Manipulating Scattering Performance of Offshore Structures in Water Waves Using a Wavelength Modulator

Zhang Zhigang Li Yunzhou He Guanghua Luan Zhengxiao Zhao Qiang Zhang Jiming Wang Juncheng

Zhigang Zhang, Yunzhou Li, Guanghua He, Zhengxiao Luan, Qiang Zhao, Jiming Zhang, Juncheng Wang (2025). Manipulating Scattering Performance of Offshore Structures in Water Waves Using a Wavelength Modulator. Journal of Marine Science and Application, 24(6): 1141-1149. https://doi.org/10.1007/s11804-025-00653-0
Citation: Zhigang Zhang, Yunzhou Li, Guanghua He, Zhengxiao Luan, Qiang Zhao, Jiming Zhang, Juncheng Wang (2025). Manipulating Scattering Performance of Offshore Structures in Water Waves Using a Wavelength Modulator. Journal of Marine Science and Application, 24(6): 1141-1149. https://doi.org/10.1007/s11804-025-00653-0

Manipulating Scattering Performance of Offshore Structures in Water Waves Using a Wavelength Modulator

https://doi.org/10.1007/s11804-025-00653-0
Funds: 

National Key R&D Program of China 2022YFC3104200

the China Postdoctoral Science Foundation 2023M742157

the Shandong Province Taishan Scholars Project tsqn201909172

the Shandong Provincial Natural Science Foundation ZR2023QA097

the Open Research Fund Program of State Key Laboratory of Coastal and Offshore Engineering, Dalian University of Technology LP2309

the Innovation Project of Qingdao Post-Doctoral QDBSH20230202121

    Corresponding author:

    Zhigang Zhang zhangzg@sdu.edu.cn

  • Abstract

    Through active manipulation of wavelengths, a structure exposed to a water-wave field can achieve a target hydrodynamic performance. Based on the form invariance of the governing equation for shallow water waves, wavelength modulators have been proposed using the space transformation method, which enables wavelength manipulation by distributing an anisotropic medium that incorporates water depth and gravitational acceleration within the modulation space. First, annular wavelength modulators were designed using the space transformation method to reduce or amplify the wavelength of shallow water waves. The control method of wavelength scaling ratios was investigated. In addition to plane waves, the wavelength modulator was applied to manipulate the wavelength of cylindrical waves. Furthermore, the interactions between a vertical cylinder and modulated water waves were studied. Results indicate that the wavelength can be arbitrarily reduced or amplified by adjusting the dimensional parameters of the modulator. Additionally, the modulator is effective for plane waves and cylindrical waves. This wavelength modulator can enable the structure to achieve the desired scattering characteristics at the target wavelength.

     

    Article Highlights
    ● An annular wavelength modulator and a control method of scaling ratios are proposed based on the space transformation method.
    ● Wavelength manipulation of plane waves and cylindrical waves is investigated and validated by calculating the wave distribution in the modulated area.
    ● It is found that the modulators can manipulate the wavelength to achieve the scattering performance of the offshore structure at the target wave fields.
  • Wavelength is a key characteristic of water waves, and the hydrodynamic responses of offshore structures are closely related to the proportional relationship between the wavelength and the characteristic length of the structure (Newman, 1977; Faltinsen, 1993; Pecher and Kofoed, 2017; Neill and Hashemi, 2018). Actively manipulating the wavelength of water waves to achieve the target hydrodynamic performance of offshore structures holds considerable potential for applications in ocean engineering.

    Based on wave properties such as refraction, reflection, and resonance, several methods have been proposed to control wave propagation, including the scattering cancellation method (SCM) (Porter and Newman, 2014; Newman, 2014; Iida et al., 2014; Zhang et al., 2020a; Zhang et al., 2020b; Iida et al., 2023), space transformation method (STM) (Farhat et al., 2008; Chen et al., 2009; Berraquero et al., 2013; Dupont et al., 2015; Zareei and Alam, 2015; Wang et al., 2017; Iida and Kashiwagi, 2017; Iida and Kashiwagi, 2018; Zhang et al., 2023; Zhang et al., 2024), and others (Wiel et al., 2016; He et al., 2019; Zhang and Ning, 2019; Ren et al., 2021; Konispoliatis and Mavrakos, 2021). The SCM is generally used to either reduce scattered waves in the far field (Porter and Newman, 2014; Newman, 2014) or concentrate scattered waves in the near field (Zhang et al., 2020b), with limitations imposed by the resonance mechanism (Zhang et al., 2020a). In comparison to other wave manipulation methods, the STM offers more flexibility because it directly designs the water-wave fields. The STM was first proposed by Pendry et al. (2006) and Leonhardt (2006) to cloak objects in electromagnetic wave fields. Based on the form invariance of Maxwell's equations under a coordinate transformation, wave manipulation in the transformed space can be realized by distributing an anisotropic medium, which includes permeability and permittivity, in the original space. Although such an anisotropic medium does not naturally exist, it can still be realized using metamaterials (Schurig et al., 2006a). The STM has since been extended to other physical waves, including acoustic (Cummer and Schurig, 2007), seismic (Brule et al., 2014), and thermal (Xu et al., 2014) waves.

    For liquid surface waves, Farhat et al. (2008) first introduced the STM to cloak a cylinder in methoxynonafluoro-butane. Since then, various novel STM-based applications have been proposed for water waves, including rotators (Chen et al., 2009), shifters (Berraquero et al., 2013), invisibility carpets (Dupont et al., 2015; Wang et al., 2017), cloaks (Zareei and Alam, 2015; Iida and Kashiwagi, 2018; Zhang et al., 2024), and waveguides (Iida and Kashiwagi, 2017). These applications are primarily focused on controlling the wave path. In addition to wave path control, Zhang et al. (2023) proposed and investigated a wavelength modulator that manipulates the wavelength of water waves using the STM. The STM-based wavelength modulator has been theoretically and numerically validated for its capability to reduce or amplify the wavelength of water waves. However, some aspects of the wavelength modulator remain unclear, particularly the scattering performance of the structure in the modulated wave fields.

    This study investigates three key aspects of the STM-based wavelength modulator: 1) the control method for the wavelength scaling ratio using the modulators, 2) the application of the wavelength modulator to control the wavelength of cylindrical waves, and 3) the hydrodynamic performance of a vertical cylinder within the modulator. The remainder of this paper is organized as follows. Section 2 introduces the theory behind the STM and the design of annular wavelength modulators. Section 3.1 examines the wave distribution in the modulation space with various wavelength scaling ratios. Section 3.2 calculates and discusses the modulated wave fields of cylindrical waves. Section 3.3 explores the interactions between structures and modulated water waves. Section 4 presents the conclusions and remarks on future work.

    Assuming an incompressible, inviscid fluid with irrotational motion, the governing equation for harmonic shallow-water waves can be expressed as the Helmholtz equation (Mei et al., 2005):

    $$ \nabla \cdot\left(h_0 \nabla \eta\right)+\frac{\omega^2}{g_0} \eta=0 $$ (1)

    where η(x1, x2) represents the spatial wave elevation, h0 is the water depth, g0 is the gravity acceleration, ω is the angular frequency that satisfies the linear dispersion relation ω2 = g0h0k2, and k is the wave number.

    The Helmholtz equation has been shown to be form-invariant under a coordinate transformation (Farhat et al., 2008; Chen et al., 2009; Berraquero et al., 2013; Dupont et al., 2015; Zareei and Alam, 2015; Wang et al., 2017; Iida and Kashiwagi, 2017; Iida and Kashiwagi, 2018; Zhang et al., 2023; Zhang et al., 2024). By integrating Eq. (1) over an arbitrary volume Ω(x1, x2), whose surface is denoted by ∂Ω, as shown in Figure 1(a), the waves propagate along a straight line. Using the divergence theorem, the following is obtained:

    $$ \int_{\partial \varOmega} h_0 \nabla \eta \cdot \boldsymbol{n} \mathrm{~d} S+\int_{\partial \varOmega} \frac{\omega^2}{g_0} \eta \mathrm{~d} V=0 $$ (2)
    Figure  1  Space design of wavelength modulators
    Download: Full-Size Img

    Considering a space transformation Ω* = f (Ω) of orthogonal coordinates with the Jacobian Matrix J = ∂xi*/∂xj, where Ω*(x1*, x2*) is the transformed space, as shown in Figure 1(b), the wave propagates along the curved line due to the deformed space. Under this transformation, the above equation turns into the following:

    $$ \int_{\partial \varOmega^*} h_0 \frac{\boldsymbol{J} \boldsymbol{J}^{\mathrm{T}}}{|\boldsymbol{J}|} \nabla^* \eta \cdot \boldsymbol{n}^* \mathrm{~d} S^*+\int_{\varOmega^*} \frac{1}{|\boldsymbol{J}|} \frac{\omega^2}{g_0} \eta \mathrm{~d} V^*=0 $$ (3)

    Using the divergence theorem, the following can be obtained:

    $$ \nabla^* \cdot\left(\tilde{\boldsymbol{h}} h_0 \nabla^* \eta\right)+\frac{\omega^2}{g g_0} \eta=0 $$ (4)

    where $ \tilde{\boldsymbol{h}}$ and g are the transformation coefficients, and $ \tilde{\boldsymbol{h}}$ is a matrix tensor:

    $$ \tilde{\boldsymbol{h}}=\frac{\boldsymbol{J} \boldsymbol{J}^{\mathrm{T}}}{|\boldsymbol{J}|}=\left|\begin{array}{cc} \tilde{h}_{x_1 x_1} & \tilde{h}_{x_1 x_2} \\ \tilde{h}_{x_2 x_1} & \tilde{h}_{x_2 x_2} \end{array}\right|, g=|\boldsymbol{J}| $$ (5)

    where J is the Jacobian Matrix, $ \boldsymbol{J}=\partial x_i^* / \partial x_j$.

    Based on Eqs. (1) and (4), the form of the new Helmholtz equation in Eq. (4) is the same as that in Eq. (1). This similarity implies that the wave field obtained through space transformation (Ω* = f(Ω)) can be equivalently realized by redistributing the medium parameters ($ \tilde{\boldsymbol{h}} \;h_0, g g_0$) in the original space Ω.

    Annular-shaped wavelength modulators, including a wavelength reducer and a wavelength amplifier, are proposed to accommodate different incident wave directions. For convenience, the cylindrical coordinate system is used in the space transformation. First, the transformed space of the wavelength modulator must be designed. Figure 1(a) represents the original space Ω (r, θ) as a reference for comparison, with three circle lines marked at r = a, r = b, and r = c ($ a, b, c \in \mathbb{R}^{+}, c>b>a$). Figures 1(b) and (c) show the transformed spaces Ω*(r*, θ*) for the reducer and the amplifier, respectively. The transformed space of the reducer, shown in Figure 1(b), is obtained by compressing the original space r < b into r < a, while the space b < r < c is stretched into a < r < c. In contrast, the transformed space of the amplifier shown in Figure 1(c) can be obtained by stretching the original space r < a into r < b, while the space a < r < c is compressed into b < r < c.

    Assuming c = ma, b = na ($ m, n \in \mathbb{R}^{+}, m>n>1.0$), the coordinate transformation relationship of the wavelength reducer can be expressed as follows:

    $$ \begin{cases}r^*=\frac{1}{n} r, & \theta^*=\theta ; 0 \leqslant r \leqslant b \\ r^*=\frac{m-1}{m-n} r-\frac{(n-1) m}{m-n} a, & \theta^*=\theta ; b \leqslant r \leqslant c\end{cases} $$ (6)

    The coordinate transformation relationship of the wavelength amplifier can be expressed as follows:

    $$ \begin{cases}r^*=n r, & \theta^*=\theta ; 0 \leqslant r \leqslant a \\ r^*=\frac{m-n}{m-1} r+\frac{(n-1) m}{m-1} a, & \theta^*=\theta ; a \leqslant r \leqslant c\end{cases} $$ (7)

    According to the STM, the wave field obtained through space transformation, as shown in Figure 1, can be equivalently realized by redistributing the medium parameters ($ \tilde{\boldsymbol{h}}\;h_0, g g_0$) in the original space Ω. The transformation coefficients ($ \tilde{\boldsymbol{h}}, g$) for the reducer can be calculated using Eq. (5).

    $$ \tilde{\boldsymbol{h}}= \begin{cases}{\left[\begin{array}{ll} 1 & 0 \\ 0 & 1 \end{array}\right], } & r^* \leqslant a \\ {\left[\begin{array}{cc} 1+\frac{m a}{r^*} \frac{n-1}{m-n} & 0 \\ 0 & \frac{1}{1+\frac{m a}{r^*} \frac{n-1}{m-n}} \end{array}\right], } & a<r^* \leqslant c\end{cases} $$ (8a)
    $$ g= \begin{cases}\frac{1}{n^2}, & r^* \leqslant a \\ \left(\frac{m-1}{m-n}\right)^2 \frac{1}{1+\frac{m a}{r^*} \frac{n-1}{m-n}}, & a<r^* \leqslant c\end{cases} $$ (8b)

    Similarly, the transformation coefficients ($ \tilde{\boldsymbol{h}}, g$) of the amplifier can be obtained as follows:

    $$ \tilde{\boldsymbol{h}}= \begin{cases}{\left[\begin{array}{ll} 1 & 0 \\ 0 & 1 \end{array}\right], } & r^* \leqslant b \\ {\left[\begin{array}{cc} 1-\frac{m a}{r^*} \frac{n-1}{m-1} & 0 \\ 0 & \frac{1}{1-\frac{m a}{r^*} \frac{n-1}{m-1}} \end{array}\right], } & b<r^* \leqslant c\end{cases} $$ (9a)
    $$ g= \begin{cases}n^2, & r^* \leqslant b \\ \left(\frac{m-n}{m-1}\right)^2 \frac{1}{1-\frac{m a}{r^*} \frac{n-1}{m-1}}, & b<r^* \leqslant c\end{cases} $$ (9b)

    Notably, $ \tilde{h}_{r r} \neq \tilde{h}_{\theta \theta}$; therefore, the medium is anisotropic. Furthermore, the anisotropic medium must be distributed in the original space. Therefore, the asterisk of r* in Eqs. (8) and (9) can be removed (Schurig et al., 2006b). The wavelength can be modified based on this anisotropic medium. The sketch of the wavelength modulator (wavelength amplifier) is shown in Figure 2. The wavelength can be either reduced or amplified when the water waves propagate through the modulator.

    Figure  2  Sketch of the wavelength modulator (wavelength amplifier)
    Download: Full-Size Img

    The wave distributions (Re[η]/A) of the modulators with different wavelength scaling ratios were investigated. The model setups for the reducer and the amplifier are shown in Figures 3(a) and (b), respectively. Notably, the distribution of the anisotropic medium ($ \tilde{\boldsymbol{h}}\; h_0, g g_0$) can be obtained using Eqs. (8) and (9). A square domain with a side length l (= 10.0 m) was adopted, where the boundaries were defined as S−∞, S, and S0.

    Figure  3  Model setup
    Download: Full-Size Img

    A finite element method, based on the COMSOL Multiphysics software, was used to solve the Helmholtz equation with an anisotropic medium, as shown in Eq. 10(a). The boundaries S0 satisfies the no-flux boundary condition, while the scattered boundary condition is applied at S−∞ and S. Additionally, the incident plane wave ($ \eta_0=A \mathrm{e}^{-\mathrm{i} k_0 x}$) is generated at S−∞, with A representing the wave amplitude. The wavelength λ0 and the amplitude A of the incident waves are set to 1.0 and 0.1 m, respectively. The overall scopes of the reducer and the amplifier are both r < c, while their operating scopes are r < a and r < b, respectively.

    $$ \nabla \cdot(\tilde{\boldsymbol{h}} \nabla \eta)+\left(k_0^2 / g\right) \eta=0, \quad \text { at } x o y $$ (10a)
    $$ \frac{\partial \eta}{\partial \boldsymbol{n}}=0, \quad \quad\quad\text { on } S_0 $$ (10b)
    $$ \frac{\partial \eta}{\partial \boldsymbol{n}}=-\mathrm{i} k \eta+2 \mathrm{i} k \eta_0, \quad \text { on } S_{-\infty} $$ (10c)
    $$ \frac{\partial \eta}{\partial \boldsymbol{n}}=-i k \eta, \quad\quad\quad \text { on } S_{\infty} $$ (10d)

    According to Eqs. (6) and (7), the scaling ratios of the wavelength are determined by n (= b/a). The wavelength λ (= 2π/k) at r < a for the reducer can be reduced to 1/n of the incident wavelength λ0. In contrast, the wavelength λ at r < b for the amplifier can be amplified to n times the incident wavelength λ0.

    First, the wave distributions (Re[η]/A) of the reducer were investigated. Herein, a is 1.0 m, and c is 3.0 m (m = 3.0). The scaling ratios n (= b/a) can be controlled by varying the values of b. Three scaling ratios, n = 1.5 (b = 1.5 m), 2.0 (b = 2.0 m), and 2.5 (b = 2.5 m), were considered to investigate the reduced wavelength. The wave distributions for n = 1.5, 2.0, and 2.5 are shown in Figures 4(a), (b), and 4(c), respectively. The reduced wavelength in the operating spaces of the three reducers varies, indicating that the control method for scaling the wavelength ratios is efficient. Figure 5 shows the wave profile along y = 0 for the three reducers. As expected, the wavelength in the operating spaces is reduced to 2/3 m, 1/2 m, and 2/5 m of n = 1.5 (b = 1.5 m), 2.0 (b = 2.0 m), and 2.5 (b = 2.5 m), respectively.

    Figure  4  Wave distributions of the wavelength reducer against
    Download: Full-Size Img
    Figure  5  Wave profile along y = 0 of three reducers
    Download: Full-Size Img

    Next, the wave distributions (Re[η]/A) of the amplifier were investigated. In this case, b is 2.0, and c is 3.0 m (m = 3.0). The scaling ratio n (= b/a) can be controlled by changing the value of a. Three different scaling ratios, n = 4.0 (a = 0.5 m), 2.0 (a = 1.0 m), and 4/3 (a = 1.5 m), were considered to investigate the amplified wavelength. The wave distributions for n = 4.0, 2.0, and 1.5 are shown in Figures 6(a), 6(b) and 6(c), respectively. Notably, the reduced wavelength in the operating spaces of the three reducers is different. Figure 7 shows the wave profile along y = 0 for the three amplifiers. As expected, the wavelength at the operating spaces is amplified to 4.0, 2.0, and 4/3 m of n = 4.0 (a = 0.5 m), 2.0 (a = 1.0 m), and 4/3 (a = 1.5 m), respectively. Notably, the anisotropic media for the three reducers and three amplifiers are different and can be derived using Eqs. (8) and (9), respectively.

    Figure  6  Wave distributions of the wavelength amplifier against
    Download: Full-Size Img
    Figure  7  Wave profile along y = 0 of three amplifiers
    Download: Full-Size Img

    In addition to plane waves, the manipulation of cylindrical waves using the proposed wavelength modulators was also investigated. The model setups for the original wave field, the reducer, and the amplifier are shown in Figures 8(a), 8(b), and 8(c), respectively. A small rectangular domain and a semicircle domain were adopted. The boundary conditions are similar to those in Figure 3. The geometrical dimensions were set as u = 12.0 m, w = 0.1 m, and v = 2.0 m. Cylindrical waves were generated by the diffraction of water waves. A plane wave ($ \eta_0=A \mathrm{e}^{-\mathrm{i} k_0 x}$) is generated by S−∞ and propagates to the right. When the plane wave reaches the semicircle domain from the small rectangular domain, cylindrical waves are generated due to diffraction. The wavelength λ0 and the amplitude A of the incident waves were set to 0.5 and 4.0 m, respectively. In Eqs. (6) and (7), the parameters c = 3.0 m, b = 2.0 m, and a = 1.0 m (n = 2.0) were adopted to construct the wavelength modulators. Theoretically, the wavelength can be reduced to 0.25 m (λ0/n) by the reducer in the operating space, while the wavelength can be amplified to 1.0 m (0) by the amplifier in the operating space. The distribution of the anisotropic medium ($ \tilde{\boldsymbol{h}}\; h_0, g g_0$) can be derived using Eqs. (8) and (9). In Figure 8, the density of the dotted lines indicates the expected wavelength distribution.

    Figure  8  Model set
    Download: Full-Size Img

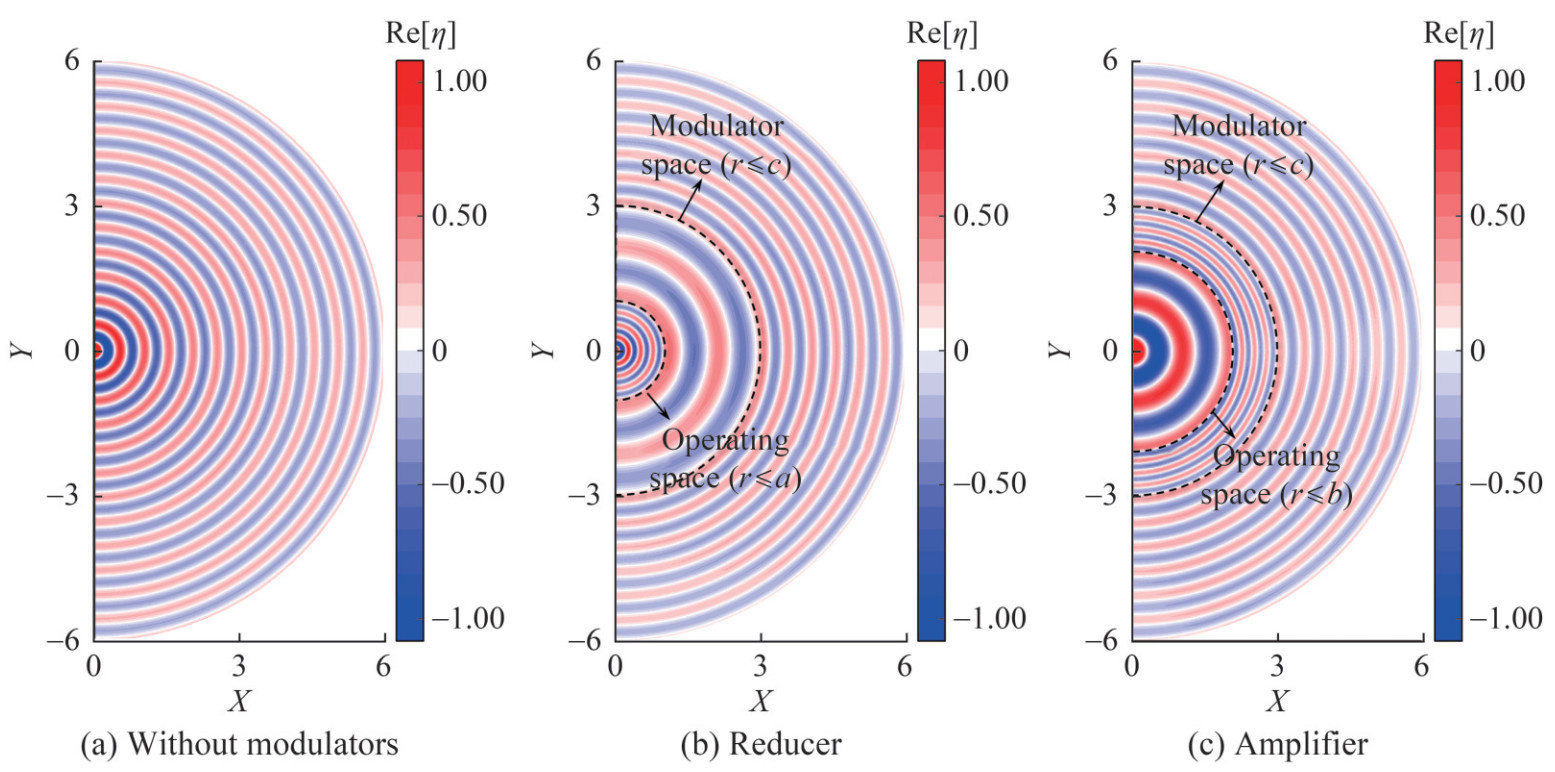
    The wave distributions (Re[η]) modulated by the reducer and the amplifier were calculated, as illustrated in Figure 9. Herein, only the wave fields within the semicircle domain are presented. For comparison, the original wave field without any modulators is shown in Figure 9(a), where the cylindrical wave field is successfully generated. The wave distributions modulated by the reducer and the amplifier are demonstrated in Figures 9(b) and 9(c), respectively. The results indicate that the wavelength in the operating spaces of the reducer and the amplifier can be successfully reduced or amplified as expected. Therefore, the cylindrical waves can also be manipulated by the proposed wavelength modulators. Additionally, within the modulation space, the wavelength manipulation inside the operating space differs from that outside this space. Specifically, for the reducer in Figure 9(b), the wavelength inside the operating space (r < a) is reduced to 1/2λ0, while that outside the operating space (a < r < c) is amplified to 2λ0 (= (ca)λ0/(cb)). For the amplifier in Figure 9(c), the wavelength inside the operating space (r < b) is amplified to 2λ0, while that outside the operating space (a < r < c) is reduced to 1/2λ0 (= (cb) λ0/(ca)). Therefore, a single modulator can function as a reducer and an amplifier simultaneously. Notably, the wavelength scaling ratios of the cylindrical waves can be controlled by the dimensional parameters a and b.

    Figure  9  Wave distributions of the following
    Download: Full-Size Img

    The aim of wavelength manipulation of water waves is to achieve the target hydrodynamic performance of offshore structures. Therefore, the interactions between structures and the modulated waves must be investigated. In this study, the wave fields around a vertical cylinder with a radius of 0.25 m, placed inside the modulators, were calculated.

    First, the vertical cylinder arranged at the center of the wave field of the reducer, as shown in Figure 4(b), was considered. Notably, the no-flux boundary condition (∂η/∂ n = 0) is satisfied on the surface of the cylinder. In this case, the incident wavelength λ0 is 1.0 m. As shown in Figure 4 (b), using the reducer, the wavelength λ in the operating space (r < 1.0 m) is reduced to 0.5 m. Thus, the wavelength λ around the cylinder is 0.5 m. Figure 10(a) shows apparent scattering by the vertical cylinder. As shown in Figure 10(b), the wave distribution of the vertical cylinder in an ordinary wave field was calculated to validate the manipulation of hydrodynamic performance by the reducer. The incident wavelength is set at λ0 = 0.5 m. Notably, the scattering wave field at r < 1.0 m (inside the black circle) is the same as that in Figure 10(a) despite varying wave fields outside the black circle. Assume that the wave field of λ = 0.5 m shown in Figure 10(b) is the target wave field, where the structure can effectively reach hydrodynamic performance. Therefore, the reducer can be used to modify the original wave fields (λ = 1.0 m) to the target wave fields (λ = 0.5 m) to reach good hydrodynamic performance of the structure. Figure 10(c) represents the comparison between the wave distribution of the vertical cylinder in the modulated wave field and the ordinary (target) wave field. The upper and lower parts are the wave distributions of the reduced and the original fields, respectively. The scattering wave fields around the cylinder are the same. Based on energy conservation, the hydrodynamic characteristics of the cylinder in the two wave fields are the same.

    Figure  10  Wave distributions of the cylinder
    Download: Full-Size Img

    Next, the vertical cylinder arranged at the center of the wave field of the amplifier, as shown in Figure 6(b), was considered. In this case, the incident wavelength λ0 is 1.0 m. As shown in Figure 6(b), using the amplifier, the wavelength λ in the operating space (r < 1.0 m) is amplified to 2.0 m. Thus, the wavelength λ around the cylinder is 2.0 m, as shown in Figure 11(a). The wave distribution of the vertical cylinder in an ordinary wave field with λ0 = 2.0 m was also calculated, as shown in Figure 11(b). Figure 11(c) presents a comparison between the wave distribution of the vertical cylinder in the modulated wave field and the ordinary wave field. Similar to Figure 10, the scattering wave fields around the cylinder are the same. Therefore, the proposed modulators can manipulate the water-wave wavelength to achieve the hydrodynamic performance of the offshore structure in the target wave fields.

    Figure  11  Wave distributions of the cylinder
    Download: Full-Size Img

    Manipulating the wavelength of water waves can help achieve the target hydrodynamic performance of offshore structures exposed to wave fields. In this study, annular wavelength modulators, including a reducer and an amplifier, were designed using the STM. A control method for the wavelength scaling ratios was proposed. The wavelength modulator and the control method for the scaling ratios were validated by investigating the wave distribution (Re[η]/A). Subsequently, the manipulation of cylindrical waves by the modulators was investigated. Finally, the interactions between a vertical cylinder and the modulated waves were analyzed to demonstrate the hydrodynamic manipulation effects. The main conclusions of this study are as follows:

    1) A wavelength reducer and a wavelength amplifier were designed using the anisotropic medium based on the STM. The dimensional parameters (a, b) were used to control the scaling ratios n (= b/a) of the modulators. The wavelength λ (= 2π/k) at r < a for the reducer can be reduced to 1/n of the incident wavelength λ0. Conversely, the wavelength λ at r < b for the amplifier can be amplified to n times the incident wavelength λ0. The wave distribution of the reducer and amplifier was calculated for three different scaling ratios. Notably, the wavelength can be arbitrarily reduced or amplified by adjusting the scaling ratios.

    2) The wavelength manipulation of cylindrical waves by the annular modulators was investigated. A cylindrical wave was generated through the diffraction of plane waves. The modulator can also manipulate the cylindrical waves based on the wave distribution calculations of the modulated wave fields. Furthermore, for cylindrical waves, a single modulator can function as a reducer and an amplifier simultaneously.

    3) The interactions between a vertical cylinder and modulated water waves were analyzed. The wave distributions around the cylinder in the modulated wave fields and the equivalent ordinary wave fields were calculated. The results demonstrate that the scattering characteristics of the cylinder in the modulated wave fields are similar to those in the equivalent ordinary wave fields. Based on energy conservation, the modulators can manipulate the wavelength to achieve the target hydrodynamic performance of the offshore structure.

    The proposed modulator can be used to reduce wave loads or structural motion and improve the power generation of wave energy converters in ocean engineering. Additionally, although the anisotropic medium required for the wavelength modulators does not naturally exist, an underwater artificial metamaterial will be constructed using homogenization theory to approximate the anisotropic medium in further studies.

    Competing interest  The authors have no competing interests to declare that are relevant to the content of this article.
  • Figure  1   Space design of wavelength modulators

    Download: Full-Size Img

    Figure  2   Sketch of the wavelength modulator (wavelength amplifier)

    Download: Full-Size Img

    Figure  3   Model setup

    Download: Full-Size Img

    Figure  4   Wave distributions of the wavelength reducer against

    Download: Full-Size Img

    Figure  5   Wave profile along y = 0 of three reducers

    Download: Full-Size Img

    Figure  6   Wave distributions of the wavelength amplifier against

    Download: Full-Size Img

    Figure  7   Wave profile along y = 0 of three amplifiers

    Download: Full-Size Img

    Figure  8   Model set

    Download: Full-Size Img

    Figure  9   Wave distributions of the following

    Download: Full-Size Img

    Figure  10   Wave distributions of the cylinder

    Download: Full-Size Img

    Figure  11   Wave distributions of the cylinder

    Download: Full-Size Img
  • Berraquero CP, Maurel A, Petitjeans P, Pagneux V (2013) Experimental realization of a water-wave metamaterial shifter. Physical Review E 88(5): 051002. https://doi.org/10.1103/PhysRevE.88.051002.
    Chen H, Yang J, Zi J, Chan CT (2009) Transformation media for linear liquid surface waves. Europhysics Letters 85(2): 24004. https://doi.org/10.1209/0295-5075/85/24004.
    Cummer SA, Schurig D (2007) One path to acoustic cloaking. New Journal of Physics 9(3): 45. https://doi.org/10.1088/1367-2630/9/3/045.
    Brule S, Javelaud EH, Enoch S, Guenneau S (2014) Experiments on seismic metamaterials: molding surface waves. Physical Review Letters 112(13): 133901. https://doi.org/10.1103/PhysRevLett.112.133901
    Dupont G, Kimmoun O, Molin B, Guenneau S, Enoch S (2015) Numerical and experimental study of an invisibility carpet in a water channel. Physical Review E 91(2): 023010. https://doi.org/10.1103/PhysRevE.91.023010
    Faltinsen O (1993) Sea Loads on ships and offshore structures. Cambridge University Press
    Farhat M, Enoch S, Guenneau S, Movchan A. B (2008) Broadband cylindrical acoustic cloak for linear surface waves in a fluid. Physical Review Letters 101: 134501. https://doi.org/10.1103/PhysRevLett.101.134501
    He G, Zhang Z, Luan Z, Liu S (2019) A nearshore wave energy converter based on wave reflection. Chinese patent ZL201910191032.7 (in Chinese)
    Iida T, Kashiwagi M, He G (2014) Numerical confirmation of cloaking phenomenon array of floating bodies and reduction of wave drift force. International Journal of Offshore and Polar Engineering 24(4): 241–246
    Iida T, Kashiwagi M (2017) Water wave focusing using coordinate transformation. Journal of energy and power engineering 11: 631636. https://doi.org/10.17265/1934-8975/2017.10.002
    Iida T, Kashiwagi M (2018) Small water channel network for designing wave fields in shallow water. Journal of Fluid Mechanics 849: 90–110. https://doi.org/10.1017/jfm.2018.355
    Iida T, Zareei A, Alam R (2023) Water wave cloaking using a floating composite plate. Journal of Fluid Mechanics 954: A4. https://doi.org/10.1017/jfm.2022.916
    Konispoliatis DN, Mavrakos SA (2021) Hydrodynamic efficiency of a wave energy converter in front of an orthogonal breakwater. Journal of Marine Science and Engineering 9(1): 94. https://doi.org/10.3390/jmse9010094
    Leonhardt U (2006) Optical conformal mapping. Science 312(5781): 1777–1780. https://doi.org/10.1126/science.1126493
    Mei CC, Stiassnie MA, Yue DKP (2005) Theory and applications of ocean surface waves: Part 1: linear aspects. World Scientific. https://doi.org/10.1142/5566
    Neill SP, Hashemi MR (2018) Fundamentals of ocean renewable energy: generating electricity from the sea. Academic Press. https://doi.org/10.1016/C2016-0-00230-9
    Newman JN (1977) Marine hydrodynamics. MIT Press. https://doi.org/10.7551/mitpress/4443.001.0001
    Newman JN (2014) Cloaking a circular cylinder in water waves. European Journal of Mechanics-B/Fluids 47: 145–150. https://doi.org/10.1016/j.euromechflu.2013.11.005
    Pecher A, Kofoed JP (2017) Handbook of ocean wave energy. Springer Nature. https://doi.org/10.1007/978-3-319-39889-1
    Pendry JB, Schurig D, Smith DR (2006) Controlling electromagnetic fields. Science 312(5781): 1780–1782. https://doi.org/10.1126/science.1125907
    Porter R, Newman JN (2014) Cloaking of a vertical cylinder in waves using variable bathymetry. Journal of Fluid Mechanics 750: 124–143. https://doi.org/10.1017/jfm.2014.254
    Ren J, Jin P, Liu Y, Zang J (2021) Wave attenuation and focusing by a parabolic arc pontoon breakwater. Energy 217: 119405. https://doi.org/10.1016/j.energy.2020.119405
    Schurig D, Mock JJ, Justice Bj, Cummer SA, Pendry JB, Starr AF, Smith DR (2006a) Metamaterial electromagnetic cloak at microwave frequencies. Science 314: 977–980. https://doi.org/10.1126/science.1133628
    Schurig D, Pendry JB, Smith DR (2006b) Calculation of material properties and ray tracing in transformation media. Optics Express 14(21): 9794–9804. https://doi.org/10.1364/OE.14.009794
    Wiel RVD, Kramer J, Ven PVD, Borsboom M, Jong MPCD (2016) Influence of a parabolic reflector wall on the sea state in an array of point absorber wave energy converters. Proceedings of the 2nd International Conference on Renewable Energies Offshore (RENEW2016), Lisbon, Portugal, 24–26
    Wang Z, Li C, Zatianina R, Zhang P, Zhang Y (2017) Carpet cloak for water waves. Physical Review E 96: 053107. https://doi.org/10.1103/PhysRevE.96.053107
    Xu H, Shi X, Gao F, Sun H, Zhang B (2014) Ultrathin three-dimensional thermal cloak. Physical Review Letters 112(5): 054301. https://doi.org/10.1103/PhysRevLett.112.054301
    Zareei A, Alam, MR (2015) Cloaking in shallow-water waves via nonlinear medium transformation. Journal of Fluid Mechanics 778: 273–287. https://doi.org/10.1017/jfm.2015.350
    Zhang C, Ning D (2019) Hydrodynamic study of a novel breakwater with parabolic openings for wave energy harvest. Ocean Engineering 182: 540–551. https://doi.org/10.1016/j.oceaneng.2019.04.056
    Zhang Z, He G, Gou Y, Luan Z, Liu S, He R (2023) Wavelength manipulation in shallow water via space transformation method. Physics of Fluids 35: 117108. https://doi.org/10.1063/5.0172013
    Zhang Z, He G, Wang W, Liu S, Wang Z (2020a) Broadband cloaking of multiple truncated cylinders in water waves using the arrangement defects. Physics of Fluids 32: 067111. https://doi.org/10.1063/5.0003854
    Zhang Z, Iida T, He G, Mo W, Liu S, Luan Z, Jing P (2024) Boundary effects of anisotropic medium on cloaking under shallow-water waves. Ocean Engineering 291: 116485. https://doi.org/10.1016/j.oceaneng.2023.116485
    Zhang Z, Liu S, Luan Z, Wang Z, He G (2020b) Invisibility concentrator for water waves. Physics of Fluids 32: 081701. https://doi.org/10.1063/5.0019129
WeChat click to enlarge
Figures(11)
Publishing history
  • Received:  29 July 2024
  • Accepted:  20 November 2024

目录

    /

    Return
    Return