the meanz0/z0n and the mean relative deviation(jz0¡z0nj=z0n)in the speed range of 2.5-3.5 m s-1 for the four stations. It can be seen that under this condition, z0/z0nover the four underlying surfaces deviates from 1.0more significantly than that under full wind speed, and is clearly smaller than 1.0. The maximum relative deviation between the aerodynamic roughnesslength under full thermodynamic stability and in neutral stratification may reach 60%, with the minimumbeing close to 14%. This further demonstrates the significant effects that the near-surface atmospheric thermodynamic stability has on z0/z0n, thus showing thatit is necessary to establish the quantitative relationbetween z0/z0n and near-surface atmospheric thermodynamic stability.
![]() |
| Fig. 5. Distributions of(a)non-dimensional aerodynamic roughness and (b)|z0-z0n|/z0n in the wind speed range of2.5-3.5 m s-1. |
It is traditionally believed that surface aerodynamic roughness length is a geometric parameterwhich depends only on surface rough features. However, its influencing factors are much more complex.In terms of its definition in the flux-profile relationship with wind speed(Zhang et al., 2009b; Monin and Obukhov, 1954; Garratt, 1992), the surface z0 shouldbe the height above the l and surface at which thewind speed approaches zero. Viewed from the physical meanings of its definition, apart from the maininfluencing factors of the geometric structure(height and granularity) and distribution characteristics(density and trend)of the l and surface roughness elements, the downward transmission of near-surface momentum, i.e., the ability roughness elements, which consume and absorb momentum, also has a salient influence on the surface roughness length(Thom, 1971).This is due to the fact that the near-surface momentum downward transmission directly decides the degree by which the airflow flows down into the clearance of the roughness elements. With change of thedefinite geometric structure and distribution characteristics of the l and surface roughness elements, theability of the roughness elements to consume and absorb momentum is closely correlated with the pressureforce and turbulent diffusion function, the processesof which are mainly determined by the near-surfacewind flow and thermodynamic conditions, the mainparameters of which are the near-surface wind speed(or friction velocity) and atmospheric thermodynamicstability. Therefore, aside from the geometric structure and distribution characteristics of the l and surface roughness elements, the near-surface wind speed(or friction velocity) and atmospheric thermodynamicstability are also physical factors that influence and control the surface aerodynamic roughness length(Li and Chen, 1997; Lettau, 1969; Zhang and Lu, 2003;Schmid and Bunzil, 1995; Zhou et al., 2006; Monteith, 1973; Zhang and Shen, 2008; Shi et al., 2006).
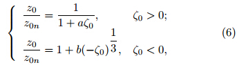
In the past, many studies concerning the relationship between l and surface aerodynamic roughnesslength and structure and the distribution characteristics of l and surface roughness elements have beenperformed(Chen et al., 1993; Dickinson and Kenney, 1986; Zhang and Lu, 2003), the results of which havecontributed to the formation of a relatively mature basis of knowledge. Moreover, in the early 1950s, someresearchers(e.g., Charnock, 1955)observed the effectsof near-surface wind flow conditions on l and surfaceaerodynamic roughness length, and made substantial progress in research concerning the relationshipsbetween sea and l and surface aerodynamic roughness length and near-surface wind speed and friction velocity(Schmid and Bunzil, 1995; Zhou et al., 2006; Monteith, 1973; Zhang and Shen, 2008; Shi et al., 2006; Zhang et al., 2012a; Rotach et al., 2005). However, research concerning the effects ofnear-surface thermodynamic characteristics on surfaceaerodynamic roughness length had been scarce untilrecently, when Zilitinkevich et al.(2008)tentativelydiscussed the relationship between roughness length and near-surface thermodynamic stability. The following smooth-surface roughness length formula hasbeen proposed(Charnock, 1955):
where λ is the coe±cient of air molecule diffusion, and u* is the friction velocity. Zilitinkevich et al.(2008)assumed that the roughness-surface is similarto the smooth-surface, except that the momentum diffusion no longer follows molecule diffusion regularity;instead it follows turbulent diffusion regularity. Theroughness-surface roughness length equation is produced from the following equation:where Km0 is the coe±cient of the atmospheric eddydiffusion. Based on this, and through a series of simplification, a formula including z0/z0n and near-surfacethermodynamic stability is produced:where z0 is the surface aerodynamic roughness length;z0n is the surface aerodynamic roughness length inneutral atmospheric stratification, both of which maybe derived by the above equations; φm(ζ0)is the stability influence function; and
is theMonin-Obukhov stability parameter at the roughnesselements height h0.
Now Eq.(5)may be rewritten as follows:
where a = 8.13 and b = 1.15.Figure 6 shows the theoretical relation curve between z0/z0n and Monin-Obukhov stability parameter, proposed by Zilitinkevich et al.(2008). It is seenthat z0/z0n decreases as the thermodynamic stability increases, and vice versa. However, this simplified theoretical relation curve has yet to be verified bymeans of observational experiments, and due to manyassumption and simplification the curve involves, itsreliability remains doubtful.
![]() |
| Fig. 6. Relation curve between non-dimensional aerodynamic roughness and Monin-Obukhov stability parameter(Zilitinkevich et al. 2008). |
Here the data retrieved from the Arou grassl and s, Linze farml and s, and Tongyu grassl and s are used toanalyze the actual relationship between the aerodynamic roughness length and atmospheric stratificationstability, and the data from the Tongyu farml and sare used to verify the reliability of the empirical relationships. Figure 7 shows that in the wind speedrange of 2.5-3.5 m s-1, surface aerodynamic roughness lengths under different atmospheric thermodynamic conditions are distinguishable from each other, and the relative difference may exceed 20%. The error bars in the figure represent st and ard deviation.Under the neutral atmospheric condition, the aerodynamic roughness length is the largest; under the stable and unstable atmospheric conditions, the aerodynamicroughness lengths are both smaller. This may qualitatively reflect the influence rules of the atmosphericthermodynamic stability on the aerodynamic roughness length. Figure 7 also shows that even under theneutral condition, the aerodynamic roughness lengthis variable. In order to eliminate the effects of the heterogeneity of underlying surfaces, Fig. 7 also showsthe observed results in the prevailing wind directiontion of full wind speed, the dispersion degree of thestatistical results in the prevailing wind direction under the neutral condition show a clear decrease, and the aerodynamic roughness lengths show a slight decrease. Therefore, in the analyses below, the aerodynamic roughness length in the neutral atmosphericstratification z0n is the value in the prevailing winddirection.
![]() |
| Fig. 7. Distribution of aerodynamic roughness lengthin different atmospheric stratification states over the farml and s of Linze, grassl and s of Tongyu and Arou, in the windspeed range of 2.5-3.5 m s-1. |
In order to quantitatively underst and the relationship between aerodynamic roughness length and thermodynamic stability, Fig. 8 shows characteristics of the non-dimensional aerodynamic roughnesslength changes along with the Monin-Obukhov stability parameter in the wind speed range of 2.5-3.5 ms-1. As seen from the figure, the tendency by whichz0/z0n changes with Monin-Obukhov stability parameter is much more apparent than the tendency shown in Fig. 3 under full wind speed, and the peak valuesof z0/z0n appear under the neutral atmospheric condition, while z0/z0n significantly reduces when both theatmospheric stability and instability increase, which isa very interesting variation characteristic.
Moreover, the empirical relations may be fittedwith the observational data, as shown in the followingequation:
![]() |
| Fig. 8. Characteristics of non-dimensional aerodynamic roughness length changes with the Monin-Obukhov stabilityparameter in the wind speed range of 2.5-3.5 m s-1. |
Table 3 shows the statistics of the fitted relationsbetween the non-dimensional aerodynamic roughness and Monin-Obukhov stability parameter. It is indicated that the statistics correspond relatively wellwith the correlation coefficients of 0.72 under the stable atmospheric condition and 0.47 under the unstableatmospheric condition, and the st and ard deviation iswithin 0.30.
![]() |
Comparing Fig. 8 with the Zilitinkevich theoretical relation curve(Zilitinkevich et al., 2008)shownin Fig. 6 reveals that the fitted relation curve is verysimilar to the Zilitinkevich theoretical relation curvein the stable atmospheric state, but in the unstableatmospheric state, the two are quite distinct and showalmost opposite variation tendencies, which is a quitenotable problem. It appears that, under the unstablecondition, some assumed relations and simplificationprocesses used in the derivation may not apply.
In fact, the results observed under the conditionof unstable mechanical turbulence over urban groundsurface as determined by Rotach et al.(2005)usingdata from the BUBBLE experiment differ from thoseproduced using the Zilitinkevich theoretical relationship(Zilitinkevich et al., 2008), but are more similarto the results observed in this study. In addition, interms of physical mechanisms, although atmosphericthermodynamic stability is capable of influencing surface aerodynamic roughness length by increasing pressure force, atmospheric instability may also influencesurface aerodynamic roughness length by increasingturbulent diffusivity, and in fact both may strengthenthe degree by which airflow invades or infiltrates intothe roughness elements canopy, thereby decreasing thesurface aerodynamic roughness length. These observations indicate that the experimental relations fittedwith experimental data may be more reliable than theZilitinkevich theoretical relations.
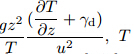
The bulk Richardson number is also an important atmospheric stability parameter, and here we alsoprovide the variation of z0/z0n changes along with theRichardson number in the wind speed range of 2.5-3.5m s-1(see Fig. 9). It is clearly shown that the tendency by which z0/z0n changes along with the bulkRichardson number is similar to that with the MoninObukhov stability parameter, and a set of fitted formulas may be used to represent the experimental relations:
![]() |
| Fig. 9. Variation of non-dimensional aerodynamic roughness changes along with the stability parameter Rib in thewind speed range of 2.5-3.5 m s-1. |
is atmospheric temperature, z isobservation height, u is wind speed, and fld is the dryadiabatic lapse rate. Table 3 indicates that the fittedrelations show high correlation coefficients and a smallst and ard deviation.4.3 Experimental verification
In order to verify the reliability of the empiricalrelations between z0/z0n and near-surface atmosphericthermodynamic stability parameters fitted with experimental data, the data of Tongyu farml and station areused to verify the relations. Figure 10 shows comparison between estimated and observed z0/z0n in unstable stratification condition by Eqs.(7), (8), and (6). It is demonstrated that the dispersions of z0/z0nestimated by the two empirical relations are a littlebig, but they both are consistent with observed values;while the dispersion of z0/z0n estimated by Zilitinkevich theoretical relation is bigger and the estimatedvalues are clearly larger than observed values. Table 4shows that correlation coefficients between z0/z0n estimated by the two empirical relations and observedvalues can both reach 0.53, with st and ard deviationsbeing relatively small. In contrast, z0/z0n estimatedby Zilitinkevich theoretical relation is negatively related to observed values, with a correlation coe±cientof -0.50 and st and ard deviation double of the former.
![]() |
| Fig. 10. Comparison between estimated and observed non-dimensional aerodynamic roughness in the unstable stratification condition by(a)Eq.(7), (b)Eq.(8), and (c)Eq.(6). |
Figure 11 gives comparison between estimated and observed z0/z0n in stable stratification conditionby Eqs.(7), (8), and (6), and it is found that z0/z0nestimated by the two empirical relations and Zilitinkevich theoretical relation are all close to observed values. Table 4 shows that their correlation coefficientsare all bigger than 0.46 and st and ard deviations and deviations are smaller than 0.25 and 0.18, respectively.However, carefully comparatively speaking, the effectsof z0/z0n estimated by the two empirical relations area little better than z0/z0n estimated by Zilitinkevichtheoretical relation.
![]() |
| Fig. 11. As in Fig. 10, but for stable stratification condition. |
In summary, under the stable atmospheric condition, the results from the empirical fitted relationship and Zilitinkevich theoretical relationship are veryclose to each other, indicating that the Zilitinkevichtheoretical relationship is in fact reliable in practicalapplication; however, under the unstable atmosphericcondition, using the Zilitinkevich theoretical relationship may possibly be less accurate than directly usingz0/z0n under the neutral condition; thus, in practical application, this Zilitinkvich method should be replaced by the empirical fitted relation.5. Conclusions and discussion
Aerodynamic roughness length is a physical parameter that changes dynamically, and its dynamicvariation characteristics depend highly on the variation of the near-surface atmospheric thermodynamicstate. Due to the fact that aerodynamic roughnesslength is a parameter which is very sensitive to calculations of momentum, energy, and material flux in atmospheric numerical models, it is possible that the consideration of the dynamic variation by which aerodynamic roughness length changes along with the nearsurface atmospheric thermodynamic parameters mayimprove the simulation capability of atmospheric numerical models.
In many previous studies, the actual aerodynamicroughness length has been replaced by the aerodynamic roughness length in neutral atmospheric stratification. However, comparing aerodynamic roughnesslength under full thermodynamic stability with thatunder the neutral condition finds that the maximumrelative deviation may be as high as 60% and the minimum close to 14%; thus, using aerodynamic roughnesslength in neutral atmospheric stratification to replacethe actual aerodynamic roughness length may producea great level of error.
In the wind speed range of 2.5-3.5 m s-1, in whichz0/z0n undergoes slight change, z0/z0n and Monin-Obukhov stability parameter show a high correlation, as do z0/z0n and bulk Richardson number. In stable atmospheric stratification, the total respective correlation coefficients are both higher than 0.71 and st and ard deviations are lower than 0.26; under theunstable condition, their total respective correlationcoefficients are both higher than 0.47 and st and arddeviations are lower than 0.29. The peak values ofthe z0/z0n change along with thermodynamic stability appear under the neutral atmospheric condition, and z0/z0n shows a clear decrease as either the atmospheric stability or instability increases. Therefore, it is shown that if the effects of the near-surface atmospheric thermodynamic stability are ignored, theaerodynamic roughness length will be greatly overestimated.
The empirical relation fitted with the experimental observations is quite consistent with the Zilitinkevich theoretical relation in the stable atmosphericstate, but completely different in the unstable state. Itappears that the empirical fitted relation described inthis paper is more similar to the conclusions of otherinternational observational experiments and numerical experiments performed under the unstable atmospheric condition.
Furthermore, the experimental validation performed in this study also demonstrates that using fitted relations to estimate z0/z0n is more accurate, withcorrelation coefficients greater than 0.45; while usingthe Zilitinkevich theoretical relation is similar to usingthe empirical fitted relation in stable stratification, theZilitinkevich theoretical relation results deviate significantly from the observed values in unstable stratification. Therefore, in practical application, using empirical fitted relations may be more reliable than usingZilitinkevich theoretical relations.
The results in this paper show the effects of the near-surface atmospheric thermodynamic state onaerodynamic roughness length, and the empirical fitted relations described in this paper may provide helpful reference for the parametric relations of grid-scaleaerodynamics in numerical models(Tetsuya et al., 1996; Zhang et al., 2009b). However, due to interference caused by observational error and other factors, the fitted relations between z0/z0n and near-surfaceatmospheric thermodynamic stability parameters havea certain level of discreteness, and quantitative accuracy estimation requires a further study. To resolvethese issues, a greater number of highly technical fieldobservational and numerical simulative laboratory experiments must be performed.
Acknowledgments: The authors thank the Monsoon Asia Integrated Regional Study(MAIRS)for providing the data.
| [1] | Charnock, H., 1955: Wind stress over a water surface. Quart. J. Roy. Meteor. Soc., 81, 639-640. |
| [2] | Chen Jiayi, Wang Jiemin, and Guang Tianning, 1993: An independent method to determine the surface roughness length. Chinese J. Atmos. Sci., 17(1), 21-26. (in Chinese) |
| [3] | Conihan, J., 1971: Wind tunnel determination of the roughness length as a function of the fetch and the roughness density of three-dimensional roughness elements. Atoms. Environ., 5, 637-650. |
| [4] | Dickinson, R. E., 1995: Land-atmosphere interaction. Rev. Geophys., 233, 917-922. |
| [5] | —, and P. J. Kenney, 1986: Biosphere-Atomosphere Transfer Scheme (BATS) for the NCAR Community Climate Model National Center for Atmospheric Research. Boulder, CO, Tech Note/TN-275+STR. |
| [6] | Dyer, A. J., and E. F. Bradley, 1982: An alternative analysis of flux-gradient relationships at the 1976 ITCE. Bound. Layer Meteor., 22, 3-19. |
| [7] | Garratt, J. R., 1992: The Atmospheric Boundary Layer. Cambridge University Press, Cambridge, U.K., 316 pp. |
| [8] | Huang, J., X. Guan, and F. Ji, 2012: Enhanced coldseason warming in semi-arid regions. Atmos. Chem. Phys. Discuss., 12, 4627-4653. |
| [9] | Karman, Th. Von., Mechanische Ahnlichkeit, and Turbulenz, 1930: Nachrichten der Akademie der Wissenschaften, G6ttingen, Math-Phys. Klasse., 58 pp. |
| [10] | Kondo, J., and H. Yamazawa, 1986: A erodynamic roughness over an inhomogeneous ground surface. Bound.-Layer Meteor., 35, 331-348. |
| [11] | Lettau, H., 1969: Note on aerodynamic roughnessparameter estimation on the basis of roughness element description. J. Appl. Meteor., 8, 828-832. |
| [12] | Li Zhenshan and Chen Guangting, 1997: A review of roughness length. J. Desert Res., 17(1), 99-102. (in Chinese) |
| [13] | Martano, P., 2000: Estimation of surface roughness length and displacement height from single level sonic anemometer data. J. Appl. Meteor., 39(5), 708-715. |
| [14] | Mei Fanmin, J. Rajot, S. Alfaro, et al., 2006: Variation of aerodynamic roughness length in flat sandlot and its physical significance. Progress in Natural Science, 16(3), 325-330. (in Chinese) |
| [15] | Monin, A. S., and A. M. Obukhov, 1954: Basic laws of turbulence mixing in the surface layer of the atmosphere. Trudy Geofiz. Inst. AN SSSR, 24(151), 163-187. |
| [16] | Monteith, J. L., 1973: Principles of Environmental Physics. Edward Arnold, London, 241 pp. |
| [17] | Plandtl, L., 1934: The Mechanics of Viscous Fluids. Aerodynamic Theory. W. Durand, Ed., Stanford University Press, 34-208. |
| [18] | Rotach, M. W., R. Vogt, C. Bernhofer, et al., 2005: BUBBLE-An urban boundary layer meteorology project. Theor. Appl. Climatol., 81, 231-261. |
| [19] | Schmid, H. P., and B. Bunzil, 1995: The influence of surface texture on the effective roughness length. Quart. J. Roy. Meteor. Soc., 121, 1-21. |
| [20] | Sellers, P. J., Y. Mintz, et al., 1986: A simple biosphere model (SIB) for use within general circulation models. J. Atmos. Sci., 43(6), 505-531. |
| [21] | Shi Xuefeng, Xia Jianfeng, and Ji Zuwen, 2006: A review: The study in relationship between aerodynamic roughness length and the characteristics of vegetation. Journal of the CUN (Natural Sciences Edition), 15(3), 218-225. (in Chinese) |
| [22] | Stull, R. B., 1988: An Introduction to Boundary Layer Meteorology. Kluwer Acad, Norwell, Mass, 380 pp. |
| [23] | —, 2005: Meteorology for Scientists and Engineers (3rd edition). Brooks/Cole Thomson Learning, Pacific Grove, California, 580 pp. |
| [24] | Tetsuya, H., S. Michiaki, and K. Kazuo, 1996: Regional roughness parameters and momentum fluxes over a complex area. J. Appl. Meteor., 35, 2179-2190. |
| [25] | Thom, A. S., 1971: Momentum absorption by vegetation. Quart. J. Roy. Meteor. Soc., 97(414), 414-428. |
| [26] | Wood, N., and P. Mason, 1991: The influence of static stability on the effective roughness lengths for momentum and heat transfer. Quart. J. Roy. Meteor. Soc., 117, 1025-1056. |
| [27] | Zeng Jian, Shen Jie, and Zhang Qiang, 2010: An overview of the spatial patterns of land surface processes over arid and semiarid regions. Sciences in Cold and Arid Regions, 2(4), 288-297. |
| [28] | —, Zhang Qiang, and Wang Sheng, 2011: Regional differences in the characteristics of clear-sky. Chinese J. Atmos. Sci., 35(3), 483-492. (in Chinese) |
| [29] | Zhang Qiang, Wei Guoan, Cao Xiaoyan, et al., 2002: Observation and study of land surface parameters over Gobi in typical arid region. Adv. Atmos. Sci., 19(1), 121-135. |
| [30] | -and Lu Shihua, 2003: The determination of roughness length over city surface. Plateau Meteor., 22(1), 2531. (in Chinese) |
| [31] | —, Hu Xiangjun, Wang Sheng, et al., 2009a: Some technological and scientific issues about the experimental study of land surface processes in Chinese Loess Plateau (LOPEX). Advances in Earth Science, 24, 363-371. (in Chinese) |
| [32] | —, Wang Sheng, Zhang Jie, et al., 2009b: The research advance on land surface process and atmosphere boundary layer in arid region. Advances in Earth Science, 24, 1185-1194. (in Chinese) |
| [33] | —, Zeng Jian, and Yao Tong, 2012a: Interaction of aerodynamic roughness length and windflow conditions and its parameterization over vegetation surface. Chinese Science Bulletin, doi: 10.1007/s11434-0125000-y. |
| [34] | —, —, and Zhang Liyang, 2012b: A study on characteristics of land surface water and heat processes over the different regions of North China during prevailing summer monsoon period. Sci. China (Earth Sci.), doi: 10.1007/s11430-012-4373-8. |
| [35] | Zhang Yajing and Shen Xiangdong, 2008: Simulation analysis of vegetation covered surface's aerodynamics roughness length and zero displacement. Journal of Desert Research, 28(1), 21-26. (in Chinese) |
| [36] | Zhou Yanlian, Sun Xiaomin, Zhu Zhilin, et al., 2006: Surface roughness length dynamic over several different surfaces and its effects on modeling fluxes. Sci. China (Earth Sci.), 49(Suppl. 2), 262-272. |
| [37] | Zilitinkevich, S. S., I. Mammarella, A. A. Baklanov, et al., 2008: The effect of stratification on the aerodynamic roughness length and displacement height. Boundary-Layer Meteor., 129, 179-190. |
2013, Vol. 27
























