无刷励磁系统具有输出励磁电流大、故障率低、污染小、维护简单等优点,近年来成为大型同步发电机组优选的励磁方式[1-2]。旋转整流器二极管是无刷励磁系统中较高的故障风险点,由于旋转整流器长时间随发电机高转速、高负荷工作,巨大的离心力、过高的电负荷和热负荷将催生二极管的开路故障[3-4]。无刷励磁机的旋转二极管与电枢绕组直接相连,二极管的运行状态对励磁机的电磁状态及机组的受力与振动等机械特征有显著影响[5]。旋转二极管发生开路故障后,故障二极管应导通时却无法导通,将造成电枢电路不对称,进一步诱发气隙磁场不对称,导致转子承受不平衡的电磁力作用,并引起转子铁心振动规律的改变。因此,由二极管开路故障引起的励磁机转子不平衡磁拉力及振动特征也应受到重视,然而目前国内外尚未有相关文献对此进行研究。
关于不平衡磁拉力及振动特征,目前在异步电动机、水轮发电机和汽轮发电机领域研究较多。文献[6]总结了异步电动机转子偏心时计算不平衡磁拉力的算法及削弱不平衡磁拉力的方法;文献[7]研究了异步电动机转子在不同静偏心、动偏心及混合偏心时不平衡磁拉力的特征;文献[8]研究了水轮发电机转子绕组匝间短路对气隙磁通密度和不平衡磁拉力的影响;文献[9]在二维有限元计算和麦克斯韦应力张量法的基础上,提出一种精度较高的水轮发电机转子偏心故障时的不平衡磁拉力计算方法,文献[10]采用解析和数值两种方法计算了汽轮发电机转子绕组匝间短路时的不平衡磁拉力,研究了发电机励磁电流和负载变化对不平衡磁拉力的影响;文献[11]从理论推导、有限元计算和模拟试验三方面研究了汽轮发电机在径向静态气隙偏心、轴向静态气隙偏心及三维混合静态气隙偏心情况下的不平衡磁拉力特征。
本文以某核电5.8 MW内转子式三相无刷励磁机为研究对象,根据电枢绕组的接线方式和导通规律推导旋转二极管故障后电枢磁场的变化特征,利用解析法对二极管开路故障情况下转子铁心进行受力分析,得到转子铁心所受到的分布电磁力特征,并通过数值仿真对分析结果进行验证,预测了转子铁心的振动频率,提出将励磁机转子铁心的振动特征作为诊断旋转整流器二极管开路故障的辅助依据,以提升核电励磁机旋转整流器二极管开路故障的信息利用水平及其诊断可靠性。
1 无刷励磁机电枢结构及磁场特征 1.1 电枢结构无刷励磁系统的功率单元由无刷励磁机、旋转整流器及发电机励磁绕组等组成。无刷励磁机、旋转整流器与发电机励磁绕组同轴相连,无刷励磁机发出的交流电流经旋转整流器整流后送入发电机的励磁绕组实现励磁。以本文所研究的5.8 MW三相无刷励磁机为例,励磁系统功率单元的整体结构如图 1所示。
|
| 图 1 无刷励磁系统结构示意图 Figure 1 Schematic diagram of brushless excitation system |
该无刷励磁机有8对静止的磁极,电枢(转子)共有96个槽,电枢绕组为三相结构,采用双层波绕组连接方式,每相绕组有16个并联支路,每个支路占4个槽,绕组连接图如图 2所示。
|
| 图 2 电枢绕组连接图 Figure 2 Connection diagram of armature winding |
电枢绕组的每条支路与一个整流桥臂相连,根据整流电路特征,当某两相电枢绕组在任意时刻感应电势差值达到最大时,与这两相电枢绕组支路相连的桥臂上对应的二极管将处于导通状态,使得这两相电枢绕组也处于导通状态,流过相同的电流,另一相绕组则处于关断状态。励磁机电枢绕组的导通时序为:UV→UW→VW→VU→WU→WV,每一个时序导通60°电角度。由于换相过程短暂,且发电机励磁绕组电感很大,可近似认为各相绕组导通后电流立即上升为最大值,且在导通阶段一直保持不变,直至其关断时降为零。
根据电枢绕组的空间对称性及导通规律相似性,可以任意一相、任意支路所连接的桥臂上的二极管为例,对本文选择U相绕组第5条支路(A5)正半桥臂的二极管作为分析对象进行分析。以U相绕组正向导通时段为例,作出二极管在UV→UW换相过程中电枢绕组的电流分布及对应的电枢磁势图,如图 3、图 4所示。因U相反向导通时的磁势波形与正向导通时类似,只是波形方向相反,故对此不作研究。
|
| 图 3 二极管正常时电枢绕组换相过程电枢电流分布及电枢磁势波形图 Figure 3 Armature current distribution and armature magnetomotive force waveform diagram of the armature winding commutation process when the diode is normal |
|
| 图 4 二极管故障时电枢绕组换相过程电枢电流分布及电枢磁势波形图 Figure 4 Armature current distribution and armature magnetomotive force waveform diagram of the armature winding commutation process when a diode fault occurs 图中:U、V、W相的导体分别用黄色、绿色、红色表示,A5支路导体用蓝色表示。 |
从图 4可以看出,A5支路正半桥臂二极管发生开路故障后,A5支路电流为零,电枢电流的整体分布变得不对称,A5支路所处区域附近的电枢磁势波形发生畸变,幅值出现明显降低。对比二极管正常时的磁势波形图,得到二极管故障后电枢磁势增量波形,见图 5。
|
| 图 5 二极管故障后UV/UW导通时段电枢增量磁势图 Figure 5 Armature magnetomotive force increment diagram during the UV/UW conduction period after a diode fault 图中:ΔF—电枢磁势增量。 |
当A5支路正半桥臂二极管故障后,故障二极管支路处出现电枢磁势增量,且在V、W换相过程中保持不变,其位置取决于A5支路的空间位置,并且随着电枢同步旋转。
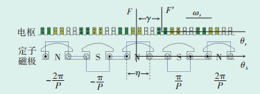
2 转子不平衡磁拉力解析计算励磁机的气隙磁势由励磁磁势与电枢磁势合成。励磁磁势由定子绕组通入直流励磁电流产生,其部分波形如图 6所示。
|
| 图 6 励磁磁势波形 Figure 6 Excitation magnetomotive force waveform 图中:P—无刷励磁机的极对数;η—缠绕在单个磁极上线圈的距离角;ωr—电枢旋转的机械角速度;γ—定、转子轴线的夹角;θr—转子空间机械角度;θs—定子空间机械角度。 |
从图 6可以看出,励磁磁势在空间呈周期为2π/ P机械角度的矩形波,假设定转子间气隙均匀并忽略铁心的磁压降,以图中方式建立坐标系,在整个电动机圆周[-π,π]区间内励磁磁势Ff(θs)可表示为:
|
(1) |
式中:Nf为每极励磁绕组匝数,If为励磁机励磁电流。将式中的θs用θr + γ(γ = ωrt + γ0,γ0为t = 0时的转子初始位置角)代替,将励磁磁势表达式由定子坐标系转换到转子坐标系,转换后的表达式为:
|
(2) |
励磁机正常运行时,忽略换相过程,认为电枢绕组导通后电流保持不变,任意时刻电枢绕组只有两相导通,电枢磁势为导通相绕组磁势的合成。现以UV相导通时段为例,根据上述假设,则U相磁势和V相磁势的波形分布见图 7。
|
| 图 7 UV导通时段电枢磁势波形图 Figure 7 Waveform diagram of armature magnetomotive force during the UV conduction period |
若电枢每槽绕组总匝数为Na,相电流有效值为Ia,电枢槽间角为α(机械角度),UV导通时段U、V两相磁势可以表示为:
|
(3) |
|
(4) |
则在UV导通时段励磁机电枢磁势为:
|
(5) |
其中,Fak为电枢磁势各次谐波幅值,二极管正常时电枢绕组UV导通时段气隙合成磁势Fδ(θr) 为:
|
(6) |
式中:Ffj表示励磁磁势各次谐波幅值。式(6)为二极管正常时UV导通时段励磁机的气隙磁势,实际上,根据电枢绕组的导通规律和电枢磁场的移位特征,电枢绕组的其他各个导通时段的气隙磁势均与UV导通时的气隙磁势相同。
当A5支路正半桥臂二极管故障后,其附近出现与转子同步旋转的磁势增量(见图 8),该增量的幅值取决于A5支路中电流的大小及线圈匝数。为了方便列出计算磁势表达式,以磁势增量的中分线为纵轴建立独立的坐标系,电枢磁势增量ΔF见图 8。
|
| 图 8 电枢磁势增量分布图 Figure 8 Distribution of armature magnetomotive force increment |
为了分析简化,忽略A5支路正半桥臂二极管故障后非A5支路磁势增量,A5支路磁势增量ΔF在[-π,π]区间可以表示为:
|
(7) |
将式(7)中的θ′r用θr + θ0代替,将式(7)与式(6)转换在同一坐标系中,θr为两式所在坐标系的纵轴相差的位置角。经坐标系转换后ΔF(θ′r) 表示为:
|
(8) |
A5支路正半桥臂二极管发生开路故障后,根据叠加原理,励磁机的气隙磁势可以近似等效为二极管正常时的气隙磁势与二极管故障后产生的电枢磁势增量之和,则此时励磁机气隙磁势为:
|
(9) |
式中:ΔFm为电枢磁势各次谐波分量幅值。
无刷励磁机的磁极通常为凸极结构,气隙不均匀,气隙磁导λδ(θr) 可以表示为[12]:
|
(10) |
式中:λ0为气隙磁导的常数项,λ2n为气隙磁导的各次谐波幅值。为简化计算,只考虑气隙合成磁势中励磁磁势和电枢磁势的基波,气隙磁导只考虑常数项和二次谐波,根据气隙磁导法[13],得到二极管故障后气隙磁通密度的简化表达式为:
|
(11) |
根据麦克斯韦应力张量法[13],得到转子所受不平衡磁拉力在转子坐标系下的x轴分量和y轴分量:
|
(12) |
|
(13) |
式中:FUMPx为转子不平衡磁拉力x轴分量中交变电磁力幅值,FCx为常数磁拉力幅值;FUMPy为转子不平衡磁拉力y轴分量中交变电磁力幅值,FCy为常数磁拉力幅值。从式(12)(13)可以看出,理论上,当二极管发生开路故障后,励磁机转子所受不平衡磁拉力应包含两个分量,一个是与电枢电势同频的Pωr/2π Hz分量,另一个是随转子同步旋转的常数分量。
3 定子坐标系下不平衡磁拉力特征预测无刷励磁机电枢每转过一对磁极,三相电枢绕组共发生6次换相。当A5支路正半桥臂二极管发生开路故障后,在电枢绕组的UV相、UW相导通时段(这两个时段是连续的,在一个电气周期内占据120°电角度),A5支路因阳极二极管断开而无法导通,致使励磁机电枢电流分布及主磁场不对称,转子因而承受不平衡磁拉力;在电枢绕组VW相、VU相、WU相、WV相导通时段内电枢绕组正常导通,励磁机主磁场对称,转子不承受不平衡磁拉力。本文研究的5.8 MW无刷励磁机共有8对极,在每个电周期360°内(360°/8个机械周期),A5支路正半桥臂二极管应导通但无法导通时段占据120°电角度,此时产生脉冲电磁力,而其他240°电枢磁势恢复正常,无脉冲电磁力,故在一个旋转周期内转子将先后受到8次不平衡磁拉力的作用。
根据式(12)和式(13),在转子坐标系下的不平衡磁拉力既包含直流分量,也包含角频率为Pωr的谐波分量,这些分量在向定子坐标系下投影时,将被角频率为ωr的正弦波调制(向定子坐标系下的x′轴、y′轴方向分解),调制后的波形受二极管周期性通断的影响,将被进一步调制成为8个幅值不等的脉冲,如果用标幺值来表示,其波形及频谱如图 9所示。
|
| 图 9 直流不平衡磁拉力及其Fx′、Fy′分量 Figure 9 DC unbalanced magnetic pull and its Fx′ and Fy′ components |
从图 9频谱中可以看出,二极管故障后,转子所受不平衡磁拉力在定子坐标系下的x′轴分量Fx′和y′轴分量Fy′均含有幅值较高的25 Hz基频,175 Hz、225 Hz、375 Hz和425 Hz的谐波分量,即ωr/2π Hz、(P±1)ωr/2π Hz、(2P±1)ωr/2π Hz的谐波分量,根据激励-响应之间的关联关系,这些谐波分量将激发出转子同频率的振动,因此,在励磁机两端轴的水平方向和垂直方向分别安装振动传感器,即可获取这些振动特征。
4 不平衡磁拉力的有限元计算无刷励磁机旋转二极管开路故障可以在小容量发电机组上模拟,但由于小机组的振动信号太弱,无法准确反映不平衡磁拉力的特性。此外,目前无法在大容量无刷励磁机上进行整流二极管开路试验,因此本文通过有限元仿真验证不平衡磁拉力特征频率。
根据有限元仿真结果,选取励磁机一个旋转周期内不平衡磁拉力的200个数据点,绘出如图 11所示的不平衡磁拉力矢量图。
|
| 图 10 8ωr谐波不平衡磁拉力及其Fx′、Fy′分量 Figure 10 8ωr harmonic unbalanced magnetic pull and its Fx′ and Fy′ components |
|
| 图 11 转子不平衡磁拉力矢量图 Figure 11 Unbalanced magnetic pull of the rotor represented by the vector 图中:t—实际时间;T—励磁机一个旋转周期。 |
从图 11可以看出,在单旋转周期内,不同时间点不平衡磁拉力脉冲的方向是变化的,本文研究的5.8 MW无刷励磁机共有8对磁极,每当故障二极管支路转过一对磁极,转子承受一次脉冲不平衡磁拉力作用,转子旋转一周,共产生8个沿圆周均匀分布的脉冲性质的不平衡磁拉力簇。从图 11还可以看出,有脉冲磁拉力簇区域大致占据了1/3空间,这与故障二极管应导通的120°电角度相对应,无脉冲磁拉力簇区域则占据了2/3空间,对应故障支路应关断阶段(240°电角度),与理论分析相吻合。
图 12为无刷励磁机定子坐标系下的转子不平衡磁拉力有限元仿真波形及频谱图。从图 12(a)波形图中可以看到:转子在一个旋转周期内共承受8次不平衡磁拉力脉冲作用,电磁力脉冲的频率为200 Hz。由于该脉冲电磁力的方向随着电枢旋转而旋转,故其在x′轴和y′轴方向的分量呈现正弦波性质,从图 12(b)和12(c)波形图中可以明显看到,不平衡力脉冲的包络线呈现出显著的正弦波性质。图 16(a)的波形图中,受故障二极管对各分支电流分布的影响(理论分析部分未予考虑),在故障二极管应关断阶段,实际上励磁机仍存在轻微的磁场不平衡,并产生小幅的不平衡磁拉力。
|
| 图 12 转子不平衡磁拉力及其Fx′、Fy′分量 Figure 12 Unbalanced magnetic pull of rotor and its Fx′and Fy′ components |
从图 12(a)频谱图可以看出,合力F中包含显著的直流分量和200 Hz分量,与理论分析吻合。同时,合力中也包含了400 Hz、600 Hz等谐波,这些谐波分别是200 Hz成分的2倍和3倍倍频,这是脉冲型不平衡磁拉力进行傅里叶分解所必然含有的。图 12(b)和图 12(c)的频谱图中含有明显的25 Hz、175 Hz、225 Hz、375 Hz、425 Hz等频率分量(即ωr/ 2π Hz、(P±1)ωr2π Hz、(2P±1)ωr/2π Hz谐波分量),其中25 Hz与合力F中的直流分量相对应,而175 Hz和225 Hz谐波与合力F中的200 Hz相对应,375 Hz和425 Hz谐波与合力F中的400 Hz相对应,这些都是由旋转的合力F向静止坐标系下分解的结果,与图 10的理论预测吻合。
5 结论针对旋转整流桥二极管开路故障对励磁机转子振动特性的影响,分析了单个二极管开路故障后励磁机的主磁场和转子受力特征,得出以下结论:
(1)无刷励磁机电枢绕组的导通规律取决于旋转整流桥二极管的通断规律,二极管故障后,故障二极管所在支路电流为零,附近电枢磁势降低,出现与转子同步旋转的增量磁势,导致励磁机气隙磁场不对称,转子承受不平衡磁拉力。
(2)旋转二极管发生开路故障后,励磁机转子只在故障二极管应导通时刻承受不平衡磁拉力,在其他时刻励磁机主磁场对称,转子受力情况与二极管正常时无异。在励磁机的一个旋转周期内,转子承受不平衡磁拉力的次数与励磁机的极对数有关,转子每旋转过一对极,转子将承受一次不平衡磁拉力作用。
(3)对于角频率为ωr和极对数为P的三相无刷励磁机,当旋转二极管发生开路故障后,其转子所承受电磁应力的ωr/2π Hz、(P±1)ωr/2π Hz、(2P±1)ωr/ 2π Hz的特征谐波幅值将明显增大,根据激励与相应的直接关系,这些电磁力谐波将激发出转子铁心同频率的振动,这些振动特征频率是无刷励磁机发生其他故障时不存在的,并且可以利用安装在励磁机x轴和y轴的振动传感器测得,可以利用这些振动特征频率在线监测旋转二极管的开路故障。
| [1] |
郝亮亮, 李佳慧, 李洪学, 等. 核电多相角形无刷励磁系统旋转二极管开路故障特征分析[J].
电力系统自动化, 2019(11): 112-120 HAO Liangliang, LI Jiahui, LI Hongxue, et al. Characteristic Analysis of Open-circuit Fault of Rotating Diode in Nuclear Multi-phase Angular Brushless Excitation System[J]. Automation of Electric Power Systems, 2019(11): 112-120 ( 0)
|
| [2] |
郝亮亮, 胡启昊, 张扬, 等. 多相环形无刷励磁系统的运行特性分析[J].
电机与控制学报, 2021, 25(7): 30-39 HAO Liangliang, HU Qihao, ZHANG Yang, et al. Analysis of operation characteristics of multiphase annular brushless excitation system[J]. Electric Machines and Control, 2021, 25(7): 30-39 ( 0)
|
| [3] |
WU Yucai, CAI Bochong, MA Qianqian. An on-line diagnostic method for rotary diode open-circuit faults in brushless exciters[J].
IEEE Transactions on Energy Conversion, 2018, 33(4): 1677-1685 DOI:10.1109/TEC.2018.2831241 ( 0)
|
| [4] |
WU Yucai, CAI Bochong, MA Qianqian. Research on an online diagnosis for rotating diode faults in three phase brushless exciter with two coils[J].
IET Electric Power Applications, 2019, 13(1): 101-109 DOI:10.1049/iet-epa.2018.5161 ( 0)
|
| [5] |
Salah M., Bacha K., Chaari A., et al. Brushless three-phase synchronous generator under rotating diode failure conditions[J].
IEEE Transactions on Energy Conversion, 2014, 29(3): 594-600 DOI:10.1109/TEC.2014.2312173 ( 0)
|
| [6] |
武玉才, 李和明, 李永刚, 等. 在线检测发电机转子绕组匝间短路的新方法[J].
高电压技术, 2009, 35(11): 2698-2703 WU Yucai, LI Heming, LI Yonggang, et al. New Online Diagnosis Method for Generator Rotor Winding Inter-turn Short Circuit[J]. High Voltage Engineering, 2009, 35(11): 2698-2703 ( 0)
|
| [7] |
Salah A. A., Dorrell D.G., Guo Y.. A review of the monitoring and damping unbalanced magnetic pull in induction machines due to rotor eccentricity[J].
IEEE Transactions on Industry Applications, 2019, 55(3): 2569-2580 DOI:10.1109/TIA.2019.2892359 ( 0)
|
| [8] |
武玉才, 安清飞, 马倩倩, 等. 水轮发电机转子典型机电故障的不平衡磁拉力研究[J].
水电能源科学, 2020, 38(1): 156-160 WU Yucai, AN Qingfei, MA Qianqian, et al. Study on Hydro-generator Unbalanced Magnetic Pull under the Typical Electromechanical Faults of Rotor[J]. Water Resources and Power, 2020, 38(1): 156-160 ( 0)
|
| [9] |
Dirani H.C., Merkhouf A., Kedjar B., et al. Rotor interturn short circuit impact on large hydrogenerator magnetic quantities[J].
IEEE Transactions on Industry Applica tions, 2018, 54(4): 3702-3711 DOI:10.1109/TIA.2018.2814560 ( 0)
|
| [10] |
Wang L., Cheung R.W., Ma Z., et al. Finite-element analysis of unbalanced magnetic pull in a large hydrogenerator under practical operations[J].
IEEE Transactions on Magnetics, 2008, 44(6): 1558-1561 DOI:10.1109/TMAG.2007.916023 ( 0)
|
| [11] |
武玉才, 李永刚, 冯文宗, 等. 汽轮发电机转子绕组短路产生的不平衡磁拉力研究[J].
电机与控制学报, 2015, 19(3): 37-44 WU Yucai, LI Yonggang, FENG Wenzong, et al. Analysis on unbalanced magnetic pull generated by turn-toturn short circuit of rotor windings within turbine generator[J]. Electric Machines and Control, 2015, 19(3): 37-44 ( 0)
|
| [12] |
李伟, 杨晓辉, 徐大鹏, 等. 基于补偿短路的汽轮发电机转子匝间短路RSO测试方法[J].
内蒙古电力技术, 2021, 39(2): 7-10 LI Wei, YANG Xiaohui, XU Dapeng, et al. RSO Test Method of Turbo-Generator Rotor Interturn Short Circuit Based on Short Circuit Compensation[J]. Inner Mongolia Electric Power, 2021, 39(2): 7-10 ( 0)
|
| [13] |
高景德, 王祥珩, 李发海.
交流电机及其系统的分析[M]. 北京: 清华大学出版社, 2005.
( 0)
|
2022, Vol. 40


0)