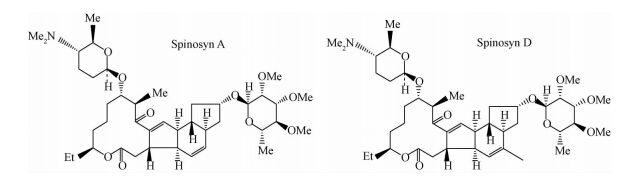
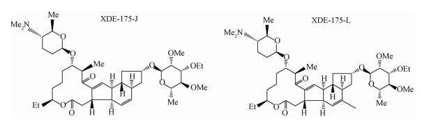
多杀菌素(spinosad)是由土壤放线菌Saccharopolyspora spinosa经有氧发酵产生的胞内次级代谢产物[1,2],以多杀菌素A(Spinosyn A)和多杀菌素D(Spinosyn D)为主要成分(其含量分别约占85%和15%),结构式见Scheme 1。乙基多杀菌素(spinetoram)是刺糖菌素类杀虫剂的一个新成员,由美国陶氏益农公司开发[3],以乙基多杀菌素J(XDE-175-J)和乙基多杀菌素L(XDE-175-L)为主要成分(其含量分别约占75%和25%),结构式见Scheme 2。乙基多杀菌素是多杀菌素的换代产品,二者在结构上的差别仅在于吡喃环上的甲氧基和乙氧基取代不同,其性质较为相近。
![]() | Scheme 1 多杀菌素(spinosad) |
![]() | Scheme 2 基多杀菌素(spinetoram) |
目前,关于多杀菌素和乙基多杀菌素的原药及其在水体、蔬菜、水稻等基质中的残留分析方法已有不少报道,主要采用的是高效液相色谱法和高效液相色谱-质谱联用法等[4,5,6,7,8,9,10,11,12],而在基质较为复杂的土壤中同时测定多杀菌素和乙基多杀菌素残留的方法尚未见报道。 超高效液相色谱(UPLC)具有分析速度快、灵敏度高等特点,用于农药的痕量分析更具有优势。为此,笔者采用超高效液相色谱法对土壤中多杀菌素和乙基多杀菌素的残留量进行了定性、定量分析,旨在为评价与监测土壤中刺糖菌素类杀虫剂农药残留状况,合理而有效地使用此类农药提供参考。
1 材料与方法 1.1 仪器与主要试剂
Waters ACQUITY UPLC H-Class 超高效液相色谱仪,EmpowerII 软件,美国Waters公司;R-210型旋转蒸发器,上海申生科技有限公司;XW-80A微型旋涡混合仪,上海沪西分析仪器厂有限公司;CNW Strata NH2(55 μm,70 A) 500 mg/3 mL固相萃取小柱,上海安谱科学仪器有限公司。
多杀菌素标准品(纯度99.7%,Spinosyn A和Spinosyn D质量比7∶3)和乙基多杀菌素标准品(纯度97.5%,XDE-175-J和XDE-175-L质量比4∶1),购自德国Dr. Ehrenstorfer公司,用甲醇溶解并稀释至适当浓度供试。提取和净化用乙腈、甲醇和二氯甲烷均为分析纯;色谱纯甲醇和乙腈购自Thermo Fisher Scientific公司;氢氧化钾于80 ℃下真空干燥8 h,氯化钠经140 ℃ 烘烤4 h后使用。
供试土壤样品取自海南省海口市美兰区加乐村,土壤类型为砖红壤,质地为壤土,pH值5.7,有机质质量分数17.4%。除去土壤中的碎石、杂草和植物根茎等杂物,混匀后采用四分法留样500 g,于-20 ℃冰柜中保存待用。 1.2 样品前处理 1.2.1 提取
称取20.00 g土壤样品,用40.0 mL乙腈、8 mL 5%的氯化钠溶液和2.5 mL 1 mol/L的氢氧化钾溶液超声提取5 min,在4 000 r/min下离心5 min。准确吸取上清液10.0 mL于100 mL圆底烧瓶中,减压浓缩(40 ℃)至近干,残留物用2 mL甲醇溶解,待净化。 1.2.2 净化
固相萃取小柱先用3 mL V(二氯甲烷)∶V(甲醇)=95∶5 的混合溶剂预淋洗,加入样品提取浓缩液,再用3 mL上述混合溶剂洗涤样品瓶 3次,一并转移至萃取小柱中,收集全部淋出液,在40 ℃水浴中旋转浓缩至干,残留物用色谱级甲醇溶解并定容至2.5 mL,待UPLC检测。 1.3 UPLC测定条件
ACQUITY UPLC BEH C18色谱柱(100 mm×2.1 mm,1.7 μm);柱温40 ℃;流动相:V(乙腈)∶V(质量分数为2 %的乙酸铵缓冲液)∶V(甲醇)=50 ∶20∶ 30;流速0.3 mL/min;紫外检测器波长 250 nm;进样体积为4 μL。 1.4 标准曲线的绘制
采用外标法定量。以甲醇为溶剂,先分别配制1 000 μg/mL的多杀菌素和乙基多杀菌素标准品母液,再逐级稀释成质量浓度分别为4.0、2.0、1.0、0.50和0.10 μg/mL,采用1.3节的条件进样分析,以药剂质量浓度为横坐标,峰面积为纵坐标绘制标准曲线。 1.5 方法的准确度和精密度测定
在未检出多杀菌素和乙基多杀菌素的空白土壤样品中分别添加不同含量的多杀菌素和乙基多杀菌素标准溶液,使添加水平分别为0.1、1、2 mg/kg和0.05、0.1、0.5 mg/kg。按照所建立的前处理和检测方法进行添加回收试验,重复5次。
2 结果与讨论 2.1 标准曲线
在0.10~4.0 μg/mL范围内,多杀菌素和乙基多杀菌素的峰面积响应值(y)和药剂质量浓度(x)均具有良好的线性关系。多回归方程分别为 y=5 490x-67.2,R2=0.999 9和y=12 200x+1.73,R2=0.999 7。 2.2 方法的准确度和精密度
添加回收试验结果(表 1)表明:在添加水平为0.1~2 mg/kg范围内,多杀菌素在土壤中的平均回收率在89%~96%之间,相对标准偏差(RSD)在2.1%~4.9%之间;在添加水平为0.05~0.5 mg/kg范围内,乙基多杀菌素在土壤中的平均回收率在86%~93%之间,RSD在1.2%~8.1%之间。均符合农药残留试验的要求[13]。相关色谱图见图 1。
![]() | 图 1 多杀菌素和乙基多杀菌素超高效液相色谱图 Fig. 1 UPLC chromatogram of Spinosyn A,Spinosyn D,SDE-175-J and SDE-175-L
a.多杀菌素标样(0.5 μg/mL); b.乙基多杀菌素标样(0.1 μg/mL); c.土壤空白; d.土壤添加(多杀菌素0.1 mg/kg,乙基多杀菌素0.05 mg/kg) a. spinosad standard(0.5 μg/mL); b. spinetoram standard(0.1 μg/mL); c . blank soil; d. fortified soil(spinosad 0.1 mg/kg,spinetoram 0.05 mg/kg) |
多杀菌素和乙基多杀菌素具有易光解特性,分解快、残留低,因此要求检测仪器具有较低的检测限。在所选定的检测条件下,仪器对多杀菌素和乙基多杀菌素的最小检出量分别为8.0×10-7 和 2.8×10-7 g;土壤中多杀菌素和乙基多杀菌素的定量限(LOQ)分别为0.1和 0.05 mg/kg。
|
|
表 1 多杀菌素和乙基多杀菌素在土壤中的添加回收率 Table 1 Recoveries of spinosad and spinetoram in soil(n=5) |
由于多杀菌素和乙基多杀菌素在酸性条件下易溶于水相而不溶于有机相,而在碱性环境中易溶于有机相而不溶于水相,所以提取时先在碱性条件下用乙腈提取后,通过改变提取液 pH 值的方法,将干扰物质与待测物分离,使提取液得到初步的净化;然后再将提取物用 NH2柱进一步净化,可使待测物与杂质得到有效分离。因此本研究采用V(乙腈)∶V(5%氯化钠)∶V(1 mol/L氢氧化钾)=40∶8∶2.5 的混合溶剂提取,通过改变提取液的 pH 值使样品得到初步的净化后再经 SPE 柱进行净化。多杀菌素和乙基多杀菌素的添加回收率均在70%~110%范围内,5次重复测定样品峰面积的平均相对标准偏差均小于10%,重现性良好。采用超高效液相色谱仪耗时短,前处理操作简单,方法的灵敏度、精确度和检测限均满足农药残留分析的要求,可用于同时测定多杀菌素和乙基多杀菌素在土壤中的残留。
| [1] | Blanc M P, Panighini C, Gadani F, et al. Activity of spinosad on stored-tobacco insects and persistence on cured bobacco strios[J]. Pest Manag Sci, 2004, 60(11): 1091-1098. |
| [2] | Diao J, Xu S C. Spinosad, a successful example of researching and developmenting from natural products[J]. Agrochemicals, 2008, 47(8): 558-560. |
| [3] | 朱秦. 陶氏益农公司获得杀虫剂spinetoram 的第一个全球登记[J]. 农药市场信息, 2007, 21: 25. Zhu Qin. Dow Agrosciences receives first global registration for spinetoram insecticide[J]. Pesticide Market News, 2007, 21: 25.(in Chinese) |
| [4] | 陈国, 朱勇, 赵健, 等. 乙基多杀菌素在稻田水、土壤和水稻植株中的残留及消解动态[J]. 农药学学报, 2014, 16(2): 153-158. Chen Guo, Zhu Yong, Zhao Jian, et al. Residue and decline dynamics of spinetoram in paddy water, soil and rice straw[J]. Chin J Pestic Sci, 2014, 16(2): 153-158.(in Chinese) |
| [5] | 孙敏, 曹赵云, 刘慧, 等. PSA分散固相萃取和高效液相色谱-质谱法测定蔬菜中多杀菌素的残留量[J]. 分析试验室, 2010, 29(8): 70-74. Sun Min, Cao Zhaoyun, Liu Hui, et al. Determination of spinosad in vegetables by PSA dispersive solid phase extraction and high performance liquid chromatography-mass spectrometry [J]. Chinese J Anal Lab, 2010, 29(8): 70-74.(in Chinese) |
| [6] | 张缙, 杨黎忠, 林立毅, 等. 高效液相色谱-串联质谱法测定食品中多杀菌素A和D的残留量[J]. 色谱, 2011, 29(7): 637-642. Zhang Jin, Yang Lizhong, Lin Liyi, et al. Determination of spinosyns A and D residues in food by high performance liquid chromatography-tandem mass spectrometry[J]. Chin J Chromatogr, 2011, 29(7): 637-642.(in Chinese) |
| [7] | 李文明, 乔成奎, 陈晓旭, 等. 高效液相色谱-串联质谱法测定水稻中多杀霉素的残留及消解动态[J]. 农药学学报, 2012, 14(3): 298-304. Li Wenming, Qiao Chengkui, Chen Xiaoxu, et al. Study on decline and residue of spinosad in paddy using high performance liquid chromatography-tandem mass spectrometry[J]. Chin J Pestic Sci, 2012, 14(3): 298-304.(in Chinese) |
| [8] | 吴春先, 聂果, 王广成, 等. 高效液相色谱法测定水中多杀菌素的残留量[J]. 农药, 2006, 45(3): 191-193. Wu Chunxian, Nie Guo, Wang Guangcheng, et al. Determination of spinosad residues in water by HPLC[J]. Agrochemicals, 2006, 45(3): 191-193.(in Chinese) |
| [9] | 熊犍, 李能威, 叶君, 等. 多杀菌素的高效液相色谱测定[J]. 现代食品科技, 2009, 25(6): 704-706. Xiong Jian, Li Nengwei, Ye Jun, et al. Determination of spinosad with high-performance liquid chromatography [J]. Mod Food Sci Technol, 2009, 25(6): 704-706.(in Chinese) |
| [10] | 李增梅, 王文丽, 吴慧明, 等. 高效液相色谱法检测菜蛾绒茧蜂幼虫体内多杀菌素残留[J]. 昆虫学报, 2006, 49(1): 137-141. Li Zengmei, Wang Wenli, Wu Huiming, et al. Detection and analysis of spinosad residue in the body fluid of Cotesia plutellae larvae with HPLC [J]. Acta Entomologica Sinica, 2006, 49(1): 137-141.(in Chinese) |
| [11] | 张晓燕, 邓树华, 黄卫, 等. 乙基多杀菌素的高效液相色谱测定[J]. 粮食科技与经济, 2013, 38(1): 37-39. Zhang Xiaoyan, Deng Shuhua, Huang Wei, et al. Determination of spinetoram with high-performance liquid chromatography[J]. Grain Sci Technol Econ, 2013, 38(1): 37-39.(in Chinese) |
| [12] | 秦为辉, 李丽, 张晓琳, 等. 响应曲面分析方法优化发酵液中多杀菌素的提取工艺[J]. 天然产物研究与开发, 2011, 23(2): 314-319. Qin Weihui, Li Li, Zhang Xiaoli, et al. Process optimization for extracting spinosad from fermentation broth by response surface methodology[J]. Nat Prod Res Develop, 2011, 23(2): 314-319.(in Chinese) |
| [13] | NY/T 788—2004, 农药残留试验准则[S]. 北京: 中国农业出版社, 2004. NY/T 788—2004, Guideline on pesticide residue trials[S]. Beijing: China Agriculture Press, 2004.(in Chinese) |
2015, Vol. 





