2. 华北电力大学电气与电子工程学院, 河北 保定 071003;
3. 安徽电力定远供电有限责任公司, 安徽 滁州 233200
2. North China Electric Power University, Baoding 071003, China;
3. Anhui Dingyuan Power Supply Limited Liability Company, Chuzhou 233200, China
电力系统经济调度是指在满足机组负荷要求及各种约束条件的情况下,寻求成本最小的合理发电方式[1, 2],即在各种电源之间寻找最经济的运行状态。传统的火电机组需要消耗大量的化石能源,并排放出CO2、SO2及NOx等污染气体,对环境造成了严重的破坏,因此风能作为一种新型的清洁能源得到了越来越广泛的应用[3]。但是由于风电的反调峰特性和不确定性使得可调度的风电功率具有很大的波动性,因此有必要研究考虑大规模风电不确定性的合理的经济调度方案。
含风电场的电力系统经济调度主要是针对风电和火电的联合调度,近年来还考虑了对环境的影响(即环境效益)[4, 5, 6, 7, 8],对调度模型也进行了相应的优化改进。针对风电的不确定性对调度的影响,优化模型中引入正、负旋转备用容量约束[9],并在目标函数中引入风电场备用容量补偿(惩罚)成本[10];最终在多种约束条件下,计算得到机组的最优出力,同时还可以计算出各时段的最佳备用容量[11]。
本文在综合考虑环境效益及风电不确定性对电网运行成本影响的基础上,提出一种含风电场的电力系统动态经济调度模型,包含经济目标及污染物排放量目标。在调度模型中不仅引入由于风电不确定性引起的旋转备用容量增加而造成的备用容量惩罚成本,而且还引入由于系统安全稳定性及经济性限制而造成的风电场弃风成本。对于火电机组,除考虑其运行成本外,还将污染物排放量引入目标函数中。下面即对该调度模型进行介绍,并通过算例进行分析。 1 风电场运行成本建模 1.1 运营成本
由于风电不需要消耗能源,在计算风电场的投资及运行维护成本时,风电场运营成本与出力呈线性关系[11]:

式中FSjt-第j个风电场t时刻运营成本;
KSjt-第j个风电场出力在t时刻的运营价格;
PWSjt-第j个风电场在t时刻的计划调度出力。 1.2 风电场旋转备用容量补偿成本
风电的不确定性使得在风电并网后,其预测出力与实际出力存在偏差,电网的旋转备用容量也相应增加[12]。本调度模型基于可信度建立风电场旋转备用容量的补偿成本模型:

式中FFjt-第j个风电场在t时刻的旋转备用容量补偿成本;
KFjt-第j个风电场在t时刻的备用容量价格;
Ejt-第j个风电场预测出力在t时刻的可信度。 1.3 风电场弃风成本
大规模风电并网后,风电场出力大幅度变化,会影响火电机组的运行效率并造成火电机组的频繁启停[13],其增加的费用可能大于风电节省的费用;而且考虑到风电全额上网可能会造成电能质量及系统调峰不满足要求。因此在一定程度上允许风电场弃风,其成本为:

式中FNjt-第j个风电场在t时刻的弃风成本;
PWFjt-第j个风电场在t时刻的预测出力;
KNjt-第j个风电场t时刻的弃风容量价格,与风电预测出力相对于实际出力偏差的大小、方向及其概率(或置信度)信息有关。 2 含风电场的电力系统动态经济调度模型 2.1 经济目标函数
本文的经济目标函数包括2部分:火电机组运行成本函数和风电机组运行成本函数。 2.1.1 火电机组运行成本函数
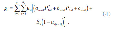
传统的火电机组运行要消耗化石能源,在成本函数中需要考虑煤耗成本,另外启停费用占总成本的比例也较大[14, 15],因此在火电机组运行成本中应考虑机组的启停成本。机组运行成本函数如下:

式中g1-火电机组运行成本;
aicoal、bicoal、cicoal-第i台机组煤耗量成本系数;
T-日调度总时段数,取24;
Nt-火电机组总数量;
uit-第i台机组在t时刻的启停状态,uit=1时表示运行状态,uit=0时表示停运状态;
PGit-第i台机组t时刻的输出功率;
Sit-第i台机组t时刻的启停费用;
由于约束条件设定了火电机组最小启停时间约束,因此机组在不同时刻的启停费用设定为固定常数。 2.1.2 风电机组运行成本函数
风电场的运行成本包括3部分:正常运营成本,旋转备用容量惩罚成本和弃风成本,其函数如下:

式中g2-风电场总运行成本;
Nw-风电场总数。 2.1.3 经济目标函数
根据以上分析,综合可得经济目标函数如下:

式中f1-调度模型的经济目标函数。 2.2 污染物排放量目标函数
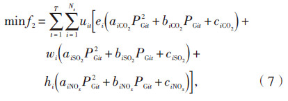
火电机组运行过程中会产生大量污染物,其中主要以碳化物(如CO2)、硫化物(如SO2)、氮化物(如NO、NO2等)为主[1]。在此以一定的权重系数计算污染物排放量。污染物排放量目标函数的计算如下:

式中f2-污染物排放量目标函数;
aiCO2,biCO2,ciCO2-第i台机组CO2排放量系数;
aiSO2,biSO2,ciSO2-第i台机组SO2排放量系数;
aiNOx,biNOx,ciNOx-第i台机组NOx排放量系数;
ei,wi,hi-第i台机组CO2、SO2、NOx排放量的权重系数。 2.3 电网系统约束条件 2.3.1 功率平衡约束
功率平衡约束条件:

式中Plt-电网系统t时刻的负荷。 2.3.2 旋转备用容量约束
电网旋转备用容量是电网安全、稳定运行的基础。旋转备用容量与风电出力预测误差等不确定性信息有关,故本文采用机会约束规划方法处理风电的不确定性,具体如下。
(1)正旋转备用容量约束:


式中PGmaxi-第i台火电机组的最大出力;
PGmaxit-第i台火电机组t时刻的最大出力;
Rui-第i台火电机组正爬坡率约束值;
Klup-电网系统负荷的正波动系数;
KWup-风电的正旋转备用系数;
β1-置信水平。
(2)负旋转备用容量约束:


式中PGmini-第i台火电机组的最小出力;
PGminit-第i台火电机组在t时刻的最小出力;
Rdi-第i台火电机组负爬坡率约束值;
Kldown-电网系统负荷的负波动系数;
β2-置信水平。 2.4 火电机组约束条件
(1) 机组出力约束:

(2) 机组爬坡率约束:

(3) 机组启停时间约束:

式中
,
第i台机组从上一状态改变至t时刻的持续开机、停机时间;
,
第i台机组的最小开机、停机时间。
2.5 风电机组出力约束条件
风电机组出力约束条件为:

式中PWmaxj—第j个风电场最大出力。 3 模型求解 3.1 基于NSGA-Ⅱ的模型求解算法流程
采用多目标优化求解方法中经典的非支配排序遗传算法(NSGA-Ⅱ)进行求解,以基于满意度的折中策略确定最优解在Pareto前沿中的位置。其流程如图 1。
![]() |
图 1 基于NSGA-Ⅱ的模型求解算法流程图 |
求出最优解集后,用最大满意度法求最优折中解。各非支配解的标准化满意度计算公式如下:

式中μk—第k个非支配解的标准化满意度;
第k个可行解中第m个目标函数的满意度;
N—非支配解的数量;
M—目标函数的数量。
在此选用偏小型满意度函数,其解析式为:

式中fm min,fm max—解集中第m个目标函数值的最小值和最大值,m∈{1,2};
第k个可行解中第m个目标函数值。
4 算例分析
4.1 算例参数
针对某区域电网进行算例分析,该区域包括10台火电机组和3个风电场,调度决策周期取24 h。10台火电机组额定容量依次为455 MW、455 MW、130 MW、130 MW、165 MW、80 MW、85 MW、55 MW、55 MW、55 MW。风电场每小时预测出力可信度为0.85,1号、2号风电场的营运价格为550元/MW,3号风电场为570元/MW;旋转备用容量价格为112元/MW;随机置信水平取0.85。3个风电场在研究周期(划分为24个时段,1 h为1时段,并按时间顺序编号)内各时段预测出力见表 1,该区域电网各时段的负荷见表 2。
| 表 1 风电场在各时段的预测出力 |
| 表 2 该区域电网各时段负荷 |
按上述参数进行计算,取弃风容量价格为500元/MW,可得火电机组各时段调度出力结果如表 3所示,3个风电场各时段调度出力如表 4所示。
| 表 3 弃风价格为500元/MW时火电机组各时段的调度出力 |
| 表 4 弃风价格为500元/MW时风电场各时段的调度出力 |
从表 3可以看出,在该调度模型下,火电机组的出力变化与电网负荷的变化趋势相同。而由表 4数据可以看出,由于考虑了风电场的弃风成本,风电场调度出力的变化趋势既不同于电网负荷的变化趋势,也不同于风电预测出力的变化趋势,而是两者共同作用的结果。 4.2.2 弃风对火电机组出力的影响
以1号火电机组为例,对其有、无弃风(风电全部上网)2种情况下的调度出力变化(见图 2)进行分析。由图 2可以看出,按一定弃风容量价格允许风电场弃风时,1号火电机组的运行出力在第10、11、12、13、14时段以及第16、17、18时段较不弃风时平稳;不考虑弃风时,风电按预测值全部上网,火电机组的出力相应降低。
![]() |
图 2 1号火电机组调度出力变化曲线 |
本调度模型考虑了由于风电场弃风引起的弃风成本,表 5给出了取不同风电弃风容量价格时,10台火电机组在24 h内的启停次数及污染物排放量的变化。
| 表 5 不同弃风容量价格的数据比较 |
由表 5数据可以看出,当弃风容量价格取250元/MW时,10台火电机组24 h都处于运行状态,没有机组启停变化。当弃风容量价格过低时,造成风电场弃风量较大,通过小机组的启停主要应对负荷的变化;当弃风容量价格过高时,由于经济性要求限制了风电场的弃风量,而大量风功率的接入,增加了该地区电网运行的不确定性,此时通过机组的启停主要应对风功率的不确定性波动。随着弃风容量价格的增大,风电场弃风量受到限制,大量风功率的接入也在一定程度上减少了污染物的排放量。 4.2.4 结论
通过实例计算可以看出,风电场允许一定量的弃风,不仅可以有效减少大容量火电机组出力的波动,使机组运行更加平稳,从而提高火电机组的运行效率;选取适当的弃风容量价格,可以减少小容量火电机组的启停次数,从而减小机组的频繁启停对火电机组运行寿命的影响。 5 结语
本文提出的电力系统动态经济调度模型,在经济性目标函数中引入由于风电不确定性引起的备用容量增加带来的备用容量惩罚成本及由于风电场弃风带来的弃风成本;同时考虑到环境效益,模型中引入了污染物排放量目标函数;并采用NS-GA-Ⅱ算法对模型进行求解。对于含大规模风电场的电网系统,此模型亦具有广泛的适用性。
| [1] | 任博强,彭鸣鸿,蒋传文,等.计及风电成本的电力系统短期经济调度建模[J].电力系统保护与控制,2010,38(14):67-72. |
| [2] | 田廓,曾鸣,鄢帆,等.考虑环保成本和风电接入影响的动态经济调度模型[J].电网技术,2011,35(6):54-59. |
| [3] | Ummels B C,Gibescu M,Pelgrum E,et al.Impacts of Wind Power on Thermal Generation Unit Commitment and Dispatch[J].IEEE Transactions on Energy Conversion,2007,22(1):44-51. |
| [4] | 王开艳,罗先觉,吴玲,等.清洁能源优先的风-水-火电力系统联合优化调度[J].中国电机工程学报,2013,33(13):27-35. |
| [5] | 李泓泽,郭森,王宝.我国风力发电的环境价值分析[J].能源技术经济,2011,23(7):35-39. |
| [6] | 周双喜,王海超,陈寿孙.风力发电运行价值分析[J].电网技术,2006,30(14):98-102. |
| [7] | 胡庆有.含大规模风光互补电力的电力系统动态经济调度研究[D].成都:西南交通大学,2010:1-62. |
| [8] | 袁铁江,晁勤,吐尔逊·伊不拉音,等.大规模风电并网电力系统动态清洁经济优化调度的建模[J].中国电机工程学报,2010,30(31):7-13. |
| [9] | 周玮,彭昱,孙辉,等.含风电场的电力系统动态经济调度[J].中国电机工程学报,2009,29(25):13-18. |
| [10] | 袁铁江,晁勤,吐尔逊·伊不拉音,等.电力市场环境下含风电机组的环境经济调度模型及其仿真[J].电网技术,2009,33(6):67-71. |
| [11] | 赵晋泉,唐洁,罗卫华,等.一种含风电电力系统的日前发电计划和旋转备用决策模型[J].电力自动化设备,2014,34(5):21-27. |
| [12] | 王彩霞,乔颖,鲁宗相.考虑风电效益的风火互济系统旋转备用确定方式[J].电力系统自动化,2012,36(4):16-21. |
| [13] | 刘文颖,文晶,谢昶,等.基于源荷互动的含风电场电力系统多目标模糊优化调度方法[J].电力自动化设备,2014,34(10):56-64. |
| [14] | 龙军,莫群芳,曾建.基于随机规划的含风电场的电力系统节能优化调度策略[J].电网技术,2011,35(9):133-138. |
| [15] | WU Wenchuan,CHEN Jianhua,ZHANG Boming,et al.A Robust Wind Power Optimization Method for Look-Ahead Power Dispatch[J].IEEE Transactions on Sustainable Energy,2014,5(2):507-515. |
| [16] | 陈启鑫,康重庆,夏清,等.低碳电力调度方式及其决策模型[J].电力系统自动化,2010,34(12):18-23. |
2015, Vol. 33 






