2. 内蒙古自治区电力系统智能化电网仿真企业重点实验室, 呼和浩特 010020
2. Inner Mongolia Enterprise Key Laboratory of Smart Grid Simulation of Electrical Power System, Hohhot 010020, China
内蒙古西部地区能源资源富集,是我国西电东送的重要送电端[1]。随着经济发展,内蒙古电网内电源、负荷以及超高压系统容量持续增长,220 kV网架不断加强,因电网紧密程度不断提高,开始出现短路电流超标问题,尤其在负荷大、电源多的局部电网,短路电流超标问题日益突出[2-7]。随着电网不断发展,若不重视网架合理规划,采取必要的短路电流限制措施,某些地区短路电流超标问题将会成为制约当地电网发展的一个重要因素[8-9]。
本文以2016—2020年内蒙古电网短路电流变化情况为依据,采用PSD-SCCP软件,分析内蒙古电网短路电流分布特性和变化规律,并基于二端口等值电路分析内蒙古电网短路电流的超标原因[10];通过总结近年来内蒙古电网已采取的短路电流限制办法,研究基于故障电流限制器(FCL)的短路电流控制措施。
1 内蒙古电网短路电流特性 1.1 内蒙古电网发展概况近年来,内蒙古电网500 kV和220 kV电压等级电网网架结构不断加强,新投产的各类机组和线路不断增加。2016—2020年内蒙古电网规模变化情况如表 1所示。
| 表 1 2016—2020年内蒙古电网规模变化情况 |
由表 1可以看出,内蒙古电网坚持适度超前规划,各电压等级电网规模持续扩大。2016—2020年,500 kV变电站增加了10座,变电容量增加了28 500 MW;220 kV变电站增加了54座,变电容量增加了30 820 MVA;电网装机规模增加了13 741 MW,线路总长度增加了11 261 km,负荷增加了12 632 MW。内蒙古电网500 kV和220 kV电压等级的变电站数量、变电容量、装机规模、线路总长以及电网负荷水平都在逐年增长,其中220 kV电压等级的网架建设速度快于500 kV电压等级,电网整体处于发展期。
内蒙古电网供电面积覆盖8个盟市72万km2,在全网整体不断发展的趋势下,也存在各供电区域发展不均衡的现象,从而导致各地区短路电流水平存在较大差距。截至2018年底,各地区的最大供电负荷、500 kV和220 kV电压等级的变压器数量和变电容量如表 2所示。
| 表 2 2018年内蒙古各地区电网规模 |
由表 2可看出,各地区的电网发展水平不均衡,存在较大差距。例如,2018年乌兰察布地区的最大供电负荷比阿拉善地区多约4528 MW。
1.2 短路电流分布与发展特点内蒙古电网短路电流超标厂站已采取了有效措施,为分析短路电流水平随电网发展的变化,现选取内蒙古电网500 kV电压等级中短路电流水平较高的典型厂站,统计2016—2020年各厂站短路电流水平变化情况,对比分析各500 kV变电站500 kV母线侧和220 kV母线侧短路电流的变化情况,分别见图 1、图 2。500 kV母线侧断路器额定遮断电流为50 kA的变电站有吉兰太站、布日都站、永圣域站、丰泉站,其余各变电站额定遮断电流均为63 kA;220 kV母线侧断路器额定遮断电流均为50 kA。
|
| 图 1 500 kV变电站500 kV母线侧短路电流 |
|
| 图 2 500 kV变电站220 kV母线侧短路电流 |
分析图 1和图 2可知,内蒙古电网短路电流分布与发展有如下特点。
(1)总体来看,内蒙古电网短路电流水平随着电网规模的扩大和电源的增加呈增长趋势。在电网建设过程中,同时采取了电网结构优化和限制短路电流超标等措施,个别站点会出现短路电流水平下降的情况,如500 kV乌海、庆云变电站等。
(2)短路电流超标较高的站点主要集中在包头、乌兰察布、鄂尔多斯和呼和浩特地区,如梅力更、丰泉、响沙湾、永圣域等变电站;而位于锡林郭勒、巴彦淖尔等地区变电站的短路电流水平较低。
(3)一般情况下,500 kV母线侧三相短路电流大于单相短路电流,而220 kV母线侧单相短路电流大于三相短路电流;但是个别变电站如布日都、响沙湾、丰泉等,因单相短路电流超标,采取了中性点加装小电抗的措施,其220 kV母线侧三相短路电流大于单相短路电流。
2 影响短路电流水平的因素 2.1 二端口等值电路短路点自阻抗是从故障节点开始的戴维南等值阻抗,也是三相短路电流的另一种表现形式,可以表征短路电流的大小,且自阻抗能够从电网等值阻抗层面分析短路电流的性质和影响因素[11-12]。以500 kV电压等级电网网架结构为例,采用短路点自阻抗分析模型,对短路点自阻抗与影响短路电流水平因素之间的关系进行说明,图 3为基于戴维南等值的500 kV变电站正序和零序等值网络图[11-13],其中:

|
| 图 3 500 kV变电站正序和零序等值网络 图中: ZHS1、ZHS0—500 kV母线对地的正序、零序等值阻抗;ZMS1、ZMS0—220 kV母线对地正序、零序等值阻抗;ZH1、ZM1、ZH0、ZM0、ZL0—变压器T形等值电路的正序和零序等值阻抗;Zhm0、Zhl0、Zml0—三绕组变压器星网变换后的零序等值阻抗;Zeq1、Zeq0—正序、零序等值联络阻抗;VHS1、VHS2—500 kV、220 kV侧正序等值电源;K1、K2— 500 kV、220 kV侧短路故障点。 |
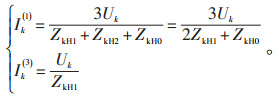
500 kV电压等级电网网架结构中500 kV母线侧短路电流计算如式(1)所示,其中:


|
(1) |
式中:ZkH1、ZkH2、ZkH0分别为短路点正序、负序和零序等值综合阻抗[15]。
从式(1)可以推导出式(2):
|
(2) |
式中:Ik(1)—单相接地短路电流;
Ik(3)—三相短路电流;
Uk—故障前短路点的电压。
同理,220 kV母线侧的短路电流可以通过将220 kV母线侧短路点等值正序、负序和零序的综合阻抗代入式(1)算出。
2.2 短路电流分布特点根据内蒙古电网500 kV网架结构、电源分布、变压器中性点接地方式及数量等,结合影响短路电流水平的主要因素分析内蒙古电网短路电流分布特点。
2.2.1 内蒙古电网的整体短路水平呈上升趋势2016—2020年,内蒙古电网的电力系统容量(包括发电厂的装机容量、发电机组的单机容量等)不断增加,而发电机组是短路电流的提供者,即Uk不断增大;西电东送通道不断加强,电网网架结构越来越紧密,形成500 kV/220 kV多个高低压电磁环网,即变量
电网500 kV母线侧短路电流主要取决于500 kV电网结构和直接接入500 kV的发电厂容量大小,500 kV电网等值阻抗ZkH0大于ZkH1是500 kV母线三相短路电流大于单相短路电流的主要原因。由图 1计算结果可知,内蒙古电网大部分500 kV站点和500 kV母线侧三相短路电流大于单相短路电流;从理论上分析,内蒙古电网500 kV电压等级的电源较少(截至2019年底共有15座),且大多分布在南部通道,离负荷中心变电站距离较远,因此可以认为500 kV电网正序阻抗与负序阻抗相等。三相与单相短路电流大小主要取决于正序与零序阻抗的大小,而一般情况下零序线路参数是正序参数的3~5倍,因此通常ZHS0>ZHS1,从500 kV母线往外,其500 kV电网的正序等值阻抗小于零序等值阻抗。
2.2.3 内蒙古电网220 kV母线侧单相短路电流大于三相短路电流内蒙古电网220 kV母线侧单相短路电流大于三相短路电流的主要原因是电网500 kV主变压器均为自耦变压器,且变压器中性点全部采用直接接地方式[15-19]。中性点直接接地使站点和附近厂站的零序等值电抗ZHS0急剧下降,导致220 kV母线侧单相短路电流超过三相短路电流,甚至接近断路器的额定开断电流,影响电网安全稳定运行[20-21]。
2.2.4 500 kV系统短路电流相对220 kV母线侧短路电流问题较少内蒙古由于东西横向距离较长,500 kV主网网架结构较为松散,地区220 kV电网结构相对密集,且500 kV变电站下送220 kV电网存在较多地方电源支撑,这种结构导致500 kV系统短路电流相对220 kV母线侧短路电流问题较少。
从上述分析可知,500 kV母线侧三相短路电流较高的主要原因是其正序等值阻抗较小,而220 kV母线侧单相短路电流较高的主要原因是其零序等值阻抗较小,因此,改变电网结构增大正序等值阻抗是限制500 kV母线侧短路电流的主要手段;而增大零序综合阻抗是限制220 kV母线侧短路电流的主要手段。
3 内蒙古电网短路电流控制传统措施针对短路电流超标问题,内蒙古电网已采取多种限流措施,这些措施本质都是通过增加系统的电气距离,提高故障点的系统等值阻抗,从而达到短路电流的限制效果[22-23]。短路电流限制措施可分为设备改造、改变电网结构、调整系统运行方式等方式[24-27]。
3.1 设备改造 3.1.1 更换大容量断路器内蒙古电网因投产永圣域到常胜变电站第2回线路,永圣域500 kV母线侧三相短路电流上升了1.5 kA,达到49.285 kA(遮断电流50 kA),因此将永圣域变电站500 kV断路器遮断电流更换为63 kA。
3.1.2 主变压器加装中性点小电抗目前,内蒙古电网汗海、响沙湾、布日都、吉兰太、梅力更、丰泉、赛罕、千里山等多座500 kV变电站采用加装中性点电抗器的措施解决220 kV母线侧单相短路电流超标问题。
3.1.3 加装限流电抗器2016年,内蒙古电网220 kV古城变电站短路电流偏高,220 kV沙尔沁变电站短路电流超标,根据对相关支路短路电流输送值及串抗电抗值的选择计算,采取在沁城双回线路加装12 Ω串联电抗器的方法限制古城、沙尔沁变电站短路电流。
3.2 改变电网结构针对短路电流超标问题,内蒙古电网实施了多个500 kV/220 kV电磁环网的解环运行方案。如2018年上半年,丰泉500 kV变电站只有3台主变压器并列运行,丰泉变电站220 kV母线侧短路电流超标,采取解开高顺—海城单回、丰泉—黄旗海双回线路的措施,使丰泉变电站成为独立供电区。解环后,丰泉变电站220 kV母线侧短路电流在断路器的开断范围内。
3.3 调整系统运行方式内蒙古电网为了限制永圣域、包头北变电站220 kV母线侧单相短路电流,均采取了主变压器220 kV母线侧母线分列运行、分段开关停备的措施。调整系统运行方式还包括热备线路、线路出串等。
从上述限流措施可以看出,传统方法对限制短路电流有良好的效果,但同时存在明显的缺点。如设备改造措施中更换断路器和加装限流电抗器成本较高,不具备普遍适用性;加装中性点小电抗则只能降低系统单相短路电流,对三相短路电流超标问题作用;而改变电网结构和调整系统运行方式则会降低电网安全稳定水平和运行可靠性。
4 基于故障电流限制器的短路电流控制措施为弥补上述传统措施降低电网安全稳定性的缺点,可采取在系统适当位置安装故障电流限制器(FCL)的方式,该措施和传统措施配合可降低系统短路电流且保证电网安全稳定性[28-29]。基于串联谐振型FCL的短路电流控制原理如图 4所示,采用串联电感、电容的电路拓扑结构,在系统正常运行状态下,串联的电容和电感产生谐振,总阻抗为零,不改变系统原始运行状态;在发生短路故障时,晶闸管快速短接电容器,利用串联在系统中的电抗器起到限制故障电流的作用[30-31]。
|
| 图 4 串联谐振型故障电流限制器短路电流控制原理 图中:C—电容;SCR—晶闸管开关;L—电感。 |
以2019年内蒙古电网网架结构为基础,研究FCL限制短路电流的效果。通过短路电流分析计算得出,乌海地区投产了京能双欣电厂2台机组后,500 kV千里山变电站220 kV母线侧短路电流水平超标,加装中性点小电抗后,千里山变电站220 kV母线侧单相短路流为46.952 kA,三相短路电流为48.865 kA,可以看出其三相短路电流水平仍较高。分析与其相连的220 kV支路中贡献的三相短路电流可以得出,与220 kV祥和变电站和苏亥变电站相连的单个支路提供的短路电流占比相对较高,提供15.648 kA短路电流,约占千里山220 kV母线侧三相短路电流的32%。因此,为了降低千里山变电站220 kV母线侧三相短路电流,采取在蒙千里21—蒙苏亥21双回220 kV线路上配置5 Ω故障电流限制器。当蒙千里21—蒙库布21线路发生三永N-1故障后0.12 s切除故障线路,故障电流限制器的相关仿真曲线如图 5所示,分别为蒙千里21—蒙苏亥21 Ⅰ回线路中故障电流限制器L1相电流和电抗的仿真曲线。
|
| 图 5 故障电流限制器L1相电流和电抗仿真曲线 |
从图 5可以看出,0.2 s发生故障,蒙千里21—蒙苏亥21线路电流跃升至3.9 kA,故障电流限制器动作,投入5 Ω电抗串接入线路,使其电流下降至3.2 kA。0.32 s,在故障电流限制器电抗投入情况下,线路电流衰减至1.9 kA时,断路器动作将故障部分切除,短路故障消失,线路电流降至1.1 kA。故障发生后1.18 s时,线路电流达到故障电流限制器的恢复判断持续时间,开关再次动作,将5 Ω电抗从线路中退出,线路电流又升高至1.1 kA,之后恢复正常运行状态。
故障期间,有故障电流限制器和无故障电流限制器时内蒙古电网机组功角、千里山500 kV变电站母线电压曲线如图 6和图 7所示。从图中可以看出,故障电流限制器的电抗投入,对系统故障后响应特性的影响很小。内蒙古电网机组功角曲线和千里山500 kV变电站母线电压,在有或者无故障电流限制器投入2种条件下,曲线基本相同。
|
| 图 6 有/无FCL内蒙古电网机组功角对比 |
|
| 图 7 有/无FCL千里山500 kV变电站母线电压对比 |
由上述仿真结果可以看出,在个别短路电流偏高的220 kV母线附近线路上配置故障电流限制器,可使其短路电流下降1~3 kA,且故障电流限制器对内蒙古电网安全稳定运行没有影响。
5 结论本文通过分析内蒙古电网短路电流分布特性和变化规律,分析了采取的传统短路电流控制措施的特点,并对基于故障电流限制器的短路电流控制措施进行了仿真研究,得出以下结论。
(1)随着内蒙古电网规模不断扩大、电源装机持续增加、电网联系日益紧密,电网短路电流水平呈增长趋势。但在电网建设过程中由于电网结构的优化、短路电流超标措施实施等因素,个别站点又会出现短路电流水平下降的情况。其中,短路电流超标或较高的站点主要集中在包头、乌兰察布、鄂尔多斯和呼和浩特地区,而位于锡林郭勒、巴彦淖尔等地区的站点短路电流水平较低。
(2)500 kV母线侧短路电流主要取决于500 kV母线侧电网结构,因此其限制措施应主要在500 kV电网层面解决,主要为优化网络拓扑结构、调整系统运行方式、更换设备等限流措施;而220 kV母线侧短路电流主导影响因素不一致性,需依据站点具体情况匹配相应的限制措施,主要有加装变压器中性点小电抗、电磁环网解环等。
(3)使用故障电流限制器可针对性地解决短路电流超标问题且不会对系统安全稳定产生影响,当主要输电通道不能采取断线、出串等改变电网结构的措施时,采用此措施是较为有效的手段。但目前内蒙古电网利用现有的常规措施就可以将短路电流水平控制在合理范围内,因此对故障电流限制器等新设备的应用需求并不迫切,且故障电流限制器造价昂贵,所以目前可跟踪关注现有应用示范工程的实际运行状况,结合电网发展状态及短路电流水平升高情况,具备合适的应用场景时,再进一步研究其在内蒙古电网中应用的必要性及可行性。
| [1] |
内蒙古电力(集团)有限责任公司. 蒙西输电网"十三五"中期规划修编报告[Z]. 呼和浩特: 内蒙古电力(集团)有限责任公司, 2018.
( 0)
|
| [2] |
葛梦昕, 傅裕斌, 樊友平, 等. 采用异步联网限制短路电流的实际应用和分析[J].
电测与仪表, 2018, 55(4): 40-47 DOI:10.3969/j.issn.1001-1390.2018.04.008 ( 0)
|
| [3] |
陈怡静. 大电网短路电流限制措施研究[D]. 杭州: 浙江大学, 2008.
( 0)
|
| [4] |
方卜珣, 程浩忠, 徐谦, 等. 限制短路电流水平的220 kV电网规划方法[J].
电测与仪表, 2018, 55(21): 25-30 DOI:10.3969/j.issn.1001-1390.2018.21.005 ( 0)
|
| [5] |
陈丽莉. 大电网限流措施的优化配置研究[D]. 杭州: 浙江大学, 2011.
( 0)
|
| [6] |
张爱军, 孟庆天, 吕海霞, 等. 500 kV自耦变压器中性点小电抗选型分析[J].
内蒙古电力技术, 2014, 32(1): 21-25 ( 0)
|
| [7] |
段钧. 500 kV永圣域变电站220 kV母线短路电流超标分析和研究[D]. 天津: 天津大学, 2017.
( 0)
|
| [8] |
任远, 王皑, 张友民, 等. 山西北部500 kV电网短路电流限制措施研究[J].
电子测试, 2016(15): 129 ( 0)
|
| [9] |
樊扬, 吴丹莉, 张步涵, 等. 广东500 kV电网短路电流来源及影响因素分析[J].
南方电网技术, 2015, 9(8): 83-87 ( 0)
|
| [10] |
张曼, 施超, 许文超, 等. 基于PSD-SCCP与PSASP的短路电流计算研究[J].
电力工程技术, 2017, 36(2): 88-93 DOI:10.3969/j.issn.1009-0665.2017.02.016 ( 0)
|
| [11] |
马世英, 宋云亭, 申旭辉, 等.
短路电流控制技术及应用[M]. 北京: 中国电力出版社, 2014.
( 0)
|
| [12] |
刘民伟, 郭洪芹, 胡凯. 云南电网短路电流超标原因及限制措施研究[J].
云南电力技术, 2018, 46(5): 34-38 ( 0)
|
| [13] |
刘娟, 王志敏. 云南电网短路电流升高原因及对策[J].
云南电力技术, 2017, 45(4): 108-110 DOI:10.3969/j.issn.1006-7345.2017.04.033 ( 0)
|
| [14] |
周宁, 程正, 舒展, 等. 江西电网220 kV系统短路电流限制措施技术研究[J].
江西电力, 2016, 40(2): 26-30 ( 0)
|
| [15] |
刘竞泽, 张佳伟, 赵天晓, 等. 同步发电机三相短路电流分析[J].
电气开关, 2020, 58(5): 12-15 ( 0)
|
| [16] |
刘静, 朱军飞, 杨丹. 湖南电网短路电流分析计算及抑制措施研究[J].
湖南电力, 2018, 38(4): 21-23, 38 DOI:10.3969/j.issn.1008-0198.2018.04.006 ( 0)
|
| [17] |
李晓华, 张波, 傅龙辉, 等. 多个500 kV站点自耦变中性点加装小电抗对零序电量叠加影响的研究[J].
电网技术, 2013, 37(4): 1074-1082 ( 0)
|
| [18] |
王薇, 杜飞. 变电站220 kV侧单相短路电流超标问题分析及解决方案[J].
内蒙古电力技术, 2014, 32(3): 28-33 ( 0)
|
| [19] |
梁纪峰, 刘文颖, 梁才, 等. 500 kV自耦变中性点串接小电抗对接地短路电流限制效果分析[J].
电力系统保护与控制, 2011, 39(13): 96-100 ( 0)
|
| [20] |
周明, 曹炜, 陈文涛, 等. 串联电抗器对电力系统短路电流特性影响的研究[J].
电力系统保护与控制, 2017, 45(11): 147-153 ( 0)
|
| [21] |
布赫, 王志忠, 王永胜, 等. 电流互感器多点接地故障在线监测技术研究[J].
内蒙古电力技术, 2018, 36(3): 7-10, 24 ( 0)
|
| [22] |
余志刚, 张宝金, 杨攀峰, 等. 宁夏电网限制短路电流措施研究[J].
电力科学与工程, 2014, 30(5): 56-61 ( 0)
|
| [23] |
张汉花, 田蓓, 顾雨嘉, 等. 宁夏电网短路电流超标原因及限制措施研究[J].
宁夏电力, 2018, 2(1): 7-12 ( 0)
|
| [24] |
李华, 商文颖, 南哲, 等. 电网短路电流限制措施优劣对比[J].
东北电力技术, 2017, 38(5): 48-54 ( 0)
|
| [25] |
石征, 谷丽娜, 程伦. 电网短路电流限制措施分析[J].
河北电力技术, 2017, 36(2): 24-26 ( 0)
|
| [26] |
张祥成, 郭秋婷, 潘艳, 等. 750/330 kV受端电网合理分区规模研究[J].
电力系统保护与控制, 2017, 45(20): 137-142 ( 0)
|
| [27] |
杨志国, 徐江, 罗朝峰. 巴彦淖尔地区新能源送出能力分析及地区电网解环方案研究[J].
内蒙古电力技术, 2019, 37(1): 6-10 ( 0)
|
| [28] |
李生虎, 黄杰杰, 吴正阳. 基于故障电流解析表达的FCL协助DFIG低电压穿越研究[J].
电力自动化设备, 2017, 37(11): 143-148 ( 0)
|
| [29] |
摆世彬, 罗峰, 项丽, 等. 基于故障电流限制器的短路电流直流分量限制措施及布点方法研究[J].
电子设计工程, 2019, 27(18): 143-148 ( 0)
|
| [30] |
杨尚瑾, 戴朝波, 李芳灵, 等. 基于相电流差的短路故障快速识别方法[J].
电网技术, 2020, 44(6): 2330-2335 ( 0)
|
| [31] |
汤伟, 杨铖, 刘洋, 等. 串联补偿型故障电流限制器应用研究[J].
电测与仪表, 2017, 54(22): 88-92 ( 0)
|


0)