磺酰脲类除草剂烟嘧磺隆是一种在玉米田广泛使用的高效低毒除草剂[1],该类药剂水溶性极强,易进入土壤,造成水体污染,破坏生态环境,对土壤及地下水产生毒性,影响人类健康[2]。目前,烟嘧磺隆的微生物降解一直是研究人员关注的焦点[3]。齐萌等[4]从烟嘧磺隆生产厂污水处理池中分离到1株可高效降解烟嘧磺隆的枯草芽孢杆菌Bacillus subtilis,并检测到2种降解产物。Zhang等[5]分离得到1株可高效降解烟嘧磺隆的细菌粘质沙雷氏菌Serratia marcescens N80,并确定其对烟嘧磺隆的降解是通过破坏磺酰脲桥实现的。周珊等[6]研究发现,LAM-WHM-ZC (Oceanisphaera psychrotolerans) 菌株对烟嘧磺隆的降解效率最高,并检测到8种降解产物。赵卫松[7]检测到了粪产碱杆菌Alcaligenes faecalis ZWS11菌株对烟嘧磺隆的4个降解产物,其中产物4,6-二羟基嘧啶为首次报道。
当前,关于磺酰脲类除草剂对非靶标生物毒性的研究主要集中在除草剂及代谢产物对鱼类等水生生物的毒性方面。Miron等[8]的研究表明,鱼脑组织中乙酰胆碱酶的活性会明显受到甲磺隆的影响,且随着甲磺隆浓度增高还可能影响水产品质量。Cedergreen等[9]和Wendt-Rasch等[10]研究发现,水环境中的甲磺隆可能会对水生生态系统结构的稳定性产生严重影响。刘小宁[11]的研究表明,低浓度烟嘧磺隆即能明显降低斑马鱼胚胎的孵化率,具有潜在生物学毒性。张洪等[12]测得氯吡嘧磺隆对斑马鱼的96 h-LC50值为21.7 mg/L,毒性等级为“低毒”。姜罡丞等[13]测得苄嘧磺隆对斑马鱼的24 和48 h的LC50值分别为0.698和0.637 mg/L。由此可见,磺酰脲类除草剂对生态环境的污染不容忽视。
目前,有关烟嘧磺隆降解产物对水生生物的毒性还鲜有报道。为此,本研究采用课题组前期筛选得到的1株对烟嘧磺隆具有较强降解作用的蜡状芽孢杆菌Bacillus cereus菌株 (未报道),测定了其对烟嘧磺隆的降解产物,并就主要降解产物及母体烟嘧磺隆对水生生物的毒性进行了研究比较,以期为烟嘧磺隆污染的生物修复及了解其降解产物的毒性提供理论依据。
1 材料与方法 1.1 试验材料 1.1.1 菌株蜡状芽孢杆菌Bacillus cereus菌株,由河北农业大学植物保护学院农药实验室分离、筛选并保存,采用LB培养基 (10 g蛋白胨、10 g NaCl、5 g酵母粉和1 L蒸馏水) 培养。
1.1.2 供试环境生物及培养斑马鱼Brachydanio rerio购自上海栗语实业有限公司,驯养8 d后,选择健康无病、大小一致、平均体长2.70 cm的幼鱼供试;于试验前24 h停止喂食。驯养条件:用水均为曝气24 h以上的自来水,水温22.7~23.3 ℃,硬度为177 mg/L,pH 7.29~7.51,溶解氧为6.60~7.20 mg/L,平均承载量 (按鱼的质量计) 为0.67 g/L;自然光照;半静态培养方式。
斜生栅列藻Scenedesmus obliquus Turp. Kuetzing引自中国科学院水生生物研究所,用BG11培养基[14]培养,每隔96 h接种1次,转接3次后基本达到同步生长阶段即可进行试验。培养条件:水温22.9~23.3 ℃;pH 6.75~7.07;连续均匀光照,照度6 158~6 188 lx。
大型溞Daphnia magna引自广东省医学试验动物中心,于水温20.7~21.0 ℃、pH 6.78~7.00、光/暗比16 h : 8 h条件下饲养,用水均为曝气72 h以上的自来水。选择在良好营养条件下培养3代以上、健康、处于孤雌生殖状态、出生24 h内且未表现任何受胁迫现象的非头胎溞供试。
1.1.3 药剂及主要仪器97.5%烟嘧磺隆 (nicosulfuron) 标准品 (山东京博农化有限公司);10%烟嘧磺隆可分散油悬浮剂 (OD) (广东省佛山市盈辉作物科学有限公司);98.32%的2-氨基-4,6-二甲氧基嘧啶标准品 (上海景颜化工科技有限公司)。
Agilent 1200高效液相色谱仪 (HPLC,美国安捷伦公司);Waters液-质联用仪[UPLC-TQD,Waters科技 (上海) 有限公司];UV-1800紫外分光光度计 (日本岛津公司) 等。
1.2 试验方法 1.2.1 蜡状芽孢杆菌对烟嘧磺隆的降解及降解产物鉴定将蜡状芽孢杆菌接种到LB培养基中,置于30 ℃、180 r/min摇床培养3 d后,通过紫外分光光度计测定其孢子浓度 (CFU/mL)。将孢子悬浮液稀释至2.5 × 108 CFU/mL,备用。以在100 mL LB培养基中同时加入100 mg/L烟嘧磺隆和1.3 × 106 CFU/mL蜡状芽孢杆菌孢子悬浮液为处理组,仅加入100 mg/L烟嘧磺隆或仅加入1.3 × 106 CFU/mL蜡状芽孢杆菌为对照组。将对照组和处理组同时置于30 ℃、180 r/min摇床培养7 d。每处理重复3次。
将上述各培养液抽滤,分别取100 mL用等体积的二氯甲烷萃取3次,旋转蒸发至近干,用甲醇定容至5 mL,过0.22 μm有机滤膜,于4 ℃保存,待用。每处理重复3次。通过UPLC-TQD分析推断其主要成分及可能的降解途径。
UPLC-TQD条件:流动相A为超纯水,B为乙腈。梯度洗脱程序:0~2 min,10%~20% B;> 2~5 min,20%~80% B;> 5~7 min,80%~10% B;> 7~10 min,10% B。质谱扫描模式为全扫描(m/z 50~600),正离子模式,喷雾电压3 kV。
1.2.2 烟嘧磺隆及降解产物分析方法的建立 1.2.2.1 HPLC检测条件烟嘧磺隆检测条件:流动相为V乙腈 : V超纯水 : V冰乙酸 = 30 : 70 : 0.05,流速1.0 mL/min,吸光度240 nm,柱温25 ℃,进样量20μL。保留时间为6.0 min左右。主要降解产物检测条件:流动相V甲醇 : V超纯水 : V磷酸 = 20 : 80 : 0.1,流速0.5 mL/min,吸光度270 nm,柱温25 ℃,进样量10 µL。保留时间为5.3 min左右。在相应的检测条件下,待仪器基线稳定约10 min后进行检测。
1.2.2.2 标准曲线绘制取相应质量的烟嘧磺隆和2-氨基-4,6-二甲氧基嘧啶标准品,用超纯水等比稀释成7个系列质量浓度 (烟嘧磺隆分别为0.78、1.56、1.13、6.25、12.5、25.0及50.0 mg/L,2-氨基-4,6-二甲氧基嘧啶分别为3.06、6.13、12.5、25.0、50.0、100.0及200.0 mg/L) 标准工作溶液,经0.22 μm滤膜过滤后,待HPLC检测。每浓度设3个重复,以进样质量浓度为横坐标、相应峰面积为纵坐标制作标准曲线。
1.2.2.3 添加回收率测定将烟嘧磺隆和2-氨基-4,6-二甲氧基嘧啶标准工作溶液分别添加到曝气水和BG11培养基中,并分别设3个添加水平,每个水平重复5次。同1.2.2.1节条件进行HPLC分析,计算添加回收率和相对标准偏差。
1.2.2.4 实际浓度测定由于随试验进行药剂浓度会发生一定变化,故本研究通过HPLC分别对烟嘧磺隆及主要降解产物在水中的实际浓度进行了检测。其中,斑马鱼急性毒性试验分别检测0、24、48、72及96 h换液前水样中药剂的浓度;藻类生长抑制试验分别检测0和72 h时的浓度;大型溞活动抑制试验分别检测0 和48 h时的浓度。同种生物同一浓度每重复各取5.00 mL,混合后取1.00 mL过 0.45 μm滤膜,待HPLC检测,重复测定3次。记录峰面积,按公式 (1) 计算溶液中有效成分的质量浓度 (ρ,mg/L)。
| $\rho = \left( {A - b} \right)/k$ |
式中:A为待测样品有效成分峰面积;k为回归方程斜率;b为回归方程截距。
1.2.3 急性毒性测定方法根据“化学农药环境安全评价试验准则”第12~14部分[15-17],分别测定烟嘧磺隆及主要降解产物对斑马鱼、大型溞和斜生栅列藻的急性毒性。
1.2.3.1 对斑马鱼的毒性采用半静态法[15]测定。根据预试验结果,烟嘧磺隆有效成分理论质量浓度分别设为13.66、15.03、16.53、18.18及20.00 mg/L共5组,以曝气相同时间的自来水为空白对照 (CK),每组3次重复,共18个处理;降解产物理论质量浓度设为100.0 mg/L,同样设空白对照组,每组6次重复,共12个处理。试验期间条件均与培养条件一致,每24 h更换1次供试药液,以保证药剂浓度不低于初始浓度的80%。
分别于试验开始6 h内及24、48、72和96 h观察并记录斑马鱼的中毒症状及死亡数。
1.2.3.2 对藻类生长的抑制作用参照国家标准试验方法[16]进行。根据预试验结果,烟嘧磺隆有效成分理论质量浓度分别设为2.86、5.14、9.26、16.67和30.00 mg/L共5组;降解产物分别设29.93、50.89、86.51、147.1和250.0 mg/L 5组。同时设空白对照组 (CK),每组3次重复。处理组分别移取50 mL藻液和50 mL各浓度药液于三角瓶中,混匀;空白对照组移取50 mL藻液和50 mL BG11培养基于三角瓶中,混匀,同1.1.2节条件下培养。
分别于试验开始后24、48和72 h观察计数。在显微镜下用血球计数板准确统计藻类细胞个数,同一处理计数2次,如果2次结果相差大于15%,则需重新计数。
1.2.3.3 对大型溞活动的抑制作用参照国家标准试验方法[17]进行。根据预试验结果,烟嘧磺隆有效成分理论质量浓度分别设为3.81、6.86、12.35、22.22及40.00 mg/L共5组;降解产物分别设为18.31、29.30、46.88、75.00及120.0 mg/L 5组。以曝气相同时间的自来水为空白对照,每组3个重复。处理组分别在 100 mL烧杯中加入50 mL各浓度药液,空白对照组加入50 mL曝气自来水,分别投放大型溞幼溞10只,置于培养箱中,同1.1.2节条件培养。分别于试验开始后24和48 h定时观察受抑制大型溞数和中毒症状。
1.3 数据分析处理通过SPSS 22.0软件计算烟嘧磺隆及降解产物对水生生物毒性试验结果的毒力回归方程、LC50值 (ErC50值、EC50值) 和95%置信限,并依据“化学农药环境安全评价试验准则”[15-17]中标准判定其毒性等级。
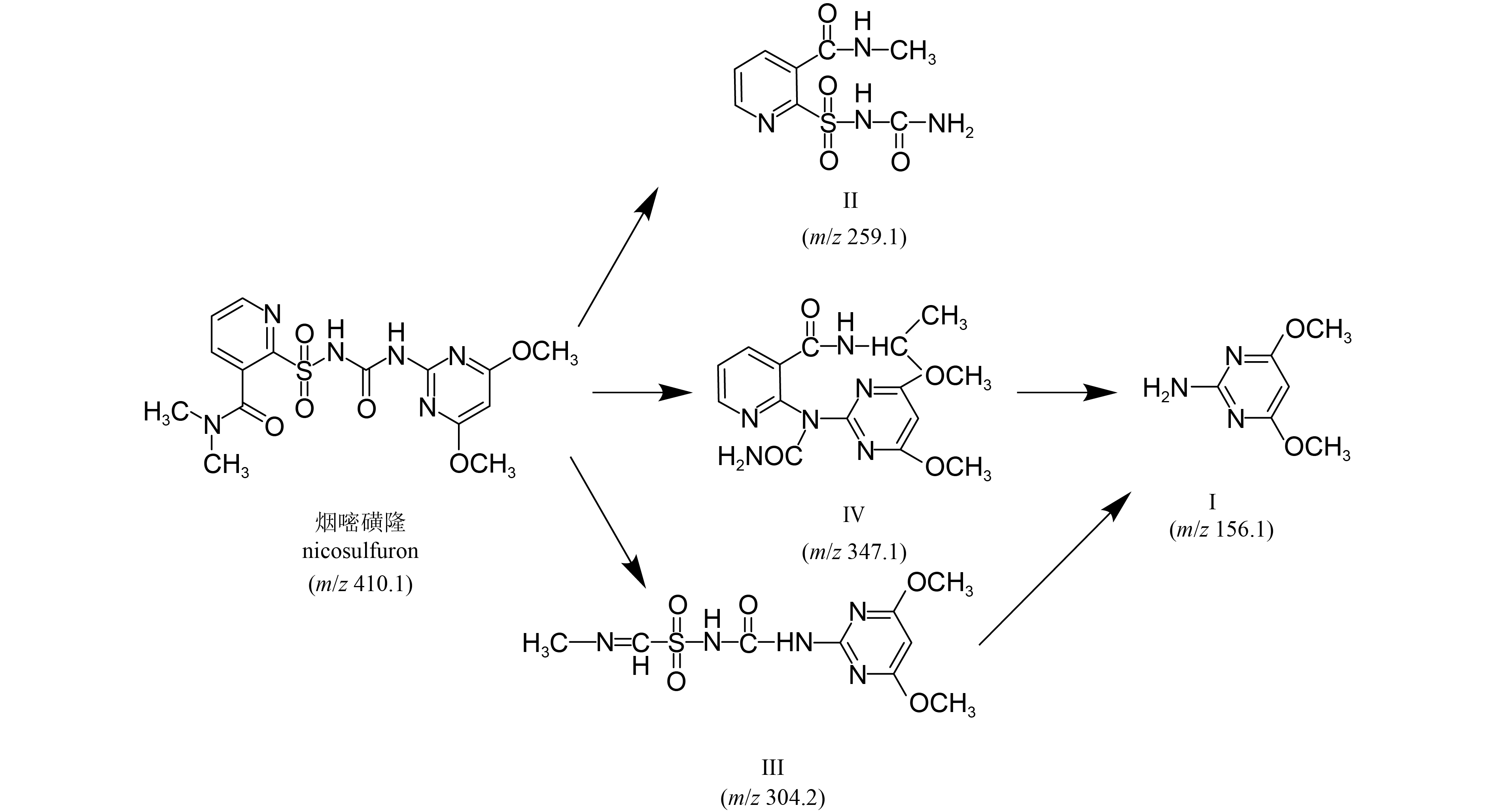
2 结果与分析 2.1 蜡状芽孢杆菌降解烟嘧磺隆的主要产物分析从总粒子流图 (图1) 中可看出,烟嘧磺隆经蜡状芽孢杆菌降解后产生了多个成分,对这些成分进行分析,共得到4个主要降解产物,其质谱图见图2。其中,质荷比 (m/z) 为156.1和259.1的碎片分别来源于磺酰脲桥上C—N键的断裂,同时,m/z 259.1的片段还丢失了吡啶环上的甲基。根据烟嘧磺隆的化学结构特性和已报道的水解途径[18-23],对检测到的各片段进行推导和分析,鉴定得出:m/z 156.1和259.1的碎片分别为2-氨基-4,6-二甲氧基嘧啶 (Ⅰ) 和2-[N-(氨基甲基) 氨磺酰基]-N,N-二甲基烟酰胺 (Ⅱ);m/z 347.1的碎片来源于磺酰脲桥上C—S键的断裂,确定其为2-[1-(4,6-二甲氧基嘧啶-2-基) 脲基]-N,N-二甲基烟酰胺 (Ⅲ);m/z 304.2的碎片来源于吡啶环的断裂,鉴定其为N-(4,6-二甲氧基嘧啶-2-基氨基甲酰基)-1-(甲基亚氨基) 甲磺酰胺 (Ⅳ)。所得结果与文献报道[18-23]一致,其中,m/z 347.1的片段与世界粮农组织报道的烟嘧磺隆水解产物一致[24]。
根据降解产物,推测蜡状芽孢杆菌对烟嘧磺隆的降解可能是通过使其磺酰脲桥上C—N键、C—S键以及吡啶环的断裂而实现的。其可能的降解途径见图3。
|
图 1 HPLC-MS检测烟嘧磺隆降解产物总粒子流图 Fig. 1 Total ion chromatography of degradation products of nicosulfuron detected by HPLC-MS |
|
图 2 烟嘧磺隆降解产物质谱图 Fig. 2 Mass spectrum of degradation products of nicosulfuron |
|
图 3 蜡状芽孢杆菌降解烟嘧磺隆的可能途径 Fig. 3 Possible degradation pathways of nicosulfuron mediated by B. cereus |
就蜡状芽孢杆菌对烟嘧磺隆的降解产物进行HPLC分析,结果见图4A。其中,峰面积最大峰的保留时间为2.55 min,与2-氨基-4,6-二甲氧基嘧啶标样在相同液相条件下的保留时间 (图4B) 基本一致,表明2-氨基-4,6-二甲氧基嘧啶 (Ⅰ) 是蜡状芽孢杆菌降解烟嘧磺隆7 d后最主要的降解产物,故选取2-氨基-4,6-二甲氧基嘧啶作为主要降解产物进行下一步毒性测定。
|
A:培养7 d的培养液;B:2-氨基-4,6-二甲氧基嘧啶标样。 A: culture medium after 7 d; B: the standard sample of 2-amino-4,6-dimethoxy pyrimidine. 图 4 蜡状芽孢杆菌降解烟嘧磺隆所得产物的高效液相色谱图 Fig. 4 High-performance liquid chromatogram of the degradation product of nicosulfuron by B. cereus |
2.2 分析方法 2.2.1 标准曲线及检出限
结果表明:在进样质量浓度范围内,烟嘧磺隆及主要降解产物2-氨基-4,6-二甲氧基嘧啶的峰面积与其质量浓度之间呈良好线性关系,标准曲线线性回归方程分别为Y = 42.79x + 5.425和Y = 66.06x + 31.74,相关系数 (r) 分别为0.997 3和0.999 9。标准曲线线性范围分别为0.78~50.0和3.06~200.0 mg/L。
2.2.2 添加回收率在试验添加水平下,烟嘧磺隆及主要降解产物标准溶液在各培养液及曝气水中的添加回收率均在80%~120%之间,相对标准偏差在1%~5%之间。试验水样中待测物的所有实测浓度均在标准曲线线性范围内,且所有实测浓度均未超过添加回收试验的最高浓度且不低于最低浓度 (表1)。表明该方法符合真实浓度检测的标准。
|
|
表 1 烟嘧磺隆及主要降解产物在3种水生生物培养体系中的添加回收率 Table 1 Recovery rates of nicosulfuron and main degradation products in the culture medium of three aquatic organisms |
2.3 烟嘧磺隆和2-氨基-4,6-二甲氧基嘧啶的环境毒性 2.3.1 对斑马鱼的毒性
通过HPLC检测,24、48、72及96 h时各处理中药剂的平均实测质量浓度见表2,以实测质量浓度计算得烟嘧磺隆及2-氨基-4,6-二甲氧基嘧啶对斑马鱼的急性毒性 (LC50值,见表3)。根据国家标准试验方法的毒性分级标准[15],烟嘧磺隆和降解产物2-氨基-4,6-二甲氧基嘧啶对斑马鱼的急性毒性均为“低毒”,且降解产物的毒性明显低于母体。
|
|
表 2 斑马鱼急性毒性试验各处理水样中供试化合物的实测质量浓度 Table 2 Measured concentration of the tested compounds in each treated water samples in the acute toxicity test of B. rerio |
|
|
表 3 烟嘧磺隆及主要降解产物对斑马鱼的急性毒性 Table 3 Acute toxicity results of nicosulfuron and main degradation product to B. rerio |
2.3.2 对藻类生长的抑制作用
中毒症状观察发现,烟嘧磺隆和2-氨基-4,6-二甲氧基嘧啶处理组斜生栅列藻生长情况与对照组无明显差异,细胞形态也未发生明显变化。
HPLC检测结果表明,对应设置的不同理论浓度,0和48 h时试验水样中烟嘧磺隆的平均实测质量浓度分别为2.981、6.043、10.78、17.26及31.27 mg/L,2-氨基-4,6-二甲氧基嘧啶的实测质量浓度分别为31.22、51.63、87.14、146.3及249.6 mg/L。
以实测质量浓度计算,烟嘧磺隆及降解产物2-氨基-4,6-二甲氧基嘧啶对藻类生长的抑制作用ErC50值见表4。根据毒性分级标准[16],烟嘧磺隆和降解产物对藻类的急性毒性等级均为“低毒”,且降解产物的毒性明显低于烟嘧磺隆,两者相差20倍左右。
|
|
表 4 烟嘧磺隆及主要降解产物对斜生栅列藻生长的抑制作用 Table 4 Inhibition of nicosulfuron and main degradation product to S. obliquus |
2.3.3 对大型溞活动的抑制作用
中毒症状观察发现:烟嘧磺隆处理组大型溞游动缓慢,对外界轻微刺激反应不如对照组激烈,受抑制较重者沉于烧杯底部或浮于液面不能游动,仅触角和足轻微颤动;高浓度处理组大型溞尾部附着有类似白色排泄物的物质。经2-氨基-4,6-二甲氧基嘧啶处理后,较高浓度组大型溞游动减缓,或沉于杯底不游动,仅触角轻微颤动;其余处理组游动也受到抑制。随着处理时间延长,烟嘧磺隆及降解产物处理组均出现了死亡个体。
HPLC检测结果表明,对应设置的不同理论浓度,48 h时烟嘧磺隆的实测质量浓度分别为3.804、6.313、12.17、21.89及40.83 mg/L,2-氨基-4,6-二甲氧基嘧啶分别为19.01、29.21、46.96、75.85及120.0 mg/L。
以实测质量浓度计算,烟嘧磺隆及降解产物2-氨基-4,6-二甲氧基嘧啶对大型溞活动的抑制作用EC50值见表5。根据毒性分级标准[17],烟嘧磺隆的毒性等级为“中毒”,降解产物为“低毒”,且降解产物毒性明显低于烟嘧磺隆,两者相差6倍以上。
|
|
表 5 烟嘧磺隆及主要降解产物对大型溞活动的抑制作用 Table 5 Inhibition of nicosulfuron and main degradation product to D. magna |
3 结论与讨论
已有研究表明,不同种类微生物、单一微生物以及复合微生物对烟嘧磺隆的降解途径均存在差异,并导致所产生的中间产物有所不同[3]。目前共报道了14种烟嘧磺隆的微生物降解产物,其中N,N-二甲基-2-氨基磺酰基-3-吡啶甲酰胺和2-氨基-4,6-二甲氧基嘧啶为主要产物[18-23]。本研究共检测到蜡状芽孢菌对烟嘧磺隆的4种降解产物,与文献报道[6, 20]相符。由降解产物推测,蜡状芽孢杆菌对烟嘧磺隆的降解可能是通过使其磺酰脲桥上C—N键、C—S键以及吡啶环的断裂而实现的。代鹏飞[23]的研究表明,假单胞菌属 (P) 菌株对烟嘧磺隆的降解主要是使其磺酰脲桥断裂,生成2种降解产物:2-氨基-4,6二甲氧基嘧啶和3-(二甲基烟酰胺) 吡啶-2-基磺酰胺基甲酸。本研究与之有所不同。综上所述,有关烟嘧磺隆微生物降解途径的研究尚不彻底,也不全面,有关多菌株共同培养等方向的研究值得深入开展。
目前有关烟嘧磺隆降解及其毒性的研究报道较多,但对其降解产物毒性研究较少。Carles等[25]从烟嘧磺隆处理过的农业土壤中分离得到1株荧光假单胞菌SG-1,发现该菌株能有效降解烟嘧磺隆,共鉴定出4种降解产物,其中2-氨基-4,6-二甲氧基嘧啶为主要产物,并首次研究了降解产物的毒性,他们采用Microtox®仪器,测得2-氨基-4,6-二甲氧基嘧啶对水体中荧光细菌——费希尔弧菌的毒性比母体烟嘧磺隆提高了约20倍。但本研究采用“化学农药环境安全评价试验准则”方法,测得烟嘧磺隆对斑马鱼和斜生栅列藻的急性毒性等级均为“低毒”,对大型溞为“中毒”,而其主要降解产物2-氨基-4,6-二甲氧基嘧啶对所测3种水生生物的毒性均为“低毒”,且毒性均远低于母体烟嘧磺隆,与Carles等的结果不同,其原因还有待进一步研究探讨。
本研究表明,烟嘧磺隆经蜡状芽孢杆菌降解后,其主要降解产物对3种水生生物的毒性均低于烟嘧磺隆本身,未出现毒性增强现象。但关于烟嘧磺隆其余降解产物对其他水生生物的毒性等仍需进一步研究。
| [1] |
ENCISO J, NELSON S D, PEREA H, et al. Impact of residue management and subsurface drainage on non-point source pollution in the Arroyo Colorado[J]. SustainWater Qual Ecol, 2014, 3-4: 25-32. DOI:10.1016/j.swaqe.2014.11.002 |
| [2] |
李佳蔚, 黄会, 韩典峰, 等. 磺酰脲类除草剂毒性及多残留检测技术研究进展[J]. 食品安全质量检测学报, 2017, 8(2): 367-374. LI J W, HUANG H, HAN D F, et al. Research progress of the toxicity and multi-residue detection technology of sulfonylurea herbicides[J]. J Food Saf Qual, 2017, 8(2): 367-374. |
| [3] |
赵卫松, 邱立红, 郭庆港, 等. 烟嘧磺隆的微生物降解研究进展[J]. 农药学学报, 2016, 18(6): 676-685. ZHAO W S, QIU L H, GUO Q G, et al. Research progress on microbial degradation of nicosulfuron[J]. Chin J Pestic Sci, 2016, 18(6): 676-685. |
| [4] |
齐萌, 赵斌, 董金皋, 等. 烟嘧磺隆降解菌株的筛选及其降解特性初探[J]. 农药学学报, 2014, 16(3): 330-336. QI M, ZHAO B, DONG J G, et al. Isolation, identification and characterization of an Bacillus subtilis strain capable of degrading nicosulfuron [J]. Chin J Pestic Sci, 2014, 16(3): 330-336. DOI:10.3969/j.issn.1008-7303.2014.03.13 |
| [5] |
ZHANG H, MU W H, HOU Z G, et al. Biodegradation of nicosulfuron by the bacterium Serratia marcescens N80
[J]. J Environ Sci Health Part B, 2012, 47(3): 153-160. DOI:10.1080/03601234.2012.632249 |
| [6] |
周珊. 烟嘧磺隆降解菌的分离鉴定及降解特性研究[D]. 武汉: 华中农业大学, 2015: 57-59. ZHOU S. Isolation, classification and degradation characterisics study of nicosulfuron-degrading strain[D]. Wuhan: Huazhong Agricultural University, 2015, 57-59. |
| [7] |
赵卫松. 烟嘧磺隆和噻吩磺隆微生物降解研究[D]. 北京: 中国农业大学, 2015: 49-51. ZHAO W S. Studies on biodegradation of nicosulfuron and thifensulfuron-methyl by microorganism[D]. Beijing: China Agricultural University, 2015: 49-51. |
| [8] |
DOS SANTOS MIRON D, CRESTANI M, ROSASHETTINGERM, et al. Effects of the herbicides clomazone, quinclorac, and metsulfuron methyl on acetylcholinesterase activity in the silver catfish (Rhamdia quelen) (Heptapteridae)
[J]. Ecotoxicol Environ Saf, 2005, 61(3): 398-403. DOI:10.1016/j.ecoenv.2004.12.019 |
| [9] |
CEDERGREEN N, STREIBIG J C, SPLIID N H. Sensitivity of aquatic plants to the herbicide metsulfuron-methyl[J]. Ecotoxicol Environ Saf, 2004, 57(2): 153-161. DOI:10.1016/S0147-6513(02)00145-8 |
| [10] |
WENDT-RASCH L, PIRZADEH P, WOIN P. Effects of metsulfuron methyl and cypermethrin exposure on freshwater model ecosystems[J]. Aquat Toxicol, 2003, 63(3): 243-256. DOI:10.1016/S0166-445X(02)00183-2 |
| [11] |
刘小宁. 烟嘧磺隆对斑马鱼胚胎孵化的影响[J]. 渭南师范学院学报, 2013, 28(12): 130-132. LIU X N. Influence of nicosulfuron on the hatching of zebrafish embryos[J]. J Weinan Norm Univ, 2013, 28(12): 130-132. DOI:10.3969/j.issn.1009-5128.2013.12.030 |
| [12] |
张洪, 何建昇, 康乐, 等. 氯吡嘧磺隆对斑马鱼肝脏抗氧化酶·ATP 酶和 AChE 酶活性的影响[J]. 安徽农业科学, 2016, 44(11): 113-114. ZHANG H, HE J S, KANG L, et al. Effect of halosulfuron-methy on the antioxidant enzyme, ATPase and AChE activities of zebra fish liver[J]. J Anhui Agri Sci, 2016, 44(11): 113-114. DOI:10.3969/j.issn.0517-6611.2016.11.038 |
| [13] |
姜罡丞. 苄嘧磺隆对斑马鱼的急性毒性和遗传毒性研究[J]. 安徽农业科学, 2009, 37(32): 15879-15881. JIANG G C. Study on the acute toxicity and genetics toxicity of bensulfuron-methyl on Danio rerio [J]. J Anhui Agri Sci, 2009, 37(32): 15879-15881. |
| [14] |
李刚. 厌氧发酵液培养链带藻高生物量累积及热裂解产物研究[D]. 北京: 中国农业大学, 2014: 14-15. LI G. High biomass accumulation and pyrolysis products of Desmodesmus sp. cultivation in anaerobic digested wastewater[D]. Beijing: China Agricultural University, 2014: 14-15. |
| [15] |
化学农药环境安全评价试验准则 第 12 部分: 鱼类急性毒性试验: GB/T 31270.12−2014[S]. 北京: 中国标准出版社, 2015. Test guidelines on environmental safety assessment for chemicalpesticides—Part 12: fishacute toxicity test: GB/T 31270.12−2014[S]. Beijing: Standards Press of China, 2015. |
| [16] |
化学农药环境安全评价试验准则 第 14 部分: 藻类生长抑制试验: GB/T 31270.14−2014[S]. 北京: 中国标准出版社, 2015. Test guidelines on environmental safety assessment for chemicalpesticides—Part 14: algagrowth inhibitiontest: GB/T 31270.14−2014[S]. Beijing: Standards Press of China, 2015. |
| [17] |
化学农药环境安全评价试验准则 第 13 部分: 溞类急性活动抑制试验: GB/T 31270.13−2014[S]. 北京: 中国标准出版社, 2015. Test guidelines on environmental safety assessment for chemicalpesticides—Part 13: Daphnia sp. acute immobilisation test: GB/T 31270.13−2014[S]. Beijing: Standards Press of China, 2015. |
| [18] |
OUATTARA H G, REVERCHON S, NIAMKE S L, et al. Biochemical properties of pectate lyases produced by three different Bacillus strains isolated from fermenting cocoa beans and characterization of their cloned genes
[J]. Appl Environ Microbiol, 2010, 76(15): 5214-5220. |
| [19] |
RUAN Z Y, ZHAI Y, SONG J L, et al. Molecular cloning and characterization of a newly isolated pyrethroid-degrading esterase gene from a genomic library of Ochrobactrum anthropi YZ-1
[J]. PLoS One, 2013, 8(10): e77329. DOI:10.1371/journal.pone.0077329 |
| [20] |
BOHACZ J. Biodegradation of feather waste keratin by a keratinolytic soil fungus of the genus Chrysosporium and statistical optimization of feather mass loss
[J]. World J Microbiol Biotechnol, 2017, 33: 13. |
| [21] |
代鹏飞, 蔡天明, 汪林, 等.. 一株烟嘧磺隆降解菌的分离鉴定及其降解特性与途径[J]. 环境科技, 2015, 28(4): 12-17. DAI P F, CAI T M, WANG L, et al. Isolation, identification, degradation characteristics and pathway of a nicosulfuron-degrading bacteria[J]. Environ Sci Technol, 2015, 28(4): 12-17. |
| [22] |
宋金龙. 烟嘧磺隆降解菌黄篮状菌 (Talaromyces flavus) 的分离鉴定及降解机理研究[D]. 北京: 中国农业科学院, 2013 : 34-37. SONG J L. Isolation and identification of nicosulfuron-degradtive fungus (Talaromyces flavus) and study of degradation mechanism[D]. Beijing: Chinese Academy of Agricultural Sciences, 2013: 34-37. |
| [23] |
代鹏飞. 烟嘧磺隆降解菌的分离鉴定、降解特性及其细胞固定化研究[D]. 南京: 南京农业大学, 2014: 46-47. DAI P F. Isolation, identification and charcterization of nicosulfuron-degrading bacteria and the application of immobilized cells[D]. Nanjing: Nanjing Agricultural University, 2014: 46-47. |
| [24] |
ZHAO W S, WANG C, XU L, et al. Biodegradation of nicosulfuron by a novel Alcaligenes faecalis strain ZWS11
[J]. J Environ Sci, 2015, 35: 151-162. DOI:10.1016/j.jes.2015.03.022 |
| [25] |
CARLES L, JOLY M, BONNEMOY F, et al. Identification of sulfonylurea biodegradation pathways enabled by a novel nicosulfuron-transforming strain Pseudomonas fluorescens SG-1: toxicity assessment and effect of formulation
[J]. J Hazard Mater, 2017, 324: 184-193. DOI:10.1016/j.jhazmat.2016.10.048 |
2018, Vol. 20


