中国气象学会主办。
文章信息
- 武智君, 郄秀书, 王东方, 宣越健, 刘明远, 王志超. 2013.
- WU Zhijun, QIE Xiushu, WANG Dongfang, XUAN Yuejian, LIU Mingyuan, WANG Zhichao. 2013.
- 大兴安岭林区负地闪电荷源的反演
- Retrieval of the charge sources neutralized by negative cloud-to-ground lightning flashes in the Daxing’anling Forest region
- 气象学报, 71(4): 783-796
- Acta Meteorologica Sinica, 71(4): 783-796.
- http://dx.doi.org/10.11676/qxxb2013.057
-
文章历史
- 收稿日期:2012-06-12
- 改回日期:2013-03-29
2. 中国科学院大学, 北京, 100049
2. Universzty of Chinese Academy of Sciences, Beijing 100049, China
雷暴云中的电荷分布在很大程度上决定了闪电的发生和发展,但是随地理位置、区域环境和热动力条件的不同,雷暴云的发展程度不同,云中的微物理结构也相应地具有不同特征,从而影响雷暴云中的起电和放电特征。
通过闪电电场变化的地面多站同步观测可以反演闪电中和的电荷源位置及释放的电荷量,进一步推测雷暴云中与闪电放电有关的电荷分布。Krehbiel等(1979)通过在美国新墨西哥开展的8站闪电电场变化同步观测研究发现,地闪中和的电荷源高度在3.5—6 km(对应的环境温度为-9—-17℃),闪电回击的放电通道可以在8 km的水平区域内发展(该地区属于沙漠气候,夏季炎热干燥,雷暴云发展相对较弱)。位于美国东海岸的佛罗里达属于亚热带湿润气候,Krider(1989)和Thomson等(1984)在该地区的研究显示,在雷暴活跃期的20 min内,电荷源高度为6.4—12.2 km(环境温度在-10℃以下),其分布与雷暴云强度有关,而Krehbiel(1981)利用该地区1977年一次小雷暴过程初始阶段的15次地闪电场变化资料发现,随着雷暴云发展,与地闪放电有关的负电荷中心高度变化不超过1 km,而正电荷中心高度随时间上升。Brook等(1982)在日本北陆地区进行了冬季雷暴的闪电电场变化观测,对正、负地闪的研究结果显示,负电荷所在高度为5.1 km(对应环境温度-5—- 25℃),正电荷所在高度为6.3 km。
Qie等(2000)和张廷龙等(2008)在中国内陆高原地区(平均海拔约2 km)所做的闪电电场变化多站同步观测结果显示,该地区负地闪中和电荷源离地高度为2.7—5.4 km(环境温度为-2—-15℃),一次正地闪中和的电荷源位于5.5 km高度(环境温度为-18℃),对应于雷暴云中大于40 dBz 的强回波区。崔海华等(2009)对甘肃省中川地区的10次云闪分析显示,其中5次云闪是雷暴云中部主负电荷区与其下部正电荷区之间的放电,另外5次是中部主负电荷区与其上部正电荷区之间的放电,对应的放电中心的海拔高度分别在3.2—5.6和6.8—7.7 km,中和电矩分别约为4.56—61.0和1.06—15.9 C·km,证实了中国内陆高原地区雷暴云主负电荷区的上部和下部存在两个正电荷区,且均活跃地参与闪电放电。
大兴安岭林区地处中国东北部(50.10°N,121.12°E),纬度较高,平均海拔1.4 km,原始森林茂密,为典型的丘陵地带,年平均气温为-2℃。由于受西太平洋副热带高压及横贯东北—西南方向的大兴安岭的影响,夏季对流天气集中发生。为了研究大面积森林覆盖地区雷暴云的闪电特征,特别是易于引发雷击火灾的地闪放电特征,2009—2010年夏季在大兴安岭林区进行了高时间精度GPS同步的7站闪电电场变化观测实验。王东方等(2011)曾利用2009年观测资料对地闪回击和连续电流特征进行了统计,并基于4站慢电场变化波形对两次正地闪中和的电荷源进行了粗略估计。本研究利用5站以上观测资料对一次雷暴成熟阶段的15次负地闪回击和连续电流中和的电荷源进行拟合,详细研究大兴安岭林区与闪电放电有关的雷暴云中负电荷的分布情况。2 实验场地与设备
2010年在大兴安岭林区开展的闪电电场变化多站同步观测实验共设置了7个测站,测站分布如图 1。中心测站科研站(KYZ)位于(50.43°N,124.12°E),其他测站分别设在大齐(DQ)、加北(JB)、加南(JN)、农科院(NKY)、啤酒厂(PJC)、砖厂(ZC),各个测站之间的海拔高度差不超过150 m,网络覆盖面积30 km×30 km。7个测站均配有闪电慢电场变化探测仪(简称慢天线)、闪电快电场变化探测仪(简称快天线)、高速大容量数据采集系统,用来探测闪电引起的地面电场变化(郄秀书等,2008)。慢天线的带宽为1 MHz,时间常数为1—3 s,快天线带宽为2 MHz,时间常数为2 ms,数据采样频率为5 MHz,每次闪电的记录时间长度为1 s。7个测站之间采用GPS时钟进行同步,同步时间精度为50 ns。所有设备均经过实验室统一标定,并经过野外对比观测,得到了闪电地面电场变化订正系数。
|
| 图 1 测站分布示意图 Fig. 1 Schematic diagram for the location of the observation stations |
另外,本研究还利用了距中心站科研站约10 km的加格达奇市C波段天气雷达资料,以了解雷暴的发展演化特征。3 定位原理和数据处理3.1 定位原理
通过布置于不同测站的慢天线测量系统记录闪电发生时引起的地面电场变化,利用非线性最小二乘法可以对闪电中和的电荷量和电荷源位置进行拟合(Krehbiel et al,1979)。地闪回击过程中,如果假定:(1)地面在电荷转移前后为等势面,且大地为理想导电体,(2)中和电荷源的几何尺寸与观测距离相比可以忽略不计(Qie et al,2000;张廷龙等,2008),则地闪回击和连续电流引起的地面电场变化ΔEi可等效为云内的点电荷源所引起


慢天线系统测量期间容易受到各种环境因素的干扰,数据噪声的存在甚至影响数据在拟合运算中的使用。为了提高拟合结果的可靠性,一种方法是对长期运行在不同环境条件下的慢天线进行标定,订正结果数据用于日后的测量和拟合计算中(Krehbiel,1981;Qie et al,2000)。二是针对测量设备无法通过长期运行积累订正数据的情况,范祥鹏等(2011)提出了结合穷举法和非线性最小二乘法得到各站的订正系数。穷举法适用于数据量较小的情况,为了降低计算量,借鉴穷举法,采用蒙特卡罗法对电场变化数据进行调整,根据拟合结果获得各站订正系数。具体步骤是:(1)选取至少50组正/负地闪的同步实测电场数据,读取ΔEmi′;(2)数据调整依据ΔEmi=ΔEmi′±ηiRi,ΔEmi为拟合数据,ηi为调整系数,Ri为调整范围,参考Liu等(1985)得到的订正系数为0.8—2,对调整系数ηi取值在-0.5—1.0以0.1为步长循环,调整范围Ri取决于统计得到的最大波动范围,此处取ΔEmi′本身;(3)将各站的拟合数据ΔEmi排列组合代入模式计算,综合以下原则从中选取拟合结果并保存各站订正系数:(a)拟合电荷源的高度在3.5—13.0 km,电荷量符合一般回击和连续电流中和电荷量的规律;(b)拟合优度至少在10以内,并符合条件(a)的最小值;(c)将电荷源位置与雷达回波叠加,电荷源位置应对应于雷暴云范围之内。最终统计得到各站的ηi和Ri,由于调整方法不是本研究的重点这里不对细节详加论述。3.2 电场数据处理
图 2a给出了2010年7月14日22时33分36秒(北京时,下同)负地闪5站同步的慢电场变化波形。拟合结果显示,该地闪回击和连续电流中和的电荷源距中心站科研站平均水平距离12.1 km,平均垂直高度 5.4 km。由于闪电放电位置到达各个测站的距离不同,近场记录中主要是静电场分量,感应场和辐射场分量相对较小可以忽略;远场记录中,由于快、慢天线带宽和采样率较高,电场变化中辐射场和感应场分量不容忽视,而点电荷模式反演的是放电引起的云中电荷源变化,即对应静电场变化,不涉及电荷在闪电通道中的移动过程,因此,选取各站慢电场中辐射场和感应场分量相对较小的同步资料,并对慢电场资料做去除高频成分提取趋势项的处理后,读取电场变化值。
|
| 图 2 2010年7月14日22时33分36秒负地闪的地面电场变化波形 (a. 5站同步的慢电场变化波形; b. PJC站快、慢电场波,R:回击,CC:连续电流,ΔE:电场变化,Tcc:连续电流持续时间) Fig. 2 Surface electric field change produced by a negative cloud-to-ground flash at 22:33:36 BT on 14 July (a)slow electric field change synchronized by GPS at the five stations,and (b)slow and corresponding fast electric field change at the PJC station(R: return stroke,CC: continuing current,ΔE: electric field change,Tcc: time duration of continuing current) |
图 2b为2010年7月14日22时33分36秒负地闪啤酒厂(PJC)站快、慢电场波形图。通过对快、慢电场波形特征进行分析,可以判断引起慢电场变化的源是回击、连续电流或其他云内电荷的中和过程(王道洪等,2000)。如图 2b中400—500 ms,紧随第6次回击发生的电场缓慢上升是由连续电流引起的。一般根据电场变化波形所反映的地闪回击和连续电流的起始时刻可以较准确地读取其电场变化值,但在图 2中无法准确判断连续电流起始时刻的情况下,如果回击产生的电场跳变幅值较连续电流产生的缓慢变化幅值明显偏小,则将回击视作连续电流放电过程的一部分进行讨论,读取总电场变化值代入模式拟合计算,并以回击时刻作为连续电流的起始时刻。4 资料分析与结果4.1 雷暴过程及闪电频数
大兴安岭林区闪电地面电场变化多站同步观测实验于2010年5月开始,共持续60 d,观测到过境雷暴过程17次,其中,12次发生在12—19时,3次发生于20时—次日04时。这主要是由于午后至傍晚太阳辐射会使低层大气极易变得不稳定,有利于雷暴云的形成。本研究选取2010年7月14日经过探测网络的一次雷暴过程进行分析。7月14日雷暴过程持续时间大约160 min。2010年7月14日21时19分前后,在中心测站西北方向,距闪电探测网络约30 km处生成一雷暴系统,有多个对流单体组成,系统向东移动过程中,北侧的对流单体减弱,南侧发展形成3个强对流中心并逐渐合并。22时09分—23时14分雷暴系统经过监测网上方,对流中心水平尺度约35 km,处于成熟阶段,雷达探测到的回波中心最大强度值为55 dBz。
图 3给出了2010年7月14日雷暴过程云闪和正、负地闪频数随时间的演变特征。闪电频数通过统计和综合7站电场数据得到,利用快、慢电场资料统计雷暴过程闪电频数随时间的演变,其可靠性和可行性已有过一些研究(赵阳等,2004;Qie et al,2005;张廷龙等,2007,2008)。各测站GPS标记时间一致且电场波形显示有相同放电过程的闪电确认为一次闪电过程,分析其快电场波形可以区分正、负地闪和云闪。慢天线系统的探测范围是有限的,而根据雷达回波资料,22时09分—23分14分回波强度>30 dBz的雷暴云主体区域完全位于探测范围内,因此,对发生在该时段内地闪中和的电荷源进行拟合,也仅对21时30分—00时05分闪电频数随时间的变化进行分析。结合5个时刻的雷达PPI组合反射率因子图(图 8)发现,22时00—30分雷暴已发展至成熟阶段,雷达探测显示回波中心最大强度值达到50 dBz,雷暴云体由3个分散的对流单体组成,各个对流单体逐渐增强的同时呈现连接合并的趋势,该时段总闪频数稳定,云闪频数呈现一个波峰,占总闪比例超过50%;22时30分—23时20分该雷暴系统沿东西方向线状连续分布,该时段总闪和云闪频数随时间上升,并达到最大值分别为33 fl/(5 min)和24 fl/(5 min),地闪比例占总闪比例先增大后下降。为了便于下文分析地闪回击和连续电流中和的电荷源随时间的演变特征,这里将上述两个时段定义为雷暴成熟阶段前期(22时00—30分)和成熟阶段后期(22时30分—23时20分)。大兴安岭林区纬度较高且下垫面以森林为主,可能是导致这次雷暴过程闪电频数较低(张廷龙等,2007;冯桂力等,2007)的原因之一。由于近地面温度较低,上升气流相对较弱,云中起电活动不强,导致闪电活动较弱,闪电频次偏低。此外,系统的探测范围和效率有限也可能导致测量值较实际值偏小,但总体而言不影响闪电频数较低的定性结论。
|
| 图 3 2010年7月14日雷暴过程闪电频数随时间的演变 (+CG: 正地闪,-CG: 负地闪,IC: 云闪) Fig. 3 Lightning flash rate of the thunderstorm on July 14,2010 (+CG: positive cloud-to-ground flash,-CG: negative cloud-to-ground flash,IC: intracloud flash) |
综合本次雷暴过程的7站快、慢电场变化数据,在探测到的111次地闪中,101次为负地闪,占总地闪的91%。多回击负地闪所占比例也较大,约为79%(88次)。雷暴成熟阶段前期多回击负地闪比例约71%;成熟阶段后期多回击负地闪比例为33%。基于上述统计结果,选取发生在成熟阶段的15次负地闪进行拟合,其中,7次发生在成熟阶段前期(22时00—30分),8次发生在成熟阶段后期(22时30分—23时20分),多回击负地闪占80%(12次),15次负地闪共包含57次回击和8次连续电流过程。利用不少于5站同步的闪电慢电场变化资料,基于非线性最小二乘法对这15次负地闪的57次回击和8次连续电流中和电荷源位置及电荷量进行了拟合,在对拟合结果的分析中电荷源的水平坐标均为相对于中心测站的水平位置,高度坐标均为相对于中心测站地面的垂直高度。表 1给出了其中4次负地闪的拟合结果,误差和拟合优度(χ2)也同时列于表中,其余11次负地闪拟合结果的统计见表 2,57次回击和8次连续电流的拟合优度分布范围为0.001—8.400。
闪电 | R*/ CC | X(km) | Y(km) | Z(km) | Q(C) | χ2 | ∑Q(C) | Ave(Z)(km) | 回击时间 间隔(ms) |
| 221726 | R1 | 3.9±0.1 | 13.1±0.0 | 7.8±0.0 | 1.4 | 0.34 | 1.4 | 7.8 | |
| 222054 | R1 | 9.7±0.1 | 14.7±0.0 | 8.9±0.0 | 2.4 | 0.33 | 4.3 | 9.3 | |
| R2 | 6.7±0.1 | 13.3±0.0 | 9.7±0.0 | 1.9 | 0.69 | 59.6 | |||
| 222259 | R1 | 5.2±0.0 | 12.1±0.0 | 10.3±0.0 | 1.3 | 0.05 | 7.4 | 9.8 | |
| R2 | 3.2±0.0 | 14.5±0.0 | 8.5±0.0 | 1.0 | 4.37 | 33.7 | |||
| R3 | 4.2±0.0 | 13.2±0.0 | 9.9±0.0 | 1.1 | 6.05 | 49.5 | |||
| CC | 1.5±0.1 | 13.6±0.0 | 10.5±0.1 | 4.0 | 4.60 | 94.4 | |||
| 223533 | R1 | 7.1±0.1 | 9.1±0.0 | 4.8±0.0 | 1.0 | 0.50 | 4.6 | 6.9 | |
| CC | 1.9±0.2 | 11.5±0.0 | 7.9±0.1 | 3.6 | 0.73 | 147.2 |
| 闪电 | 回击次数 | R和CC中和电荷量(C) | 电荷源高度(km) | 地闪中和电荷量(C) |
| 222114* | 2 | 0.5—0.8,7.3* | 6.6—6.9,5.2* | 8.6 |
| 222142 | 5 | 0.9—5.0 | 5.6—9.4 | 11.1 |
| 222458* | 1 | 1.4,4.2* | 6.3,7.8* | 5.6 |
| 222701 | 8 | 0.2—2.2 | 6.6—10.3 | 9.7 |
| 222810* | 5 | 0.8—1.6,6.8* | 8.0—10.5,10.3* | 12.4 |
| 223222* | 4 | 0.7—1.8,1.5* | 6.9—8.3,9.2* | 6.1 |
| 223300 | 9 | 0.1—1.1 | 4.7—8.4 | 4.5 |
| 223336* | 5 | 0.2—1.3,0.4* | 5.0—6.8,4.3* | 3.8 |
| 223407 | 2 | 0.5—1.4 | 5.1—5.3 | 1.9 |
| 223607 | 2 | 0.9—1.6 | 3.9 | 2.5 |
| 223840* | 7 | 0.2—1.4,1.9* | 4.7—6.1,7.7* | 3.9 |
| 注: 带*的表示有连续电流发生的负地闪及连续电流的拟合结果。 | ||||
根据拟合结果,单次负地闪中和的总电荷量平均为6.4 C,最大一次为12.4 C,最小一次仅为1.4 C。首次回击中和的电荷量为0.6—5.0 C,平均1.6±1.2 C;继后回击为0.1—2.0 C,平均0.9±0.3 C,较Krehbiel 等(1979)、Krider(1989)和Thomson 等(1984)的拟合结果明显偏小,而与Baranski 等(2012)的部分结果接近。张其林等(2007)在人工触发闪电中得到10次回击中和的电荷量平均为0.5 C,共中和5.8 C,与本研究的结果一致。12次多回击地闪的回击数2—9次不等,有20%的继后回击中和电荷量大于首次回击,继后回击与首次回击中和电荷量的比例为0.1—6.1,平均为0.8±1.0。随着回击数目的增多,回击中和电荷量的变化可以归结为3类:(1)回击中和的电荷量随回击次数下降,占42%;(2)回击中和电荷量的大小随回击次序呈现起伏变化,占50%;(3)回击中和电荷量的大小基本一致,占8%。当回击次数小于4次,情况(1)所占比例较大(57%);当回击次数大于5次时,情况(2)居多,占60%。这3种规律涵盖了Qie 等(2000)和张廷龙等(2008)在中国内陆高原所得的不同结果,也与Thomson 等(1984)和Mir and a 等(2003)研究结果一致。对15次地闪的57次回击按照发生的回击次序求平均值发现,首次回击中和的电荷量平均为1.6 C,第2—第4次回击平均分别为0.8、0.9和0.9 C,第5次及之后发生的回击平均为0.6 C,回击中和电荷量的平均值随回击次序上升而下降。这可能与回击时间间隔、闪电通道的特性和放电通道顶端云中的电荷量与电荷分布有关。
图 4给出了多回击负地闪回击时间间隔和继后回击中和电荷量的分布。对88次负地闪共308次继后回击的统计表明,回击时间间隔平均为53±56 ms,分布在7—500 ms,与其他地区所得的结果在一定范围内一致(Miranda et al,2003;Thottappillil et al,1992;Thomson et al,1984;张伟伟等,2011;郄秀书等,2001)。回击间隔约有69%在0—50 ms,有 21%在50—100 ms,仅有10%为>100 ms。对拟合的12次多回击负地闪相邻回击时间间隔及对应继后回击中和电荷量进行对比,发现在0—50、50—100和>100 ms三个时间间隔段,对应继后回击中和电荷量分别分布在0.1—1.6、0.1—4.0和0.4—7.3 C。可以看出,在3个时间间隔段,继后回击中和电荷量的最小值没有明显差别,而随着时间间隔增长,继后回击中和电荷量的最大值由1.6上升至7.3 C。在相似的电学环境下,回击时间间隔增大可能意味着云中积累电荷的时间增长,从而促使直窜先导通道中沉积的电荷越多,为继后回击中和更多的电荷量提供了有利条件,因此,回击中和电荷量的上限有增大的趋势。
|
| 图 4 负地闪相邻回击时间间隔直方图及对应继后回击中和电荷量的分布 Fig. 4 Histograms of interstroke time intervals and the neutralized charge range of the corresponding subsequent return strokes in the 88 -CG flashes |
连续电流由于相对较长时间的持续电流流动,对地释放的电荷量相当可观,被认为是易于造成雷击火灾的主要放电过程。在大兴安岭林区2010年7月14日雷暴过程探测到的负地闪中,共发生90次连续电流过程,其中61%(62次)发生一次连续电流过程,13%(13次)发生两次以上连续电流过程。本研究拟合的15次负地闪中有8次发生一次连续电流过程,结果显示一次连续电流过程释放的电荷量为0.4—7.3 C,平均为3.8±2.4 C,与相应地闪单次回击中和电荷量之比为0.3—14.6,平均3.9±3.4倍。根据连续电流的持续时间,估计连续电流期间通道中的平均电流为4.9—50.8 A,平均值为25.3 A,明显小于Shindo等(1989)得到的30—200 A的结果。图 5给出了这8次闪电连续电流和所有回击中和的电荷量,可以发现:(1)雷暴成熟阶段前期发生的负地闪连续电流释放的电荷量大于成熟阶段后期;(2)回击次数小于2次的3次负地闪,连续电流释放的电荷量占总电荷量(回击与连续电流中和电荷量之和)的比例超过75%;回击大于2次的5次负地闪,连续电流释放电荷量的比例从11%到54%不等。
|
| 图 5 连续电流中和的电荷量与相应地闪回击中和的总电荷量 (柱状图上所标数字为该闪电的时刻、回击数目和连续电流占地闪中和总电荷量的比例) Fig. 5 Charge neutralized by CC and all return strokes corresponding to the 8 -CG flashes (The time,number of the return strokes and the percentage of the charge neutralized by CC to the total flash charges are given beside the bars) |
针对前文给出的2010年7月14日22时33分36秒负地闪的5站同步电场变化波形(图 2),图 6c给出了该地闪回击中和电荷源的三维分布。这次地闪5次回击中和的电荷源均位于中心测站科研站东北侧,水平距离平均为12.1 km,垂直高度平均为5.4 km,大致位于大齐站上方,与农科院站和啤酒厂站的距离相当,与科研站和砖厂站的距离较远;其中,R1、R2和R4中和的电荷源位于测站组成的多边形网络内部。拟合还显示,R2和R3回击中和的电荷量明显小于R1、R4和R5。根据图 2a给出的5站电场变化波形可以发现,一次回击或连续电流在各个测站产生的电场变化具有不同的幅值和波形特征,回击引起的电场变化幅值最大的为大齐站,之后依次为啤酒厂站、农科院站、科研站,最小的为砖厂站,且科研站和砖厂站慢电场变化上叠加着非常明显的辐射场分量,说明回击中和的电荷源距大齐站最近,距农科院站和砖厂站较远。此外,在5个测站的电场变化波形中R1、R4和R5回击产生的电场变化幅值均大于R2和R3回击,说明R1、R4和R5回击中和的电荷量较大,回击中和电荷源的拟合结果与电场变化波形的分析结果一致,说明电场变化波形的分析结果可以很好地验证拟合结果的正确性。
|
| 图 6 2010年7月14日4次负地闪回击中和电荷源的分布 (a. 22时27分01秒,b. 22时28分10秒,c.22时33分36秒,d. 22时38分40秒; 圆点大小代表电荷量,下同) Fig. 6 Distribution of the charge sources neutralized by return strokes in the 4 -CG flashes: (a)22:27: 01,(b)22:28:10,(c)22:33:36,(d)22:38:40 BT(The size of the balls shows the magnitude of the neutralized charge) |
为了更加深入地分析发生在雷暴成熟阶段的负地闪回击中和电荷源的分布特征,进一步给出了其他3次负地闪回击中和电荷源的三维分布。图 6a和b是发生在雷暴成熟阶段前期的22时27分01秒和22时28分10秒负地闪回击中和电荷源的三维分布。22时27分01秒闪电发生7次回击,回击中和的电荷源位于中心站的东北方,水平分布范围约为12.5 km×13 km,Baranski 等(2012)的拟合也显示多回击负地闪回击和连续电流中和电荷源的最大水平扩展范围达12.2 km,这与云闪和地闪放电期间云中闪电通道的水平延伸范围可从几千米到二十几千米有关(Thomas et al,2001; Maggio et al,2009)。R1—R4中和电荷源距地面的高度约9.0 km,R5—R6在8.0 km附近,R7放电位置最高达到10.3 km,电荷源的垂直分布范围约为3.7 km。22时28分10秒闪电5次回击水平分布范围约2.5 km×7 km,垂直扩展范围约3.2 km,略小于22时27分01秒闪电,R1、R3—R5中和电荷源的高度在8.0—9.5 km,R2中和电荷源的高度则达到10.5 km,与22时27分01秒闪电回击中和电荷源的最大高度接近。甚高频辐射源探测和三维闪电观测系统定位的研究也显示负地闪和云闪在云中的正极性通道可延伸至10 km左右的高度(Rison et al,1999; Thomas et al,2001; Maggio et al,2009; Baranski et al,2012)。曹东杰等(2012)在大兴安岭地区利用甚高频定位系统对闪电的观测结果显示,一次距离基站3—4 km的负地闪其闪电通道可发展至仰角45°—70°的高度,可能包含了本研究拟合得到的负电荷源最大高度10.5 km。
图 6c和d给出发生在雷暴成熟阶段后期的22时33分36秒和22时38分40秒负地闪回击中和电荷源的三维分布。两次闪电同样发生于探测网的东北方。22时33分36秒闪电发生5次回击,中和的电荷源水平分布范围约为3 km×2.5 km,距地面的高度在4.9—6.7 km,远低于22时27分01秒和22时28分10秒的闪电。22时38分40秒闪电回击达7次,中和的电荷源水平分布范围约为6 km×4 km,距地面的高度在4.0—6.0 km,同样低于发生在成熟阶段前期的两次多回击负地闪。综合15次负地闪回击中和电荷源的分布,一次地闪过程各次回击和连续电流中和电荷源水平分布范围为0.5—15.0 km,垂直分布范围为0.2—4.6 km,说明闪电通道同时在水平和垂直方向上发展,前者的延伸范围更大,这点与甚高频辐射源定位系统(Mardiana et al,2002)和光学资料(张义军等,2008)的观测一致。根据闪电通道发展时空结构特征的研究结果(Mardiana et al,2002;张义军等,2008),闪电起始于一定高度的电荷区,回击之前和回击间云中闪电通道水平发展的同时不断延伸至更高或更低的电荷区,并可能产生分叉,通道发展的复杂性可能导致回击中和的云中电荷源位置分散(Qie et al,2000; 张廷龙等,2008)。
一般认为连续电流过程对应闪电通道的水平发展,表 3给出了拟合的8次连续电流中和电荷源高度的变化情况,有5次连续电流中和电荷源的高度大于之前发生的回击。3种情况中电荷源相对高度差平均为1.4 km,一次负地闪回击和连续电流中和电荷源的垂直分布范围可达4.6 km,由此推测雷暴云中负电荷区厚度可达5 km,可以认为在连续电流期间负电荷近似沿水平方向移动。
| 高度大于之前所有回击 | 高度在各回击之间 | 低于之前所有回击 | |
| CC个数 | 5 | 2 | 1 |
| CC之前回击次数 | 5(1—7) | 5 | 2 |
| CC与回击中和电荷源相对高度差(km) | 1.4(0.2—3.0) | 1.4(0.7—2.5) | 1.5(1.4—1.7) |
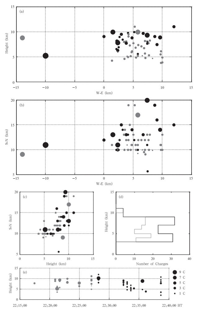
图 7给出了拟合的15次负地闪回击和连续电流中和电荷源的分布。根据图 7a,由中心测站往东约10 km,闪电中和的电荷源在距地面4.0—10.5 km大致平均分布,成熟阶段前期的电荷源高度略大于后期。图 7c表明,中心测站以北10—15 km,发生在成熟前期和后期的地闪回击和连续电流中和的电荷源高度均呈明显的上升趋势,从4.0 km上升至10.5 km,中心测站以北15—20 km,电荷源高度在10 km上下。图 7b给出了电荷源的水平分布,可以看出,中和的电荷源集中在测站网络的东北区域,两次连续电流中和的电荷源在该区域以西10—15 km,与雷达回波显示的雷暴主体沿东西向分布一致。根据15次闪电中和电荷源高度随时间的变化(图 7e),发现在雷暴成熟阶段前期(22时17—28分),负地闪中和电荷源高度主要在7.0—10.0 km,且有随着雷暴云发展有缓慢上升的趋势,少数放电位置在10.0 km以上。在雷暴成熟阶段后期(22时30—39分),负地闪中和电荷源的平均高度从9.0 km下降到6.0 km,单次回击中和的电荷量也较之前小了约一个量级。由雷暴成熟阶段前期过渡到后期,地闪放电中和的电荷量下降,中和的电荷源高度降低。根据距观测网络约70 km的嫩江探空站的探空资料,雷暴成熟阶段前期和后期电荷源所在高度对应的主要环境温度分别为-10—-20℃和-5—-25℃。由于探空站距离测站网络较远,温度廓线结果利用了该站7月每天18时探空资料的平均结果。图 7d是对电荷源高度的统计,15次负地闪回击和连续电流中和的电荷源分布在距地面4.0—6.0和8.0—10.0 km的比例较高,在雷暴成熟阶段前期负地闪放电位置较高,8.5—10.0 km高度上的电荷源比例较大;在成熟阶段后期,地闪放电位置高度显著下降,导致4.0—6.0 km高度上的电荷源比例上升。
|
| 图 7 22时17分01秒—22时41分15次负地闪57次回击和8次连续电流中和电荷源分布 (a—c.电荷源的水平和垂直分布,d.为电荷源高度直方图,e.电荷源高度随时间的变化,温度廓线结果利用了该站7月18时探空资料的平均结果。黑色球和灰色球分别代表发生在成熟阶段前期和后期地闪回击和连续电流中和的电荷源) Fig. 7 Distribution and magnitude of charge neutralized by the 57 return stokes and 8 CCs in the 15 -CG flashes from 22:17:01 to 22:41:00 BT:(a)—(c)distribution and magnitude of the charge sources,(d)histograms of the charge height distribution,and (e)height and magnitude of the negative charge sources at the different time(The clear air temperature at 18:00 is shown on the right. The black and gray balls present the charge neutralized by return strokes and continuing current processes during early- and late-mature stage,respectively) |
上述分析表明,在雷暴发展的不同阶段,与地闪放电有关的云中电荷分布存在一定程度的差异。而影响地闪放电位置的云中电荷分布则可能与雷暴云中温度的垂直分布、上升和下沉气流的位置和强弱,以及起电活动有关。首先,雷暴成熟阶段前期,云内上升气流旺盛,一方面使雷暴云体和云顶高度不断增高,云中负电荷区高度上升,闪电放电的位置升高;另一方面促进了云中粒子间的相互作用,起电机制活跃,能够产生较多、较强的闪电活动。雷暴成熟阶段后期,云内上升气流逐渐减弱,下沉气流和降水的拖拽作用使得由带电的水成物粒子形成的主负电荷区下沉,放电高度和强度下降。其次,在上升气流较强的位置,主负电荷区可能由于上升气流的抬升作用而升高,较强的上升气流可以促进云内的起电活动,使得负电荷分布范围较大,发生在上升气流区内的地闪回击和连续电流中和的电荷源位置分散。
观测表明,大多数雷暴云呈三极性电荷结构特征,其上部的正电荷区和中部的主负电荷区的分布决定了正地闪、负地闪、云闪和正极性袖珍云闪的放电高度。本研究的拟合结果显示负电荷源主要分布在4—10 km,少数分布在10 km以上,平均高度为7.2 km。而王东方等(2011)拟合得到的大兴安岭地区两次正地闪中和的电荷源高度约7 km,从发生时间上看这两次正地闪可能发生在雷暴逐渐消散的阶段,分析中也没有给出雷达反射率因子资料说明正地闪发生的位置,而本研究的拟合结果显示雷暴成熟阶段后期负地闪回击和连续电流中和的电荷源高度显著下降,负电荷源主要分布在4—6 km,因此,与王东方等(2011)的结论并不冲突。此外,被认为可能是由雷暴云内主负电荷区与上部的正电荷区放电产生的正极性双极性窄脉冲事件,祝宝友等(2011)给出在东北两次雷暴中其平均发生高度分别为9.6和7.4 km;而在上海地区的观测显示其发生高度平均为9.4 km,分布于7—12 km(祝宝友等,2007)。可能是与雷暴云上部正电荷区以上空间的放电有关的负极性双极性窄脉冲事件(祝宝友等,2011),Wang等(2012)在中国北部地区的观测得到其发生在7—16 km,祝宝友等(2011)在东北地区则得到有10例发生在14—16 km,1例位于6.4 km。Maggio等(2009)的电场探空资料也显示电场的负极大值高度在7 km上下,Stolzenburg等(1998)根据电场廓线得到在上升气流区5 km以上甚至8—9 km是负电荷区域,这些从一定程度上证明了本研究负电荷源拟合高度的合理性。6 负地闪回击和连续电流中和电荷源的位置与雷达回波的比较
通过将反演的闪电中和电荷源的位置与雷达回波数据进行对比,可以在一定程度上对基于非线性最小二乘法的闪电电荷源拟合方法的可行性和结果可靠性进行判断(Qie et al,2000;Baranski et al,2012)。
7月14日的雷暴系统生成于观测网络的西北部,发展过程中逐步向东偏南方向移动,移动速度约为50 km/h,大约在22时09分雷暴云主体进入探测网络范围,系统处于成熟期,沿东西方向有3个强对流中心,西侧和中间的发展旺盛。图 8给出了地闪回击和连续电流中和电荷源位置与相应时刻加格达奇市雷达PPI回波强度的叠加图。受雷达仰角的影响,电荷源所在位置一定高度以上属于雷达扫描的盲区,无法给出回波垂直结构分布,因而采用邻近区域的剖面数据进行分析。
|
| 图 8 15次负地闪回击和连续电流中和电荷源位置与雷达回波的关系 (a—e.5个时刻的雷达PPI组合反射率和负地闪回击和连续电流中和电荷源位置的叠加,图上是地闪的数量和发生的时间段,图中左上角是雷达图扫描时刻,蓝色的‘+’表示一定时段内发生的地闪回击和连续电流中和电荷源的位置,CC表示连续电流中和电荷源的位置。f.沿图d中线段AB的雷达回波强度垂直剖面) Fig. 8 Comparison between the neutralized charge sources and the radar echo: (a)—(e)the PPI radar echo obtained at the five different times,and (f)the RHI radar echo from point A to point B in(d)(The blue ‘+’ are negative charge neutralized by return strokes or CCs. The number of lightning flashes,time of events,and radar echo time are shown in every panel) |
图 8a—c给出雷暴成熟阶段前期22时17分01秒、22时22分16秒和22时27分31秒雷达PPI回波强度和前后2.5分钟内发生的负地闪回击和连续电流中和电荷源位置的叠加。雷达反射率因子显示云中对流活动旺盛,云体沿东西方向呈块状分布,主要由3个强对流中心组成,整体向东移动的过程中逐渐加强发生合并,这与前文提到的回击和连续电流中和的电荷源主要沿东西方向分布一致。叠加结果显示,负地闪回击中和的电荷源位于大于40 dBz的对流中心附近,2次连续电流中和的电荷源则位于35—40 dBz的强回波区域边缘(图 8c)。对不同强对流天气系统的研究也显示,闪电一般发生在反射率因子大于30 dBz的区域,40 dBz以上的强回波区闪电密集(Williams,1985; 冯桂力等,2006)。
图 8d和e为雷暴成熟阶段后期22时32分45秒和22时37分59秒雷达PPI回波强度与前后2.5分钟负地闪回击和连续电流中和电荷源位置的叠加。雷达反射率因子显示雷暴云呈线状连续分布。与22时32分45秒相比,22时37分59秒雷暴云回波强度大于45 dBz的面积减小,说明系统呈减弱趋势。叠加结果显示,负地闪回击中和的电荷源与40—50 dBz的强回波区重合,连续电流中和的电荷源位于距强对流中心5—10 km的雷暴中心后部和15—30 dBz的弱回波区。回击和连续电流中和的电荷源主要分布范围在10 km以内,平均高度为6.6 km,从AB 连线处的垂直剖面(图 8f)可以看出,对流核心区上方5.0—9.0 km高度的雷达回波强度在30—55 dBz,对流区域外围对应高度上雷达回波强度为20—40 dBz,且AB连线区域处的对流活动强度较上述闪电集中发生的区域偏弱,推测闪电回击和连续电流中和的电荷源处于回波强度小于35 dBz 的区域。实际上,Baranski等(2012)的结果显示回击可能发生在回波强度小于20 dBz的9 km高度上。
综上所述,发生在雷暴云成熟阶段的15次负地闪回击和连续电流中和的电荷源主要分布于40 dBz以上的强对流中心区,部分处于30—40 dBz的强回波区边缘或弱回波区,说明基于多站的闪电地面电场变化数据,利用非线性最小二乘法对回击和连续电流中和的电荷源进行拟合可以得到比较可靠的结果。7 结 论
利用2010年7月14日一次在大兴安岭林区进行的多站同步闪电地面电场变化观测的雷暴过程数据,采用非线性最小二乘法对雷暴成熟阶段15次负地闪所包含的57次回击和8次连续电流过程中和电荷源的位置和电荷量进行了拟合,探讨了雷暴云中负电荷的分布特征,得到如下结论:
(1)单次负地闪中和的总电荷量为1.4—12.4 C,平均为6.4 C。首次回击中和的电荷量为0.6—5.0 C,平均1.6±1.2 C;继后回击为0.1—2.0 C,平均0.9±0.3 C,有20%的继后回击中和电荷量大于首次回击,继后回击与首次回击中和电荷量的比为0.1—6.1,平均为0.8±1.0。在0—50、50—100和>100 ms三个回击时间间隔段,对应继后回击中和电荷量分别分布在0.1—1.6、0.1—4.0和0.4—7.3 C。
(2)一次连续电流过程释放的电荷量为0.4—7.3 C,平均3.8±2.4 C,与相应地闪单次回击中和电荷量之比为0.3—14.6,平均为3.9±3.4。根据连续电流的持续时间,估计连续电流期间通道中的平均电流为4.9—50.8 A,平均为25.3 A。
(3)在雷暴成熟阶段前期,负地闪回击和连续电流中和电荷源的高度有随着雷暴云发展缓慢上升的趋势,主要分布在7.0—10.0 km;雷暴成熟阶段后期,负地闪回击和连续电流中和电荷源的平均高度从9.0 km下降到6.0 km,单次回击中和的电荷量也较前期减少。负地闪中和电荷源所在的高度对应的环境温度为-10—-25℃。
(4)与雷达回波的叠加显示,负地闪回击和连续电流中和的电荷源主要位于大于40 dBz的强对流中心区,部分位于30—40 dBz的强回波区边缘或弱回波区,证明本研究利用非线性最小二乘法得到的拟合结果具有一定的可靠性。
本研究利用多站同步的闪电电场变化观测资料,对大兴安岭林区负地闪回击和连续电流中和的电荷源进行了拟合,详细研究了与负地闪放电有关的雷暴云中负电荷分布情况。由于该地区目前缺乏其他设备和手段对闪电活动特征的研究,且本研究分析时段雷暴过程正好处于天气雷达探测的盲区,因此,无法对定位结果做更精确的验证。下一步的工作将对大兴安岭林区更多雷暴过程及地闪个例进行综合研究,特别是正地闪,以期对这一地区雷暴云中的电荷分布有更深入的认识。
| 曹冬杰,郄秀书,段树等.2012.基于VHF辐射源短基线定位系统对闪电放电过程的研究.物理学报,61(6):069202 |
| 崔海华,郄秀书,张其林等.2009.甘肃中川地区云闪的多站同步观测及雷暴的等效电荷结构.高原气象,28(4):808-815 |
| 范祥鹏,张广庶,王彦辉等.2011.高原复杂地形条件下慢天线测量值的订正.高原气象,30(4):1046-1051 |
| 冯桂力,郄秀书,袁铁等.2006.一次冷涡天气系统中雹暴过程的地闪特征分析.气象学报,64(2):211-220 |
| 冯桂力,郄秀书,袁铁等.2007.雹暴的闪电活动特征与降水结构研究.中国科学(D辑),37(1):123-132 |
| 郄秀书,余晔,王怀斌等.2001.中国内陆高原地闪特征的统计分析.高原气象,20(4):395-401 |
| 郄秀书,吕达仁,陈洪滨等.2008.大气探测高技术及应用研究进展.大气科学,32(4):867-881 |
| 王道洪,郄秀书,郭昌明.2000.闪电与人工引雷.上海交通大学出版社,65pp |
| 王东方,宣越健,刘继明等.2011.大兴安岭林区地闪放电特征的观测与分析.大气科学,35(1):147-156 |
| 张义军,吕伟涛,郑栋等.2008.负地闪先导-回击过程的光学观测和分析.高电压技术,34(10):2022-2030 |
| 张其林,郄秀书,孔祥贞等.2007.人工引发闪电和自然闪电回击电流波形的对比分析.中国电机工程学报,27(6):69-73 |
| 张廷龙,郄秀书,言穆弘.2007.青藏高原雷暴的闪电特征及其成因探讨.高原气象,26(4):774-782 |
| 张廷龙,郄秀书,袁铁等.2008.中国内陆高原地区典型雷暴过程的地闪特征及电荷结构反演.大气科学,32(5):1221-1227 |
| 张伟伟,田杨萌,王彩霞等.2011.北京地区的雷电物理特征.北京信息科技大学学报(自然科学版),26(3):53-57 |
| 赵阳,张义军,董万胜等.2004.青藏高原那曲地区雷电特征初步分析.地球物理学报,47(3):405-409 |
| 祝宝友,陶善昌,谭涌波.2007.伴随超强VHF辐射的闪电双极性窄脉冲初步观测.气象学报,65(1):124-130 |
| 祝宝友,吕凡超,马明等.2011.东北地区雷暴中NBE活动特征的初步观测结果.第28届中国气象学会年会会议论文 |
| Baranski P, Loboda M, Wiszniowski J,et al. 2012. Evaluation of multiple ground hash charge structure Irom electric held measurements using the local lightning detection network in the region of Warsaw. Atmos Res, 117: 99-110 |
| Brook M,Nakano M, Krehbiel P, et al. 1982. The electrical structure of the Hokuriku winter thunderstorms. J Geophys Res 87(C2):1207-1215 |
| Krehbiel P R, Brook M, McCrory R A. 1979. An analysis of the charge structure of lightning discharges to ground. J Ueophys Res, 84(C5):2432-2456 |
| Krehbiel P R. 1981. An analysis of the electric held change produced by lightning[D]. Univ, of Manchester Inst, of Sci, and Technol.,Manchester, England Krider E P. 1989. Electric held changes and cloud electrical structure. J Ueophys Res, 94(D11):13,145-13,149 |
| Liu X,Krehbiel P R. 1985. The initial streamer of intracloud lighting hashes. J Ueophys Res, 90 (D4):6211-6218 |
| Maggio C R, Marshall T C,Stolzenburg M. 2009. Estimations of charge transferred and energy released by lightning hashes. J Geophys Res, 114(D14203),doi: 10. 1029/2008JD011506,2009 |
| Mardiana R, Kawasaki, Morimoto Z I T. 2002. Three-dimensional lightning observations of cloud-to-ground hashes using broad-band interferometers. J Atmos Sol Terr Phys, 64(1):91-103 |
| Miranda F J De, Pinto O,Saba M M F. 2003. A study of the time interval between return strokes and K-changes of negative cloud-to-ground lightning hashes in Brazil. J Atmos Sol Terr Phys, 65(3):293-297 |
| Qie X, Yu Y, Liu X, et al. 2000. Charge analysis on lightning discharges to the ground in Chinese Inland Plateau(Close to Tibet). Ann Ueophys, 18; 1340-1348 |
| Qie X, Zhang T, Chen C,et al. 2005. The lower positive charge center and its ellect on lightning discharges on the Tibetan Plateau. Ueophys Res Lett, 32(L05814),doi: 10. 1029/2004GL022162 |
| Rison W, Thomas R J,Krehbiel P R, et al. 1999. A GPS-based three-dimensional lightning mapping system: Initial observations in central New Mexico. Ueophys Res Lett, 26(23):3573-3576 |
| Shindo T, Uman M A. 1989. Continuing current in negative cloud-to-ground lightning. J Ueophys Res, 94(D4) ; 5189-5198 |
| Stolzenburg M, Rust W D, Marshall TC.1998. Electrical structure in thunderstorm connective regions: 3. Synthesis. J Ueophys Res,103:14097-14108 |
| Thomas R J,Krehbiel P R, Rison W,et al. 2001. Observations of VHF source powers radiated by lightning. Ueophys Res Lett,28(1):143-146 |
| Thomson E M,Ualib M A, Uman M A, et al. 1984. Some features of stroke occurrence in Florida lightning hashes. Ueophys Res, 89(D3):4910-4916 |
| Thottappillil R, Rakov V A, Uman M A, et al. 1992. Lightning subsequent-stroke electric held peak greater than the first stroke peak and multiple ground termination. J Ueophys Res, 97(D7):7503-7509 |
| Wang Y, Zhang U, Qie X, et al. 2012. Characteristics of compact intracloud discharges observed in a severe thunderstorm in northern part of China. J Atmos Sol Terr Phys, 84-85, 7-14 |
| Williams E R. 1985. Large-scale charge separation in thunder-clouds. J Ueophys Res, 90(D4):6013-6025 |
2013, Vol. 71

