文章信息
- 冯琦雅, 陈超凡, 覃林, 何亚婷, 王鹏, 段艺璇, 王雅菲, 何友均
- Feng Qiya, Chen Chaofan, Qin Lin, He Yating, Wang Peng, Duan Yixuan, Wang Yafei, He Youjun
- 不同经营模式对蒙古栎天然次生林林分结构和植物多样性的影响
- Effects of Different Management Models on Stand Structure and Plant Diversity of Natural Secondary Forests of Quercus Mongolica
- 林业科学, 2018, 54(1): 12-21.
- Scientia Silvae Sinicae, 2018, 54(1): 12-21.
- DOI: 10.11707/j.1001-7488.20180102
-
文章历史
- 收稿日期:2017-03-31
- 修回日期:2017-12-14
-
作者相关文章
2. 广西大学 南宁 530004
2. Guangxi University Nanning 530004
天然次生林是森林资源的重要组成部分。1990—2015年, 由于受到火灾、病虫害和极端天气影响, 世界天然次生林面积仅由23.15亿hm2增长到23.30亿hm2, 占森林总面积的比重也仅由56.08%增长到58.27%。与此同时, 我国第八次森林资源清查结果显示, 占全国森林面积一半以上的天然林中绝大多数为中幼龄、质量不高、生产力十分低下的次生林。如何缩短天然次生林自然演替过程, 加速森林恢复进程, 实现生态、经济和社会三大效益最大化的多重目标已成为国内外学者的研究热点(何友均等, 2013)。
林分结构和物种多样性作为森林恢复状态和演替进程的主要表现形式, 是研究恢复生态学和森林经营学的重要基础(臧润国等, 2001; Pitman et al., 2013; 崔宁洁等, 2014), 也是衡量森林群落功能复杂性和稳定性的重要指标(Tilman et al., 2006; Adrian et al., 2010; Rota et al., 2014)。研究表明, 不同经营模式, 包括目标树经营、综合抚育经营等, 对森林群落结构和生物多样性均有显著影响(Vidal, 2008; Schweitzer et al., 2011; Souza et al., 2012; Shaheen et al., 2012; 何友均等, 2013; Gamfeldt et al., 2013; 郝剑锋等, 2014)。但以往研究主要关注人工林经营及人工林向近自然林转化过程中群落结构和物种多样性的变化, 而对天然林关注较少, 且研究重点多为天然林的恢复、更新、演替与环境因子、经营模式与措施的相关性等(Zhang et al., 2013; Deng et al., 2014; 梁星云等, 2013; 戎建涛等, 2014; Valdez-Hernández et al., 2014)。森林经营对天然次生林群落结构和生物多样性的影响及其机制尚不清楚, 有待进一步研究。
蒙古栎(Quercus mongolica), 又名柞树, 落叶乔木, 广泛分布于我国东北、华北和内蒙古东部等地, 是一种具有很高经济和生态价值的树种(远皓等, 2016)。历史上由于人为强烈干扰, 东北原生植被遭到破坏后形成了较大面积的蒙古栎天然次生林, 且由于其价值没有获得充分重视, 过去一直未能将蒙古栎次生林恢复作为森林经营的重点(苏芳莉等, 2007), 从而导致目前东北林区蒙古栎次生林种群结构和生态功能不断退化, 多以中、幼林龄为主, 林分密度大, 生长缓慢, 生产力低下(尤文忠等, 2015)。如何通过合理的森林经营管理活动, 改善林分群落结构、完善生态功能已成为当前亟待解决的科学问题(王颖等, 2014)。本研究以黑龙江省哈尔滨市丹清河实验林场的蒙古栎天然次生林群落为研究对象, 揭示目标树经营、综合抚育经营和无干扰3种经营模式对群落结构和植物多样性的影响机制, 以期为蒙古栎天然次生林恢复、森林质量提升及可持续经营提供科学依据。
1 研究区概况研究区位于黑龙江省哈尔滨市丹清河实验林场(129°11′—129°25′E, 46°31′ —46°39′ N)。该林场地处小兴安岭南坡, 属低山丘陵地带, 海拔190~1 028 m, 平均海拔500 m; 土壤类型以暗棕壤为主; 属中温带大陆性季风气候, 夏季湿润多雨, 冬季寒冷漫长, 降雨集中在7—8月, 年降雨量600 mm, 年蒸发量1 250 mm, 年日照时数2 200 h, 年均气温2 ℃, ≥10 ℃年积温2 300 ℃, 全年无霜期120天。
林场原有植被以红松(Pinus koraiensis)阔叶混交林为主, 历史上经过大规模采伐后, 如今形成了以红皮云杉(Picea koraiensis)、蒙古栎、黑桦(Betula dahurica)和白桦(Betula platyphylla)为主的阔叶混交林, 此外, 还包括紫椴(Tilia amurensis)、糠椴(Tilia mandshurica)、黄檗(Phellodendron amurense)、臭冷杉(Abies nephrolepis)、山杨(Populus davidiana)、色木槭(Acer mono)和黄榆(Ulums macrocarpa)等乔木树种; 灌木树种包括茶条槭(Acer tataricumsubsp.ginnala)、朝鲜荚蒾(Viburnum koreanum)、大叶小檗(Berberis ferdinandi-coburgii)、胡枝子(Lespedeza bicolor)、辽东楤木(Aralia elata)、暖木条荚蒾(Viburnum burejaeticum)、卫矛(Euonymus alatus)、小叶鼠李(Rhamnus parvifolia)、长白忍冬(Lonicera ruprechtiana)、暴马丁香(Syringareticulatasubsp.amurensis)、毛榛(Corylus mandshurica)、鸡树条荚蒾(Viburnum opulusvar. calvescens)、东北山梅花(Philadelphus schrenkii)和刺五加(Eleutherococcus senticosus)等100多种; 草本植物有薹草属(Carex)、垂梗繁缕(Stellaria radians)、二叶舞鹤草(Maianthemum bifolium)、猴腿蹄盖蕨(Athyrium brevifrons)、黄连花(Lysimachia davurica)、宽叶山蒿(Artemisia stolonifera)、毛蕊老鹳草(Geranium platyanthum)、透镜冷水花(Pilea pumila)、小叶芹(Aegopodium alpestre)、两型豆(Amphicarpaea edgeworthii)、紫斑风铃草(Campanula punctata)、褐毛铁线莲(Clematis fusca)和透骨草(Phryma leptostachya)等。
为了改善蒙古栎天然次生林群落结构, 提高生态系统服务功能, 林场从1999年开始对起始条件一致(林分年龄约为63年, 密度约为850株·hm-2)的蒙古栎天然次生林开展了以下3种经营模式的对比试验, 经营模式因经营目标不同而异(表 1)。
|
|
1) 目标树经营模式 以近自然经营理念为指导, 以培育多功能森林和高价值用材为核心目标, 通过人工干预选取质量好且具有活力的林木作为目标树进行抚育经营, 对影响目标树生长的干扰树进行择伐, 对林下灌草进行清理或折灌, 人工辅助林下乔木树种更新并因地制宜栽植乡土树种(陆元昌, 2006)。本研究选取的蒙古栎天然次生林目标树经营模式除遵循上述目标树选择和管理原则外, 实施过程中还秉持以天然更新为主、天然更新不足时以人工更新作为补充的原则。在抚育采伐方面的经营措施为:1999年透光抚育, 抚育强度约45%, 设计林分保留密度(位于林冠层优势植株的密度, 其胸径通常在20 cm以上, 不包括林下植株)约468株·hm-2; 2004年疏伐, 强度约40%, 林分保留密度约280株·hm-2; 2010年在林分胸径生长量有所下降、目标树受到影响的情况下, 实施生长伐, 强度约70%, 林分保留密度约84株·hm-2。在3次抚育采伐中, 均对影响目标树更新的林下树种和灌草采取折灌清理措施, 并相应地补植一些以红松为主的乡土树种。
2) 综合抚育经营模式 以景观生态学和生态系统生态学等理论为指导, 以恢复和保持森林生态系统健康状态、改善生态系统结构和提升生态系统功能为主, 同时兼顾木材生产等多重目标, 人工促进天然更新, 形成稳定的生态系统(Maltamo et al., 2014; 刘世荣等, 2015; Hartikainen et al., 2016)。本研究选取的蒙古栎天然次生林综合抚育经营模式除遵循上述理念和原则外, 主要经营措施为:1999年透光抚育, 抚育强度约45 %, 林分保留密度约468株·hm-2; 2004年疏伐, 强度约40%, 林分保留密度约280株·hm-2。每次抚育作业, 尽量保留原有灌木和草本, 保护林下更新的乔木树种, 尽量减少对土壤生态系统的扰动。
3) 无干扰模式 利用自然力恢复, 即通过加强管护和封育, 防止人畜干扰, 以自然更新为主的经营模式。
2 研究方法 2.1 样地设置与植被调查2016年8—9月, 采用样地调查法, 分别选取3种不同经营模式蒙古栎天然次生林建立调查样地(表 1), 每种经营模式随机布设20块20 m× 20 m样地, 对样地中胸径>1 cm的林木进行每木检尺, 记录林木树种、胸径、树高和冠幅。在每块样地的4角和中心位置分别设置2 m×2 m灌木样方, 记录样方内灌木的种类、株数、平均高度和盖度等。在每个2 m×2 m灌木样方中心位置设置1个1 m×1 m草本样方, 调查草本植物种类、株数、平均高度和盖度。
2.2 数据分析方法采用树种组成、林分平均因子、林木径级结构和林木胸高断面积垂直分布等指标衡量林分结构。计算不同经营模式下物种的优势度分析物种组成(吴晓莆等, 2004); 将样地调查所得相关林分平均因子(平均林分密度、平均胸径和平均树高)数据进行单因素方差分析; 采取上限排外法与林分实际情况相结合(邓守彦等, 2009), 以5 cm为一个径级, 分别统计3种经营模式的乔木层林木在不同径级的株数; 以5 m为一个高度级, 分别统计3种经营模式的乔木层林木在不同高度级的株数。
选取物种丰富度指数(S)、Shannon-Wiener指数(H)和Simpson指数(D)作为衡量植物多样性的指标(马克平, 1994; 马克平等, 1994), 并测算群落相似性指数CS(Sorensen相似性指数)(吴晓莆等, 2004; 邓守彦等, 2009)。各指数计算公式如下:
| $ H = - \sum\limits_{i = 1}^x {{P_i}{\rm{ln}}P;} $ | (1) |
| $ D = 1 - \sum\limits_{i - 1}^x {{P_i}^2} ; $ | (2) |
| $ {C_S} = 2j/\left({a + b} \right)。$ | (3) |
式中:Pi为属于种i的个体在全部个体中的比例; a和b为2个相比较林分中各自的物种数; j为2个相比较林分中共有的物种数。
采用单因素方差分析(one-way ANOVA)和Duncan多重比较方法, 分析不同林分间林分结构和物种多样性的差异。计算由SPSS 21.0软件完成。
3 结果与分析 3.1 林分结构 3.1.1 树种组成3种经营模式在1999年共同的本底值为8蒙古栎+1黑桦+1紫椴-黄榆, 经过17年的经营实践, 林分树种组成产生了不同的变化(表 1)。目标树经营模式中蒙古栎优势度下降明显, 而红松和红皮云杉优势度大幅增加并成为优势种。综合抚育经营模式下红松取代了紫椴和黄榆成为优势种, 但红松的优势度不如在目标树经营模式下的大。无干扰模式中黑桦的优势度下降, 紫椴和黄榆的优势度增大。由表 2可知, 蒙古栎胸高断面积绝对值在3种经营模式间差异很大表现, 为目标树经营(5.3 m2 ·hm-2)<综合抚育经营(11.0 m2 ·hm-2) <无干扰(21.6 m2 ·hm-2), 但蒙古栎在各经营模式中均占有最大优势度(55.1%~79.6%)。红松在目标树经营模式中的胸高断面积(2.8 m2 ·hm-2)和优势度(32.3%)都明显高于另外2种经营模式。此外, 珍贵树种胡桃楸在目标树经营和综合抚育经营的林地均有出现, 但并未出现在无干扰模式中, 黄檗则只出现在目标树经营的林分中。
|
|
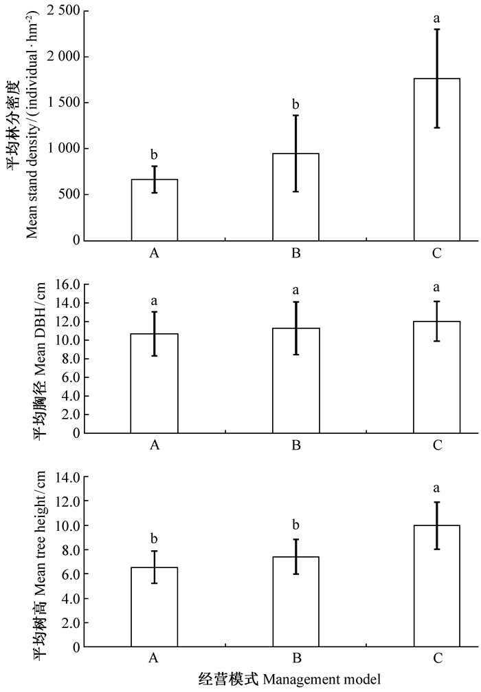
包括平均林分密度、平均胸径和平均树高, 用以表示林分的结构特征(图 1)。无干扰模式的林分密度(1 767株·hm-2)显著大于目标树经营(667株·hm-2)和综合抚育经营模式(950株·hm-2), 后二者之间无显著差异。3种经营模式的林木平均胸径分别为10.7(目标树经营), 10.3(综合抚育经营)和11.8 cm(无干扰), 且3种经营模式间无显著差异。平均树高表现为无干扰(10.0 m)显著高于另外2种经营模式, 而目标树经营(6.5 m)和综合抚育经营(7.4 m)间无显著差异。
|
图 1 林分平均因子 Figure 1 Mean factors of stands A.目标树经营模式 Target tree forest management model; B.综合抚育经营 Comprehensive tending management model 经营模式 Management model; C.无干扰模式 No disturbance model |
如图 2所示, 3种经营模式的林木具有不同的径级结构。目标树经营模式林木的径级结构偏向对数正态分布, 林木胸径分布从1 cm到35 cm, 其中DBH < 15 cm的林木所占比例最大(81.8%)。综合抚育经营模式林木胸径大多分布在1~5 cm径级范围内(44.7%), 但DBH > 15 cm的各径级林木明显比目标树经营模式多。无干扰模式林木大部分分布在前4个径级(84.9%), 但除1~5和35~40 cm 2个径级外, 无干扰模式的林木在其他径级都明显比另外2种经营模式多。
|
图 2 3种经营模式下林木的径级结构 Figure 2 Diameter class of stands under three management models |
如图 3所示, 目标树经营模式总体呈现左偏正态分布, 在1.3~10 m范围内林木株数占比最大(83.8%), 构成了主要林层; 综合抚育经营模式总体呈“倒J形”分布, 在1.3~5 m占比最大(60.1%); 无干扰模式则呈右偏正态分布, 其中林木株数在10~15 m高度级占主体部分(60.1%), 此外, 在20~25 m高度级, 林木仍达到4株·hm-2。从林木垂直分布总体而言, 无干扰模式在>10 m的各层级都明显大于目标树经营和综合抚育经营模式。
|
图 3 3种经营模式下林木的垂直分布 Figure 3 Vertical distribution of stands under three management models |
3种经营模式林分样地内共发现136种植物, 包括乔木18种, 分属15科17属; 灌木43种, 分属21科31属; 草本植物75种, 分属33科60属。目标树经营模式林分中共发现72个物种, 分属38科63属; 综合抚育经营模式林分中共有70个物种, 分属43科61属; 无干扰模式林分中共发现65个物种, 分属36科53属。
由表 3可知, 乔木层的物种丰富度、Shannon-Wiener指数和Simpson指数在3种经营模式间均无显著差异(P < 0.05);灌木层植物的3个多样性指数均表现为综合抚育经营显著高于另外2种经营模式(P < 0.05), 目标树经营和无干扰模式间无显著差异(P < 0.05);草本层植物除物种丰富度以无干扰模式显著最低(P < 0.05)外, Shannon-Wiener指数和Simpson指数在3种经营模式间均无显著差异(P < 0.05)。总体来看, 3种经营模式所有多样性指数都表现为草本层﹥灌木层﹥乔木层。
|
|
在3种经营模式的群落间, 目标树经营与综合抚育经营模式的群落相似性最高, 而目标树经营和无干扰模式的群落相似性最低(表 4), 表明人为干扰程度越大, 群落物种类型与无干扰模式的差异越大。
|
|
经过17年不同经营措施的实施, 与其他2种经营模式相比, 目标树经营对树种结构的改造最为成功, 不仅出现了胡桃楸和黄檗等珍贵树种, 还优化了树种结构, 使红松成为优势树种, 有利于未来将样地林分改造为红松阔叶混交林, 加快向顶级群落演替的进程。因此, 本研究得出目标树经营的群落结构与当地顶级群落更相似的结论, 与梁星云等(2013)和吴正方(2003)的研究结论一致。从栽植红松的生长情况看, 目标树经营成功使红松进入林分, 比自然演替速度快。而无干扰模式下的蒙古栎天然次生林几乎没有受到外界干扰, 自然演替进程较为缓慢。从林分平均因子看, 除平均胸径外, 林分密度和平均树高均为无干扰模式显著大于其他2种经营模式(P < 0.05), 其原因可能与目标树经营和综合抚育经营模式的采伐强度和频率过大、经营间隔时间相对较短等因素有关。吕伟伟等(2016)研究认为, 蒙古栎择伐强度为28%对培育大径级材影响最为显著; 尤文忠等(2015)研究认为, 针对中龄林的间伐以保留1 600株·hm-2的密度为宜, 且间伐在短期内对蒙古栎次生中龄林的影响较小。据孙洪志等(2004)研究可知, 蒙古栎林抚育间伐间隔以10年1次为宜。邬可义等(2015)指出栎类树种的经营周期在200年以上。相对而言, 本研究的2种经营模式在短短17年内进行了2~3次、平均强度40%~50%的择伐, 对长周期树种而言, 采伐强度可能过大, 采伐频率也过于频繁。同时, 由于现存量与经营历史有关, 是一种静态的结果, 因此从长期来看, 目标树经营和综合抚育经营模式对林木生长量是否起到促进作用, 还需进行长期监测。
4.2 植物多样性对经营模式的响应不同经营模式下的群落物种多样性在乔木层、灌木层和草本层上变化不完全一致。目标树经营、综合抚育经营和无干扰3种模式下林分乔木层的多样性相差不大, 这是因为目标树经营和综合抚育经营主要是中低强度的人为干扰, 且是有选择性的间伐干扰。前人研究也表明, 择伐后次生林内乔木多样性变化较小(金永焕等, 2004)。综合抚育模式林分灌木层多样性显著大于其他2种经营模式(P < 0.05), 这与综合抚育比较注重保护林下植被以及目标树经营采取清林和林下折灌措施对灌木层植被造成一定负面影响有关。目标树经营和综合抚育经营下草本层植物仅丰富度显著高于无干扰模式, 表明对林木的采伐为林下植物提供了更多生态位, 促进了林下草本的定植和生长(Zhang et al., 2000; 宁金魁等, 2009; 陆元昌等, 2010)。此外, 通过对林分相似性的研究可知, 森林群落被人为干扰后, 其群落组成及物种多样性特征也会逐渐发生变化(Finegan et al., 2000), 人为干扰程度越大, 与未干扰的林分状态相似性越低。
4.3 蒙古栎天然次生林的经营从本研究结果来看, 目标树经营更有利于优化林分树种组成, 达到改善林分结构的经营目标, 同时, 乔、灌、草各层的物种数量也多于其他2种经营模式, 尤其是少量珍贵树种的出现, 说明目标树经营模式有利于促进一些珍贵树种生存和繁衍, 有利于实现林业多目标经营。然而, 与综合抚育经营模式一样目标树经营均在林木胸高断面积和树高等基本林分质量指标上小于无干扰模式, 未能出现提高林木生产力的效果。
目标树经营模式是起源于德国的理念, 初衷是培育市场经济价值极高的大径级用材, 同时改善群落组成和结构, 通过人工补植的方式引入本地树种和演替后期树种, 使人工林向接近自然状态的森林转换(陆元昌, 2006; 陆元昌等, 2010)。前人研究表明, 目标树经营模式在促进人工林林木生长、改善群落结构和促进生物多样性等方面取得了显著成效(张俊艳等, 2010; 韩丰泽等, 2014; 李婷婷等, 2015), 但对天然次生林实施目标树经营能否提高林木生产力的研究较少(邬可义等, 2015; 吴水荣等, 2015)。
此外, 人工经营的2种模式样地比较平缓(坡度为6°), 无干扰样地坡度较大(坡度为15°)。而坡度对土壤水分和养分的运移有较大影响, 进而可能不同程度地影响树木生长。蒙古栎是耐旱树种, 因此坡度的作用在多大程度上影响本研究结果还不清楚。是否应该根据不同坡度而采取不同的经营模式, 需要更多的关注和探索。蒙古栎天然次生林是否适合人为促进森林演替, 在何时施加、施加多大的干扰能促进森林正向演替, 哪种模式能获得更高的生态、经济和社会综合效益, 这些问题还需要更长时间的监测和更深入的研究。
我国共有栎类天然林1 610万hm2, 占全国天然林总面积的13.7%;栎类天然林总蓄积量12.81亿m3, 占全国天然林总蓄积的10.42%。如何经营面积和储量如此巨大的栎林, 是我国林业亟待开展的重要任务。
5 结论1) 目标树经营通过补植红松等后期树种的方式, 成功地将后期树种引入林分, 改善了林分树种结构, 并促进了珍贵树种的生长。
2) 短期来看, 无干扰模式林分的胸高断面积、林分平均因子、林木径级结构和林木的垂直分布都优于目标树经营和综合抚育经营模式, 更有利于提高林分生产力。
3) 对于蒙古栎天然次生林而言, 森林经营如何能在长时间尺度上提高林分生长量, 还需要更长期的监测和更多的研究。
崔宁洁, 张丹桔, 刘洋, 等. 2014. 马尾松人工林不同大小林窗植物多样性及其季节动态[J]. 植物生态学报, 38(5): 477-490. (Cui N J, Zhang D J, Liu Y, et al. 2014. Plant diversity and seasonal dynamics in forest gaps of varying sizes in Pinus massoniana plantations[J]. Chinese Journal of Plant Ecology, 38(5): 477-490. [in Chinese]) |
邓守彦, 刘万德, 郭忠玲, 等. 2009. 不同恢复时期红松阔叶林群落结构与多样性特征[J]. 林业科学研究, 22(4): 493-499. (Deng S Y, Liu W D, Guo Z L, et al. 2009. Community structure and diversity of broadleaved Pinus koraiensis forests at different restoring stages[J]. Forest Research, 22(4): 493-499. [in Chinese]) |
韩丰泽, 马祥庆, 吴鹏飞. 2014. 不同经营模式杉木人工林林下植被的比较研究[J]. 安徽农业科学, 42(16): 5109-5113. (Han F Z, Ma X Q, Wu P F. 2014. Comparative study of Chinese fir plantation vegetation under different management patterns[J]. Journal of Anhui Agricultural Sciences, 42(16): 5109-5113. DOI:10.3969/j.issn.0517-6611.2014.16.058 [in Chinese]) |
郝建锋, 王德艺, 李艳, 等. 2014. 人为干扰对川西金凤山楠木次生林群落结构和物种多样性的影响[J]. 生态学报, 34(23): 6930-6942. (Hao J F, Wang D Y, Li Y, et al. 2014. Effects of human disturbance on species diversity of Phoebe zhennan communitis in Jinfengshan Moutain in western Sichuan[J]. Acta Ecologica Sinica, 34(23): 6930-6942. [in Chinese]) |
何友均, 梁星云, 覃林, 等. 2013. 南亚热带马尾松红椎人工林群落结构、物种多样性及基于自然的森林经营[J]. 林业科学, 49(4): 24-33. (He Y J, Liang X Y, Qin L, et al. 2013. Community structure, species diversity of Pinus massoniana and Castanopsis hystrix plantation and the nature-based forest management in the southern subtropical China[J]. Scientia Silvae Sinicae, 49(4): 24-33. DOI:10.11707/j.1001-7488.20130404 [in Chinese]) |
金永焕, 谷会岩, 申光日, 等. 2004. 长白山区天然红松阔叶林乔木种多样性变化[J]. 山地学报, 22(1): 59-65. (Jin Y H, Gu H Y, Shen G R, et al. 2004. Diversity dynamics of arborous species of natural broad-leaved Pinus koraiensis forest in Changbai mountain[J]. Journal of Mountain Research, 22(1): 59-65. [in Chinese]) |
李婷婷, 陆元昌, 姜俊, 等. 2015. 马尾松人工林森林经营模式评价[J]. 西北林学院学报, 30(1): 164-171. (Li T T, Lu Y C, Jiang J, et al. 2015. Assessment of forest management model of Pinus massoniana plantation[J]. Journal of Northwest Forestry University, 30(1): 164-171. [in Chinese]) |
梁星云, 何友均, 张谱, 等. 2013. 不同经营模式对丹清河林场天然次生林植物群落结构及其多样性的影响[J]. 林业科学, 49(3): 93-102. (Liang X Y, He Y J, Zhang P, et al. 2013. Effects of different forest management models on plant community structure and biodiversity of natural secondary forests in danqinghe forestry farm[J]. Scientia Silvae Sinicae, 49(3): 93-102. DOI:10.11707/j.1001-7488.20130313 [in Chinese]) |
刘世荣, 代力民, 温远光, 等. 2015. 面向生态系统服务的森林生态系统经营:现状、挑战与展望[J]. 生态学报, 35(1): 1-9. (Liu S R, Dai L M, Wen Y G, et al. 2015. A review on forest ecosystem management towards ecosystem services:status, challenges, and future perspectives[J]. Acta Ecologica Sinica, 35(1): 1-9. DOI:10.17521/cjpe.2015.0001 [in Chinese]) |
陆元昌. 2006. 近自然森林经营的理论与实践[M]. 北京: 科学出版社. (Lu Y C. 2006. The theory and practice of close-to-nature forestry management[M]. Beijing: Science Press. [in Chinese]) |
陆元昌, 雷相东, 洪玲霞, 等. 2010. 近自然森林经理计划体系技术应用示范[J]. 西南林学院学报, 30(2): 1-6. (Lu Y C, Lei X D, Hong L X, et al. 2010. Demonstrative application of the close-to-nature forest management planning system to forestry practice[J]. Journal of Southwest Forestry University, 30(2): 1-6. [in Chinese]) |
吕伟伟, 孙勇, 程明杰, 等. 2016. 蒙古栎天然次生林改培大径级材技术研究[J]. 防护林科技, (2): 1-3, 6. (Lü W W, Sun Y, Cheng M J, et al. 2016. Cultivating natural secondary forest of Quercus mongolica to large diameter class timber forest[J]. Protection Forest Science and Technology, (2): 1-3, 6. [in Chinese]) |
马克平. 1994. 生物群落多样性的测度方法Ⅰα多样性的测度方法(上)[J]. 生物多样性杂志, 2(3): 162-168. (Ma K P. 1994. Biological community diversity mmeasure:Ⅰα diversity measure method (Ⅰ)[J]. Chinese Biodiversity, 2(3): 162-168. [in Chinese]) |
马克平, 刘玉明. 1994. 生物群落多样性的测度方法Ⅰα多样性的测度方法(下)[J]. 生物多样性杂志, 2(4): 231-239. (Ma K P, Liu Y M. 1994. Biological community diversity measure:Ⅰα diversity measure method (Ⅱ)[J]. Chinese Biodiversity, 2(4): 231-239. [in Chinese]) |
宁金魁, 陆元昌, 赵浩彦, 等. 2009. 北京西山地区油松人工林近自然化改造效果评价[J]. 东北林业大学学报, 37(7): 42-44. (Ning J K, Lu Y C, Zhao H Y, et al. 2009. Assessment on close-to-nature transformation of Pinus tabulaeformis plantations in Xishan region, Beijing[J]. Journal of Northeast Forestry University, 37(7): 42-44. [in Chinese]) |
戎建涛, 何友均. 2014. 不同森林经营模式对丹清河林场天然次生林碳贮量的影响[J]. 林业科学, 50(9): 26-35. (Rong J T, He Y J. 2014. Effects of different forest management models on carbon stock in natural secondary forests at Danqinghe Forestry Farm[J]. Scientia Silvae Sinicae, 50(9): 26-35. [in Chinese]) |
苏芳莉, 刘明国, 谭学仁, 等. 2007. 辽东山区天然次生林间伐强度研究[J]. 西北林学院学报, 33(4): 106-109. (Su F L, Liu M G, Tan X R, et al. 2007. A Study on thinning density of natural secondary forest in Liaoning east[J]. Journal of Northwest Forestry University, 33(4): 106-109. [in Chinese]) |
孙洪志, 屈红军, 石丽艳, 等. 2004. 次生林抚育改造的效果[J]. 东北林业大学学报, 32(2): 87-98. (Sun H Z, Qu H J, Shi L Y, et al. 2004. The effect of tending for secondary forest[J]. Journal of Northeast Forestry University, 32(2): 87-98. [in Chinese]) |
王颖, 王承义, 崔崧. 2014. 不同经营方式下的蒙古栎次生林种间关系[J]. 防护林科技, (6): 19-21. (Wang Y, Wang C Y, Cui S. 2014. Interspecific relationships of second forest of Quercus mongolica under different management modes[J]. Protection Forest Science and Technology, (6): 19-21. [in Chinese]) |
邬可义, 陈绍志, 徐成立, 等. 2015. 以目标树为构架的人工林全林经营与天然次生林的转化研究——河北木兰林管局森林经营新探索[J]. 林业经济, 37(1): 56-61. (Wu K Y, Chen S Z, Xu C L, et al. 2015. Planted forest management and conversion of natural secondary forest based on the crop tree system-a case study in Mulan forest[J]. Forestry Economics, 37(1): 56-61. [in Chinese]) |
吴水荣, 海因里希·施皮克尔, 陈绍志, 等. 2015. 德国森林经营及其启示. 林业经济, 37(1): 50-55. (Wu S R, Heinrich S, Chen S Z, et al. 2015. Forest management in Germany and its ispirations for China. Forestry Economics, 37(1): 50-55. [in Chinese]) |
吴晓莆, 朱彪, 赵淑清, 等. 2004. 东北地区阔叶红松林的群落结构及其物种多样性比较[J]. 生物多样性, 12(1): 174-181. (Wu X F, Zhu B, Zhao S Q, et al. 2004. Comparison of community structure and species diversity of mixed forests of deciduous broad-leaved tree and Pinus massoniana in Northeast China[J]. Chinese Biodiversity, 12(1): 174-181. [in Chinese]) |
吴正方. 2003. 东北阔叶红松林分布区生态气候适宜性及全球气候变化影响评价[J]. 应用生态学报, 14(5): 771-775. (Wu Z F. 2003. Assessment of eco climatic suitability and climate change impacts of/on broad leaved Korean pine forest in Northeast China[J]. Chinese Journal of Applied Ecology, 14(5): 771-775. [in Chinese]) |
尤文忠, 赵刚, 张慧东, 等. 2015. 抚育间伐对蒙古栎次生林生长的影响[J]. 生态学报, 35(1): 56-63. (You W Z, Zhao G, Zhang H D, et al. 2015. Effects of thinning on growth of Mongolian oak (Quercus mongolica) secondary forests[J]. Acta Ecologica Sinica, 35(1): 56-63. [in Chinese]) |
远皓, 杨传林. 2016. 蒙古栎的价值和作用[J]. 中国林副特产, (5): 97-98. (Yuan H, Yang C L. 2016. The value and effects of Quercus mongolica[J]. Forest By-Product and Speciality in China, (5): 97-98. [in Chinese]) |
臧润国, 杨彦承, 蒋有绪. 2001. 海南岛霸王岭热带山地雨林群落结构及树种多样性特征的研究[J]. 植物生态学报, 25(3): 270-275. (Zang R G, Yang Y C, Jiang Y X. 2001. Community structure and tree species diversity characteristics in a tropical montane rain forest in Bawangling Nature Reserve, Hainan Island[J]. Journal of Plant Ecology, 25(3): 270-275. [in Chinese]) |
张俊艳, 陆元昌, 成克武, 等. 2010. 近自然改造对云南松人工林群落结构及物种多样性的影响[J]. 河北农业大学学报, 33(3): 72-77. (Zhang J Y, Lu Y C, Cheng K W, et al. 2010. Impact of near nature modification on community structure and species biodiversity of artificial Pinus yunnanensis forest[J]. Journal of Agricultural University of Hebei, 33(3): 72-77. [in Chinese]) |
Adrian A, Neill A R, Puettmann K J. 2010. Understory abundance, species diversity and functional attribute response to thinning in coniferous stands[J]. Forest Ecology and Management, 260(7): 1104-1113. DOI:10.1016/j.foreco.2010.06.023 |
Deng L, Zhang W H, Guan J H. 2014. Seed rain and community diversity of Liaotung oak in Shaanxi, northwest China[J]. Ecological Engineering, 67(2): 104-111. |
Fahey R T, Puettmann K J. 2008. Patterns in spatial extent of gap influence on understory plant communities[J]. Forest Ecology and Management, 255(7): 2801-2810. DOI:10.1016/j.foreco.2008.01.053 |
Finegan B, Delgado D. 2000. Structural and Floristic heterogeneity in a 30-year-old costa Rican rain forest restored on pasture through natural secondary succession[J]. Restoration ecology, 8(4): 380-393. DOI:10.1046/j.1526-100x.2000.80053.x |
Gamfeldt L, Snäll T, Bagchi R, et al. 2013. Higher levels of multiple ecosystem services are found in forests with more tree species[J]. Nature communications, 4(1): 1340. |
Hartikainen M, Eyvindson K, Miettinen K, et al. 2016. Data-based forest management with uncertainties and multiple objectives[J]. Machine Learning, Optimization, and Big Data: 16-29. |
Maltamo M, Næsset E, Vauhkonen J. 2014. Forestry applications of airborne laser scanning——concepts and case studies[J]. Managing Forest Ecosystems, 27. |
Pitman N C, Silman M R, Terborgh J W. 2013. Oligarchies in Amazonian tree communities:a ten-year review[J]. Ecography, 36(2): 114-123. DOI:10.1111/more.2013.36.issue-2 |
Rota E, Caruso T, Bargagli R. 2014. Community structure, diversity and spatial organization of enchytraeids in Mediterranean urban holm oak stands[J]. European Journal of Soil Biology, 62(5): 83-91. |
Schweitzer C J, Dey D C. 2011. Forest structure, composition, and tree diversity response to a gradient of regeneration harvests in the mid-Cumberland Plateau escarpment region, USA[J]. Forest Ecology and Management, 262(9): 1729-1741. DOI:10.1016/j.foreco.2011.07.020 |
Shaheen H, Ullah Z, Khan S M, et al. 2012. Species composition and community structure of western Himalayan moist temperate forests in Kashmir[J]. Forest Ecology and Management, 278: 138-145. DOI:10.1016/j.foreco.2012.05.009 |
Souza A F, Cortez L S R, Longhi S J. 2012. Native forest management in subtropical South America:long-term effects of logging and multiple-use on forest structure and diversity[J]. Biodiversity and Conservation, 21(8): 1953-1969. DOI:10.1007/s10531-012-0287-1 |
Tilman D, Reich P B, Knops J M H. 2006. Biodiversity and ecosystemstability in a decade-long grassland experiment[J]. Nature, 441(7093): 629-632. DOI:10.1038/nature04742 |
Valdez-Hernández M, Sánchez O, Islebe G A, et al. 2014. Recovery and early succession after experimental disturbance in a seasonally dry tropical forest in Mexico[J]. Forest Ecology and Management, 334: 331-343. DOI:10.1016/j.foreco.2014.09.018 |
Vidal S. 2008. Plant biodiversity and vegetation structure in traditional cocoa forest gardens in southern Cameroon under different management[J]. Biodiversity and Conservation, 17(8): 1821-1835. DOI:10.1007/s10531-007-9276-1 |
Zhang D H, Ye Z F. 2000. Infiuence of thinning on soil fertility inartificial forest[J]. Chinese Journal of Applied Ecology, 12(5): 672-676. |
Zhang M, Zhu J J, Li M C, et al. 2013. Different light acclimation strategies of two coexisting tree species seedlings in a temperate secondary forest along five natural light levels[J]. Forest Ecology and Management, 306: 234-242. DOI:10.1016/j.foreco.2013.06.031 |
2018, Vol. 54

