2. 陕西建工第九建设集团有限公司, 陕西 榆林 719000
2. Scene No.9 Construction Engineering Group Co., Ltd., Yulin 719000, China
叶片作为风力发电机的关键部件,其质量直接影响机组的运行效率[1]。由于叶片常年暴露在空气中,受风荷载及环境的侵蚀,极易造成损伤,在交变荷载作用下损伤不断发展,最终导致叶片折断[2],影响机组的安全运行。在内蒙古牧区,有大量的风力发电机因叶片故障而损坏,且大部分叶片属折断损伤,断裂部位大多靠近叶片根部或距叶尖三分之一叶长处[3]。当其中1个叶片折断时,将会给其他叶片造成冲击。本文从叶片不同折断位置受力分析开始,通过对其他叶片进行应力理论计算,得到突加荷载值,并对其他叶片进行有限元仿真分析,以此研究某个叶片突然断裂对其他叶片造成的影响。
1 叶片不同状态下的应力分布计算 1.1 叶片有限元模型选取某小型风力发电机叶片为研究对象,叶片材质为玻璃钢,弹性模量为1.1 × 1010 Pa,密度为2900 kg/m3,泊松比为0.22,边界条件设置为全约束。通过网格划分得到叶片有限元模型(见图 1)。
|
图 1 叶片有限元模型 |
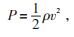
风力发电机正常工作时,叶片受重力、离心力和气动力的影响。重力和离心力很小,故在分析时忽略不计,而风力荷载可分解为垂直于风轮平面的法向力和切向力。由于叶片截面为扁平状,切向力产生的弯矩对叶片的弯曲和强度影响很小,可忽略不计[4-5]。因此,风力发电机叶片的载荷中仅考虑法向力P,其估算式为:
|
(1) |
式中:
v —正常风速,取4.7 m/s。
利用有限元模拟叶片在风载作用下的应力分布,结果如图 2所示。仿真分析表明,叶片根部是最容易损坏的地方;其次是叶片中部[5],应力值大于其他部位。
|
图 2 风载作用下叶片的应力分布 |
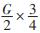
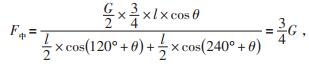
风力发电机某叶片初始位置设定为x轴正半轴方向,若旋转到θ角后折断,另2个叶片所受惯性力因沿其长度方向而作用于轮毂上,且惯性力对应的力臂为0,产生的力矩也为0,因此在考虑叶片的平衡条件时只考虑叶片重力的影响(见图 3)。突然消失的力矩对另2个叶片的影响相当于分别在其上施加力F1、F2,断裂叶片顺时针方向靠近的叶片设为叶片1,另一叶片设为叶片2,将消失的力矩按力臂进行分配。设叶片长度为l,重量为G,则有:
|
(2) |
|
(3) |
|
图 3 叶片根部折断后的受力分析 |
式中:F根—叶片从根部突然断裂时产生的力。
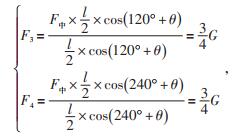
1.4 叶片在中部折断时的受力分析当风力发电机的某个叶片旋转到θ角从叶片中部折断后(如图 4所示),在折断的瞬间,整个叶片系统失去1个大小为 
|
(4) |
|
(5) |
|
图 4 叶片中部折断后的受力分析 |
式中:F中—叶片从中部突然断裂时产生的力。
2 风力发电机叶片有限元分析 2.1 叶片在根部折断后引起的动力响应 2.1.1 叶片1当风力发电机任一叶片在旋转到θ角时从根部突然折断,将叶片1受到的荷载F1分解为沿叶片长度方向的F1x和沿叶片旋转切线方向的F1y,则有:
|
(6) |
代入θ值求解F1x,F1y,再代入有限元模型进行计算,结果见表 1。叶片1的位移和应力云图见图 6、图 5。由图 5、图 6及表 1可知,在60°与240°时叶片1的位移值最大,60°时应力值最大。此时叶片1的方向为水平向左,纵向力达到最大,横向力为0。
| 表 1 叶片在根部折断后叶片1的位移、应力值 |
|
图 5 叶片在根部折断后叶片1位移云图 |
|
图 6 叶片在根部折断后叶片1应力云图 |
将叶片2所受荷载F2分解为沿叶片长度方向的F 2x和沿叶片旋转切线方向的F2y,其计算公式为:
|
(7) |
代入θ值求解F 2x、F2y,再代入有限元模型进行计算,结果如表 2所示。叶片2的位移和应力云图见图 7、图 8。由图 7、图 8及表 2可知,在150°与330°时叶片2的位移值最大,150°时应力值最大。
| 表 2 叶片在根部折断后叶片2的位移、应力值 |
|
图 7 叶片在根部折断后叶片2位移云图 |
|
图 8 叶片在根部折断后叶片2应力云图 |
当风力发电机任一叶片在旋转到θ角时从叶片中部突然折断,将叶片1所受荷载F3分解为沿叶片长度方向的F3x和沿叶片旋转切线方向的F3y:
|
(8) |
代入θ值求解F3x、F3y,代入有限元模型的计算结果如表 3所示。叶片1的位移和应力云图见图 9、图 10。由图 9、图 10及表 3可知,当任一叶片从中部断裂时,叶片1在60°时位移值最大,应力值最大。
| 表 3 叶片在中部折断后叶片1的位移、应力值 |
|
图 9 叶片在中部折断后叶片1位移云图 |
|
图 10 叶片在中部折断后叶片1应力云图 |
将叶片2所受荷载F4分解为沿叶片长度方向的F4x和沿叶片旋转切线方向的F4y:
|
(9) |
代入θ值求解F4x、F4y,再代入有限元模型,计算结果如表 4所示。叶片2的位移和应力云图见图 11、图 12。由图 11、图 12及表 4可知,叶片2在330°时,下叶根部位应力值偏大。
| 表 4 叶片在中部折断后叶片2的位移、应力值 |
|
图 11 叶片在中部折断后叶片2位移云图 |
|
图 12 叶片在中部折断后叶片2应力云图 |
本文分析计算了风力发电机某个叶片突然折断对其他叶片的影响,结果表明,风力发电机叶片在运行过程中,叶片中部和根部较其他位置更易发生折断,且突然断裂的叶片会使其他叶片在根部产生应力集中现象。因此应及时更换发电机受损叶片,以降低对其他叶片安全运行的影响。
| [1] |
朱荣帅.风力发电机叶片振动控制策略的研究[D].合肥: 安徽工程大学, 2019.
|
| [2] |
苏天, 薛刚, 刘书智. 基于动力特性的风力发电机叶片损伤识别有限元分析[J]. 内蒙古科技大学学报, 2017, 36(1): 45-50, 97. |
| [3] |
惠鹏, 郭永刚, 鞠伟. 风电场风力发电机组叶片失效断裂分析[J]. 科技创新导报, 2017, 14(33): 80-81. |
| [4] |
王昊, 范海哲, 李帅斌. 风力发电机叶片建模及有限元分析[J]. 上海电力学院学报, 2016, 32(3): 257-260. |
| [5] |
何建武, 刘超, 张正川, 等. 叶片故障时风力发电机组瞬态受力特性分析[J]. 风能, 2017(9): 58-63. |
2020, Vol. 38 


