变电站电力通信远程视频指挥系统是一种基于自动化技术的新型电力智能应用系统,通过摄像机采集视频图像信息,利用数字化处理技术对信息进行压缩编码,再将处理结果上传至电力信息调度中心,最终完成电力通信指挥。当前大部分变电站采用多网连接方式与局域网进行通信;部分未连接局域网的变电站,通过窄带综合业务数字网、非对称数字用户线路等进行信息传输[1]。根据信道传输方式,传输路径可分为无线传输和有线传输,其中无线传输能够避免人为干扰和破坏,具有安全性高的优点,是当前及未来的发展方向[2]。
目前5G技术是最主要的移动通信技术,5G网络切片在满足5G系统要求的基础上,能够进一步进行通信的深度调度。在虚拟网络中,利用映射关系可以完成5G网络切片。映射是指在特定的网络环境下,维持当前底层物理网络状态,准确匹配物理资源中的物理节点及链路。但现有的映射算法仅单方面考虑系统时延性或运行效率,而忽略了两者的并行关系[3-4]。本文在满足系统时延性和运行效率的基础上,设计了基于5G网络切片在线映射算法的电力通信远程视频指挥系统。
1 系统架构 1.1 电力通信远程视频指挥系统架构电力通信远程视频指挥系统主要由前端音视频采集装置、安全控制器、5G无线传输装置以及指挥中心平台构成[5-6]。前端音视频采集装置对现场采集的音视频信号进行压缩处理,由站端网络设备经5G无线传输设备发送到指挥中心平台,平台对音视频信号进行解码并存储至服务器[7]。电力通信远程视频指挥系统网络架构如图 1所示。
|
| 图 1 电力通信远程视频指挥系统网络架构 |
图像采集模块由摄像机、云台以及云台控制器等构成。摄像机用于采集原始图像信号;云台用于调整焦点和照相机的方向;云台控制器实现对云台的控制及对图像进行压缩编码,并将压缩编码后的图像数据发送至CDMA-modem。
1.1.2 图像压缩及编码模块目前图像处理技术大多采用FPGA技术,传输速度较快,但存在一定的丢包率[8]。本文将基于数字信号处理(Digital Signal Process,DSP)的视频服务器作为图像压缩模块,压缩算法由快速DCT、FDCT结果的重排、量化、行程编码和赫夫曼编码五部分组成[9]。电力通信远程视频指挥系统采用TI公司DSP开发环境的公共信道信令Imglib库,由于DSP芯片无法存储数量较大的原始图像数据及视频信息,因此利用FIFO读取原始图像数据,再存储到扩展的SDRAM中,通过分区缩短CPU等待数据传输的时间,提高图像压缩速度。
1.1.3 图像传输模块及远程指挥模块图像传输模块主要包括DDMA-Mo-DEM、CD- MA-a和因特网专用网三部分,用于电力通信远程视频指挥系统的无线传输。远程指挥模块通常是指电力公司的指令中心,主要由视频解码器、图像解析器以及数据库分析器组成,实现视频图像信号的再现。单个系统逻辑架构如图 2所示。
|
| 图 2 单个系统逻辑架构 |
应用层包含电视电话会议、视频监控、OA、系统接口等;数据存储层即数据库;传输层通过光纤、卫星以及5G进行数据传输;信息采集层采集语音、视频、文本等数据信息[10]。
1.2 网络切片系统架构网络切片系统由无线虚拟接入网片层、虚拟运营商层和基础设施提供商层构成[11],系统框架如图 3所示。虚拟运营商提出虚拟网络路由(Virtual Net- work Router,VNR),并将VNR分发到网络功能的虚拟化管理中。通过对NFV mano的控制,基础设施供应商实现基于不同VNR的VNFC配置和部署,构成不同的虚拟化处理单元内部基带,并连接到相应的虚拟化远程射频单元,从而实现基于虚拟运营商VNR的不同无线虚拟接入网片层的需求。
|
| 图 3 网络切片系统框架示意图 |
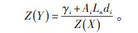
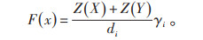
设物理网络带权无向图C=(Ai,Si),其中Ai={a1,a2,…,an}表示网络节点集,Si={s1,s2,…,sn}为Ai的计算水平,Ln={l1,l2,…,ln}为由节点组成的链路集,ln为底层具体物理链路,其中物理网络通信链路的无效率表示为γi,带宽为di。
将队列理论与网络切片技术结合起来建立物理网络切片系统中NFV mano和NFVs两级动态调度模型,使网络切片系统的VNR在一定范围内积压稳定[12-13]。根据队列理论可知,动态调度共发生两次,其中,第一级队列动态调度过程发生在系统NFV mano处,队列状态转移函数为:
|
(1) |
第二级队列动态调度过程发生在NFVs处,队列状态转移函数为:
|
(2) |
综上分析,可进一步得到5G网络切片架构中的映射模型,表示为:
|
(3) |
在网络虚拟化场景中,分片的网络请求不能总是按一定的间隔逐个到达。根据网络切片的流量特性,利用在线映射技术实现底层物理资源的动态分配,并对其进行时间维度调度。如图 4所示,使用时间窗口动态处理已到达的网络切片请求,时间被分成一系列连续的时间窗口。将网络切片按照生命周期的优先级在特定时间窗口内进行处理,寿命越短,优先处理等级越高。按照可靠度的定义,映射生命周期越短,失效率越低,从而提高整个网络的可靠度。
|
| 图 4 时间窗在线网络切片映射机制 |
为了验证系统的可行性,采用Matlab仿真工具对5G网络切片在线映射算法进行仿真分析。模拟物理网络随机生成10个物理节点,计算资源、链路资源分布区间为[50,80]。不同切片生命周期的时间单元分别为60、80、100,切片要求泊松分布随机到达,单个时间窗口(50时间单元)平均到达率为1.4,每个网络切片的服务时间间隔服从15时间单元的泊松分布。网络系统虚拟节点计算资源和链路带宽随机分布区间[30,50], RRU采用1.1~1.4服务率模式,控制参数为0.2~0.6,设置模拟周期为400时间单元。对系统应用前后的压缩率和图像质量、网络适应性、运动检测的灵敏度和鲁棒性及其有效性进行比较。
3.1 压缩率和图像质量随机选取监控图像进行压缩,结果如图 5所示。系统应用后,图像由3 MBytes降至1.1 MBytes,图像质量无明显差异,表明该系统能够在保证图像质量的基础上有效压缩空间。
|
| 图 5 系统应用前、后压缩率与图像质量对比 |
在不同带宽条件下,测试系统的传输速率(见图 6),以此作为分析网络适应性指标的关键因素。系统经多级动态调度进行信息管理,利用队列状态转移函数分析数据特征,并根据数据特征进行数据分流,使得数据传输速率明显提升,且稳定性较好。
|
| 图 6 系统应用前、后传输速率比较 |
由于考虑到系统在映射时的队列状态和NFVs服务率的差异,尽可能将VNR转换为队列状态较短的队列,或优先将VNFC映射到服务率较高的NFV,因此当VNR的到达速率大于NFV的服务速率时,应用该系统能够很好地控制排队平均时间(见图 7)。
|
| 图 7 系统应用前、后时间平均队列积压比较 |
由于系统综合考虑了队列状态和NFVs服务率的不同,当系统队列趋于稳定时,系统时间平均映射成本由84.70提高至88.25(见图 8),仅增加了4.19%的映射成本就可以显著降低系统队列积压,满足了系统延迟性要求。
|
| 图 8 系统应用前、后的时间映射成本比较 |
针对5G网络的最新需求,从资源调度优化的角度分析了5G网段的链路映射,提出了基于5G网段节点和链路的映射算法,并通过仿真验证了该算法能够有效降低系统队列积压,满足系统延迟要求,从理论上证明了5G网段节点和链路的时间平均映射开销与时间平均队列积压之间的可控均衡。
| [1] |
杨睿, 苏丹, 闫磊, 等. 基于粗糙集和贝叶斯网络的电力信息通信系统快速故障诊断方法[J].
科技通报, 2018, 34(7): 96-100 ( 0)
|
| [2] |
苏丹, 杨睿, 吴佳, 等. 电力信息通信系统指挥模型设计及应用[J].
科技通报, 2018, 34(8): 164-167 ( 0)
|
| [3] |
蒋海明, 夏丹妮, 刘媛, 等. 基于物联网技术的电力通信接入网的移动运维系统[J].
电信科学, 2018, 34(10): 176-186 ( 0)
|
| [4] |
刘晓胜, 刘佳生, 孙贺, 等. 用于电力线通信系统的OFDM定时同步算法[J].
电力自动化设备, 2018, 38(1): 179-183 ( 0)
|
| [5] |
唐伦, 周钰, 杨友超, 等. 5G网络切片场景中基于预测的虚拟网络功能动态部署算法[J].
电子与信息学报, 2019, 41(9): 2071-2078 ( 0)
|
| [6] |
唐伦, 周钰, 谭颀, 等. 基于强化学习的5G网络切片虚拟网络功能迁移算法[J].
电子与信息学报, 2020, 42(3): 669-677 ( 0)
|
| [7] |
Matsuda Y, Miyagi K, Yamada C, et al. FPGA Implementation of Undersea Video Transmission System for Visible Light Communication[J].
IEEJ Transactions on Industry Applications, 2019, 139(2): 180-186 DOI:10.1541/ieejias.139.180 ( 0)
|
| [8] |
唐伦, 魏延南, 马润琳, 等. 虚拟化云无线接入网络下基于在线学习的网络切片虚拟资源分配算法[J].
电子与信息学报, 2019, 41(7): 1533-1539 ( 0)
|
| [9] |
秦爽, 赵冠群, 冯钢. 基于多智体强化学习的接入网络切片动态切换[J].
电子科技大学学报, 2020, 49(2): 162-168 ( 0)
|
| [10] |
张蕾, 朱雪田, 李金艳. 5G网络切片在车路协同系统中的应用研究[J].
电子技术应用, 2020, 46(1): 12-16 ( 0)
|
| [11] |
牛犇, 游伟, 汤红波. 基于安全信任的网络切片部署策略研究[J].
计算机应用研究, 2019, 36(2): 574-579 ( 0)
|
| [12] |
王文琪, 徐湛, 田志刚. 基于QoS的5G切片间资源分配[J].
光通信研究, 2018(3): 59-63 ( 0)
|
| [13] |
张海龙, 陈磊, 唐悦, 等. 用电信息采集系统远程应急通道平台设计[J].
中国电力, 2018, 51(6): 113-120 ( 0)
|


0)