2. International Campus-Mechanical Engineering Group, Amirkabir University of Technology, Tehran 15875-4413, Iran
1 Introduction
When sound strikes the air-water interface, two companion phenomena of sound scattering and transmission will occur. Recently, Ghadimi et al. (2014a; 2014b) introduced new approaches to study sound scattering at the air-water interface. In the current study, sound transmission at the air-water interface is aimed. Transmission of sound through water-air interfaces is often considered as an example of an application of Snell’s law and Fresnel reflection and transmission coefficients. It has classically been believed that infinitesimal sound transmission from water to air is due to large impedance contrast between the media. Study of sound transmission between air and water is mostly done under the greatly simplifying assumption of smooth interface between the sea water (density 1 020 kg/m3, sound speed 1 500 m/s) and air (density 1.03 kg/m3 and sound speed 330 m/s). The air-water interface is called a “pressure release” or “soft” surface for underwater sound. However, if the direction of sound propagation is reversed, sound propagating from air to the ocean would find a pressure-doubling interface with zero particle velocity. Viewed from the air, the same surface would be called acoustically “hard” (Medwin and Clay, 1998). There have been many theoretical (Kazandjian and Leviandier, 1994; Brokesova, 2001; Carey et al., 2006; Ravazzoli, 2001; Buckingham, 2001; Komissarova, 2001; Desharnais and Chapman, 2002; Sparrow, 2002; Buckingham et al., 2002; Cheng and Lee, 2004; Buckingham and Garcés, 2001) and experimental (Lubard and Hurdle, 1976; Gordienko et al., 1993; Ferguson, 1993; Richardson et al., 1995; Sohn et al., 2000) approaches for studying sound transmission through water-air interface which focus on the acoustic field in water due to the existence of powerful airborne noise sources. These noise sources include helicopters (Gordienko et al., 1993; Richardson et al., 1995), propeller-driven aircraft (Buckingham and Garcés, 2001; Buckingham, 2001; Buckingham et al., 2002; Cheng and Lee, 2004) and supersonic transport (Buckingham et al., 2002; Sparrow, 2002).
In recent years, anomalous transparency (Godin, 2006; 2007 span>; 2008a; 2008b) and enhanced sound transmission (McDonald and Calvo, 2007; Calvo et al., 2013) theories for the sound generated by a submerged shallow depth source have been introduced. In these theories, despite the mentioned classical view of air-water interface, for a low frequency sound generated near the interface within a fraction of the sound wavelength, it was predicted that most of the acoustic power in a liquid half-space can be radiated into a gas half-space. The mentioned theoretical analyses based on wave number integration have shown that an underwater low-frequency source with depth much less than an acoustic wavelength in water is capable of transmitting 35 times as much power to the air than it would at a large depth. This phenomenon is called enhanced transmission of power into the air, which occurs due to conversion of evanescent waves in the water into propagating waves in the air (McDonald and Calvo, 2007). The power that is emitted by this shallow depth source almost entirely enters the air (anomalous transparency), which is considered as a remarkable prediction. For a shallow depth source, as the source depth approaches zero, the ratio of radiated power into the air is 3400 times greater than that for a deep source. For the source depths less than approximately 1/10 of an acoustic wavelength in water, an almost omni-directional radiation pattern emerges in the air.
Calvo et al. (2013) through some experimental studies have checked the accuracy of the mentioned theories for a smooth air-water interface. However, anomalous transparency predictions go beyond the smooth air-water interface and claim that even rough air-water interface does not have significant effects on the anomalous transparency of the air-water interface.
Godin (2008a) stated that wavelength of low-frequency acoustic waves such as infrasound in air and water is much greater than the height of waves on the ocean surface. Therefore, the effect of small and smooth surface roughness on both the magnitude of the transmitted power flux and the transparency of the water-air interface proves negligible. In fact, this is in contrast to sound transmission into water through a rough water-air interface, where the roughness with a small correlation length compared to the acoustic wavelength is known to increase sound intensity in water (Godin, 2008a). The roughness, however, can significantly alter the directivity of the transmitted wave in air and cause a fraction of the transmitted acoustic energy to propagate in air horizontally along the rough interface much like in a guided or interface wave (Godin, 2008a). Studying and underst and ing such phenomena are very crucial, since two third of the Earth’s surface consists of water.
Therefore, anomalous transparency of the air-water interface in the range of low audible and infrasonic frequencies can include important consequences in a number of geophysical, biological, and applied problems (Godin, 2007). There are many applications of the anomalous transparency of the air-water interface (Godin, 2007). Generation of a low-frequency noise field in the atmosphere by air bubbles that collapse under the sea surface is one application. Other applications consist of: heating of the upper atmosphere by infrasound generated by underwater sources, underst and ing the role of hearing in birds of prey when they hunt for marine animals, searching for possibilities of monitoring, and estimating the energy of high-power underwater sources (Godin, 2008a). In addition, the anomalous transparency of the interface at low frequencies may result in acoustic communication through the water-air interface and acoustic monitoring of physical processes occurring under water in the future (Godin, 2008a).
In this paper, theoretical background of the newly introduced approach for sound transmission through air-water interface is presented. Subsequently, two-phase coupled Helmholtz wave equations in an air-water medium are discussed and solved through the finite element method within COMSOL Multiphysics software. The transmitted acoustic pressure through air-water interface into the air versus non-dimensional ratio of the source depth (D) to the sound wavelength (λ) is examined. The resulting acoustic pressure values are also compared to the experimental and theoretical results for validation purposes.
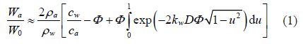
2 Theoretical backgroundFor a monopole point source, ratio of the radiated power into air ( ${W_a}$) to the power that would be radiated into the unbounded water (${{W}_{0}}$), as a function of the product of water wave number and monopole-depth ( ${{k}_{w}}D$), density ratio (ρa/ρw), and sound speed ratio (cw/ca) is given by McDonald and Calvo (2007) as follows:
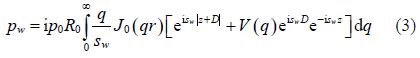
However, in the case where depth approaches zero, the evanescent/integral term will play an important role which results in a different transmission ratio of ${W_a}/{W_0} = $0.010 5. In other words, when the evanescent term is dominant, transmission to air is enhanced by a factor of 35. The pressure field radiated from a monopole in a free space of water can be obtained as $p = ({p_0}{R_0}/R){{\text{e}}^{{\text{i}}{k_w}R}}$ (McDonald and Calvo, 2007), where $R = \sqrt {{x^2} + {y^2} + {z^2}} $. Introducing air and water half spaces and placing the origin of coordinates at the interface with z-positive upward into the air, the expressions for the fields transmitted into water and air are given by (McDonald and Calvo, 2007)
Therefore, oscillatory waves in the water propagate in the air within this 13.4°cone. Despite the classical view, vertically evanescent waves in the water with horizontal wave number kw<q<ka can propagate outside this narrow cone in the air. Also, in a situation when q→ka, sound in the air can propagate at a very low elevation angle above the interface.
The idea that radiation into air can be enhanced by the conversion of evanescent waves in the water into propagating waves in the air may seem impossible since an evanescent wave alone does not transmit a time-averaged power. However, as discussed by Godin (2006; 2007; 2008a; 2008b), the interference of incident and reflected evanescent waves beneath the air-water interface is capable of transmitting a nonzero time-averaged power.
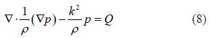
The theoretical basis underlying all mathematical models of acoustic propagation is the wave equation. The wave equation itself is derived from the more fundamental equations of state, continuity, and motion (Etter, 2003). Several other equations have been derived from the wave equation in different basic textbooks. For instance, Kinsler et al. (1982) presented a particularly lucid derivation. DeSanto (1979) derived a general form of the wave equation that included gravitational and rotational effects. Formulations of acoustic propagation models generally begin with a three-dimensional time-dependent wave equation. Based on the governing assumptions and intended applications, the exact form of the wave equation can vary considerably (DeSanto, 1979; Goodman and Farwell, 1979). For most applications, a simplified linear, hyperbolic, second-order, and time-dependent partial differential equation is expressed as
In order to solve the coupled Eqs. (9) and (10), it is necessary to determine an appropriate condition for the interior boundary of air-water. Based on the anomalous transparency of air-water interface, Godin (2008a) concluded that for a submerged localized shallow depth source, acoustic pressure and vertical component of the particle velocity at the interior interface of air-water are continuous. Continuity of the acoustic pressure implies continuity of the particle velocity, and thus continuity of the acoustic power flux density with respect to source position. Therefore, for a shallow depth source, the following condition over air-water interface exists:
Anomalous transparency and enhanced sound transmission theories offer their predictions by considering wave nature of sound and utilizing the wavelength integral. By considering pressure nature of sound and by utilizing coupled Helmholtz wave equations in the air-water medium, this paper tends to represent an approach for examining the predictions of these mentioned theories. The required equations for two-phase medium based on the fundamental Helmholtz wave equation were discussed in the last section. In this section, by using commercial finite element based COMSOL Multiphysics software, the derived equations are solved numerically. The COMSOL Multiphysics software is a powerful interactive environment for modeling and solving all kinds of scientific and engineering problems. With COMSOL Multiphysics, it is possible to extend the conventional models for one type of physics to multiphysics models that solve coupled physics phenomena. One of the most significant features of this software is its capability in solving coupled equations of various phases and physics. In the current study, solution of two-phase coupled Helmholtz wave equations is obtained by applying COMSOL Multiphysics.
Since the finite element method within COMSOL Multiphysics is mesh-based, it is essential to consider proper grids in the medium in order to accurately capture the pressure variations. As discussed earlier, despite the deep depth sources, anomalous transparency and enhanced sound transmission theories, due to the evanescent component of the generated wave by a shallow depth source, predict that large portion of the incident sound enters the air. It was also pointed out that, applying classical ray theories, which only consider the homogenous component of the wave, results in an incomplete solution (Godin, 2006; 2007; 2008a; 2008b).
A shallow depth source is assumed when the source position with respect to the air-water interface is less than 0.1λ. The pressure disturbance by the source in a medium result in propagation of the sound and by capturing this pressure disturbance properly, it becomes possible to trace the propagated sound in the medium. Here, these variations are captured by assuming proper grids in the propagation medium. These grids should have suitable qualities in order to be capable of capturing any pressure variation in the medium. In order to satisfy the mentioned conditions, the generated grids in the medium should be as small as possible. However, as a matter of time efficiency, it is required to consider a limitation for elements dimensions. Solving various cases by COMSOL Multiphysics, it is found that, if the element dimensions are considered to be less than 0.01λ in propagation direction and 0.05hrms in the normal direction as shown schematically in Fig. 1, the obtained solutions are more accurate compared to the experimental data. Based on this considered range for the element dimensions, the sound generated by the shallow depth source in each case wavelength is determined and proper grids for that case are produced in order to capture even infinitesimal pressure variations in the medium.
|
| Fig. 1 Schematic of the generated grids dimensions compared to the sound wave length λ, and root mean square of wave height hrms |
Since the sound generated by the shallow depth source after passing the air-water interface will propagate in the air, it is required to generate grids in the air medium for solving the coupled Helmholtz wave equations. A schematic of the generated grids in a two-phase medium is shown in Fig. 2. The wavelength in the new medium of air is different from its quantity in the water medium. Hence, the grid dimensions should be adjusted based on the new medium properties. The grid dimensions in the air are determined based on the mentioned range in the water. Since sound speed in the air is less than that in the water, the sound wavelength in this new medium will be less than its value in the water. Therefore, grid dimensions in the air are required to be smaller than that generated in water in order to satisfy the mentioned condition for the range of grid dimensions.
|
| Fig. 2 Schematic of the discretized air-water medium in order to solve the two-phase coupled Helmholtz equation |
Calvo et al. (2013) examined anomalous transparency and enhanced sound transmission of the air-water interface through performing experimental tests in a 1.22 mx1.22 mx 1.22 m water tank constructed from plywood lined with fiberglass. Based on the tank’s structure, they report the occurrence of the spherical radiation from the tank boundaries. In this paper, numerical simulations are conducted based on their experimental setups. Therefore, in the 2D numerical setup of the current study, a 2nd-order expression for the cylindrical radiation boundaries from Bayliss et al. (1982), and Temkin (2001) is adopted as
After generating the proper grids, the pressure fields in the air and water are obtained through solving the two-phase coupled Helmholtz wave equations in the air-water medium. These output pressures can be analyzed to obtain other acoustical results such as generated and transmitted powers in the air and water, and pressure amplitudes in any intended coordinate in the air or the water, respectively. However, since predictions of sound transmission based on recently introduced theories of anomalous transparency and enhanced sound transmission are intended in the current study, only run cases with source depth less than 0.1λ are considered and all the following analyses are based on this condition. The Flowchart of the numerical approach is illustrated in Fig. 3. As evident in Fig. 3, by determining the initial information related to frequency f, physical properties of air and water such as sound speed C and density ρ, source depth D, and source power Q, it is possible to solve Helmholtz coupled wave equations in the two-phase air-water medium. In the next section, the applied experimental data, numerical results of the current approach, and predictions of anomalous transparency and enhanced sound transmission theories will be discussed.
|
| Fig. 3 Flowchart of the numerical calculation of two-phase coupled Helmholtz equations, where ΔLv isthe general vertical dimension of grids and ΔLh is the horizontal dimension of the grids |
It has been discovered in the last several years that contrary to the classical view, the sound generated by a shallow depth source through air-water interface can transmit 35 times as much power to the air, which could be used for a deep depth source. This enhanced transmission of power into the air is due to the conversion of the evanescent waves in the water into propagating waves in the air. In this situation, almost the entire power emitted by the shallow depth source enters the air. Calvo et al. (2013) showed the difference between the newly established theories and the classical view of sound transmission through the air-water interface. Calvo et al. (2013) mentioned that the transmitted sound into the air for a shallow depth submerged source is almost omni-directional in the air. On the other h and , in the same situations and based on the classical ray theories, the transmitted sound into the air is within a cone of half angle 13.4°, as Calvo et al. (2013) discussed. Therefore, using the classical view for sound transmission in a case in which the shallow depth source generates sound results is an inaccurate and incomplete solution.
Since the main aim of the present paper is to apply two-phase coupled Helmholtz wave equations for sound transmission through the air-water interface for a shallow depth source, this phenomenon is examined by solving these equations by COMSOL Multiphysics software. Therefore, an arbitrary case is chosen in order to calculate the pressure field in the air (as shown in Fig. 4). In Fig. 4, source depth D=2.5 cm, frequency f=2 kHz, (D/kw=0.034), and p0ρ0=1 (Pa·m) are considered. Based on the enhanced sound transmission theory, since D/kw is hereby less than 2, the evanescent term of Eq. (1) is dominant. Therefore, the transmitted sound to the air can propagate outside of the cone as shown in Fig. 4 (b). On the other h and , based on the classical view in which only the homogeneous component of Eq. (1) (first two terms) is considered, the transmitted sound to the air will only propagate within 13.4°angle (Calvo et al. 2013 ). Hence, considering the partial wave number integration for 0<q<kw which excludes the evanescent waves, will not result in the total transmitted field to the air. The pressure far above the source in both cases is roughly the same, but the evanescent waves make an obvious difference outside of the 13.4°cone (Calvo et al. 2013 ). As shown in Fig. 4 (b), the resulting pressure fields are similar to the wavelength integration approach, which is taken into account by the enhanced sound transmission and anomalous transparency theories. In fact, resulting pressure field in air computed by the frequency-dependent and time-independent coupled Helmholtz wave equations, has good agreement with predictions of Calvo et al. (2013) based on the enhanced sound transmission theory. Since the submerged point source emits omni-directional sound, the created acoustic pressure field in the water should be the summation of the radiated sound from the air-water interface (albeit insignificant) and sound generated by the source itself. This can be seen in Fig. 4 (b) that the obtained pressure field in the air medium is omni-directional and has the same pattern as the enhanced sound transmission and anomalous transparency theories.
|
| Fig. 4 Generated acoustic pressure calculated by two-phase coupled Helmholtz wave equations due to a submerged shallow depth source (f=2 kHz, D/λw=0.034, D=2.5 cm) |
Calvo et al. (2013) examined the accuracy of the enhanced sound transmission and anomalous transparency theories through different experimental lab tests. They used a localized shallow depth submerged point source to generate sound in the medium. They also used two microphones in the air and a submerged hydrophone in the water in order to measure the generated pressure fields. The arrangements for the microphones, hydrophone, and source are shown in Fig. 5. These arrangements were also used for the current analyses. The current analyses were based on the enhanced sound transmission and anomalous transparency theories, since the transmitted sound for a shallow depth source in the air is omni-directional and microphone 2 is considered to verify this prediction. Accordingly, various case studies at different frequencies and source depths are investigated by considering different non-dimensional D/λwterms. However, changing source depth does not affect the considered distances between the microphones, hydrophone, and source. In other words, all the represented distances in Fig. 5 remain constant in all the case studies.
|
| Fig. 5 Considered positions for source, hydrophone, and microphones in the experimental study, where D is the source depth |
The measured pressure on the monitoring hydrophone for six frequencies is plotted versus relative source depth D/λw in Fig. 6. For the shallow points at low frequencies, the pressure on the monitoring hydrophone is considered as an interference between the direct and surface reflected paths with later (future) boundary reflections. As seen in Fig. 6, the reported pressures at low frequencies and shallow source depths decrease due to a reduction in source efficiency, when the source-image pair effectively radiates as a dipole (Calvo et al. 2013 ). In Fig. 6, solid curves are calculated by wavelength integration. The resulting pressures by coupled Helmholtz wave equations (triangular data points) are in good agreement with both theoretical (solid curves) and experimental (circular data points) results.
|
| Fig. 6 Numerical acoustic pressure (triangular data points) versus non-dimensional ratio D/λw, compared to experimental results (circular data points) and theoretical data (solid lines) for the considered location of hydrophone in Fig. 5 |
In Fig. 7, the numerical results are compared with the computed and measured results in the air versus non-dimensional ratio D/λw. As evident in this figure, good agreement is displayed over the frequencies and depths. It is observed that, as the ratio of the source depth and wavelength in water drops below 0.1, the radiation pattern becomes progressively omni-directional. Based on the presented results in Fig. 7, it can be concluded that, as the non-dimensional ratio D/λw decreases, the ratio of amplitudes of microphone 2 to microphone 1 decreases. Since the position of microphone 2 is out of the cone angle 13.4°, it seems that an increase in the ratio D/λw affects the omni-directional pattern of the sound generated in the air and causes less pressure out of the cone angle compared to the area located inside the cone angle.
|
| Fig. 7 Ratio of the microphone 2 to microphone 1 amplitudes versus non-dimensional ratio D/λw. Solid line is the computed wavelength integration (Experimental data are reported by Calvo et al. (2013)) |
The ratio of the on-axis microphone signal amplitude (microphone 1) and the signal amplitude at the monitoring hydrophone (shown in Fig. 5) is plotted in Fig. 8. It is observed that the predicted results by wavelength integration underestimate the experimental data (Calvo et al. 2013 ). Calvo et al. (2013) comprehensively discuss this disagreement between the experimental and theoretical data and state that it cannot be because of infinite dimensions of the tank. However, similar to the ratios of microphones amplitudes, the general pattern of the amplitudes ratio of (microphone 1/hydrophone) decreases as the non- dimensional ratio D/λw decreases. Based on this trend of the amplitudes ratio of (microphone 1/hydrophone) and the demonstrated microphones ratios in Fig. 7, it can be concluded that the reported pressure by microphone 2 is less than that by the hydrophone. One may conclude that an increase in ratio D/λw, which is the result of source depth increase, affects the omni-directional transmitted sound pattern in the air.
|
| Fig. 8 Ratio of the on-axis hydrophone amplitude to the hydrophone amplitude versus non-dimensional ratio D/λw. Solid line is the wavelength integration results (Experimental data are reported by Calvo et al., (2013)) |
Recently, it is discovered that contrary to the classical view, due to sound transmission through air-water interface for a shallow depth source which is located underwater at a distance less than 0.1λfrom the interface, high ratio of the emitted power enters the air. These predictions are presented by the enhanced sound transmission and anomalous transparency of air-water interface theories through wavelength integration. In this paper, coupled Helmholtz wave equations in two-phase air-water medium are solved by COMSOL Multiphysics finite element based software in order to examine sound transmission through air-water interface for a localized underwater point source. Based on the mentioned conditions for the boundaries in the experimental tests, cylindrical radiation conditions are suitably prescribed for the air and water boundaries. Continuity of the acoustic pressure at the air-water interface is considered based on the anomalous transparency of air-water interface theory. This enhanced transmission of sound into the air occurs because of evanescent waves which causes higher rate of the emitted sound passing the air-water interface. The transmitted acoustic pressure through air-water interface into the air versus the non-dimensional ratio D/λw was examined. It was concluded that, as ratio D/λw increases, the ratio of on-axis microphone and out of the cone angle microphone amplitudes decreases. This trend of reduction is also observed for the ratio of on-axis microphone to the hydrophone amplitudes. The considered numerical approach in this paper displays good agreement with the experimental and theoretical data.
| Bayliss A, Gunzburger M, Turkel E (1982). Boundary conditions for the numerical solution of elliptic equations in exterior regions. SIAM Journal on Applied Mathematics, 42(2), 430-451. DOI: 10.1137/0142032 |
| Brokesova J (2001). Reflection/transmission coefficients at a plane interface in dissipative and nondissipative isotropic media: a comparison. Journal of Computational Acoustics, 9(2), 623-641. DOI: 10.1142/S0218396X01000760 |
| Buckingham MJ (2001). Precision correlations between the geoacoustic parameters of an unconsolidated sandy marine sediment. Journal of Computational Acoustics, 9(1), 101-123. DOI: 10.1142/S0218396X01000437 |
| Buckingham MJ, Garcés MS (2001). Airborne acoustics of explosive volcanic eruptions. Journal of Computational Acoustics,9(3), 1215-1225. DOI: 10.1142/S0218396X01000802 |
| Buckingham MJ, Giddens EM, Simonet F, Hahn TR (2002). Propeller noise from a light aircraft for low frequency measurements of the speed of sound in a marine sediment. Journal of Computational Acoustics, 10(4), 445-464. DOI: 10.1142/S0218396X02001760 |
| Calvo DC, Nicholas M, Orris GJ (2013). Experimental verification of enhanced sound transmission from water to air at low frequencies. Journal of Acoustical Society of America, 134(5), 3403-3408. |
| Carey WM, Lynch JF, Siegmann WL, Rozenfeld I, Sperry BJ (2006). Sound transmission and spatial coherence in selected shallow-water areas: measurements and theory. Journal of Computational Acoustics, 14(2), 265-298. DOI: 10.1142/S0218396X06003037 |
| Cheng HK, Lee CJ (2004). Sonic-boom noise penetration under a wavy ocean: Theory. Journal of Fluid Mechanics, 514, 281-321. DOI: 10.1017/S0022112004000382 |
| DeSanto JA (1979). Derivation of the acoustic wave equation in the presence of gravitational and rotational effects. Journal of Acoustical Society of America, 66(3), 827-830. |
| Desharnais F, Chapman DMF (2002). Underwater measurements and modeling of a sonic boom. Journal of Acoustical Society of America, 111(1), 544-553. DOI: 10.1121/1.1404376 |
| Etter PC (2003). Underwater acoustic modeling and simulation. Third ed., Spon Press, Taylor & Francis Group, London and New York. |
| Ferguson BG (1993). Doppler effect for sound emitted by a moving airborne source and received by acoustic sensors located above and below the sea surface. Journal of Acoustical Society of America, 94(6), 3244-3247. |
| Ghadimi P, Bolghasi A, Feizi Chekab MA (2014a). Acoustic simulation of scattering sound from a more realistic sea surface: consideration of two practical underwater sound sources. Journal of the Brazilian Society of Mechanical Sciences and Engineering. DOI: 10.1007/s40430-014-0285-1 |
| Ghadimi P, Bolghasi A, Feizi Chekab MA (2014b). Low frequency sound scattering from rough bubbly ocean surface: Small perturbation theory based on the reformed Helmholtz-Kirchhoff-Fresnel method. Journal of Low Frequency Noise, Vibration and Active Control, 34(1), 49-72. DOI: 10.1260/0263-0923.34.1.49 |
| Godin OA (2006). Anomalous transparency of water-air interface for low frequency sound. Phys. Rev. Lett., 97, 164301. DOI: 10.1103/PhysRevLett.97.164301 |
| Godin OA (2007). Transmission of low-frequency sound through the water-to-air interface. Acoustical Physics, 53(3), 353-361. DOI: 10.1134/S1063771007030074 |
| Godin OA (2008a). Low-frequency sound transmission through a gas-liquid interface. Journal of Acoustical Society of America, 123(4), 1866-1879. DOI: 10.1121/1.2874631 |
| Godin OA (2008b). Sound transmission through water-air interfaces: new insights into an old problem. Contemporary Physics, 49(2), 105-123. DOI: 10.1080/00107510802090415 |
| Goodman RR, Farwell RW (1979). A note on the derivation of the wave equation in an inhomogeneous ocean. Journal of Acoustical Society of America, 66(6), 1895-1896. |
| Gordienko VA, Gordienko EI, Zakharov LN, Il'ichev VI (1993). The shallow-water propagation particularities of the signals transduced by source located above water-surface. Doklady Akad. Nauk, 333(4), 503-506. (in Russian). |
| Kazandjian L, Leviandier L (1994). A normal mode theory of air-to-water sound transmission by a moving source. Journal of Acoustical Society of America, 96(3), 1732-1740. DOI: 10.1121/1.410251 |
| Kinsler LE, Frey AR, Coppens AB, Sanders JV (1982). Fundamentals of Acoustics. Third ed., John Wiley & Sons, New York. |
| Komissarova NN (2001). Sound field features in the coastal zone of a shallow sea with an airborne source of excitation. Acoustical Physics, 47(3), 313-322. DOI: 10.1007/BF03353586 |
| Lubard SC, Hurdle PM (1976). Experimental investigation of acoustic transmission from air into a rough ocean. Journal of Acoustical Society of America, 60(5), 1048-1052. |
| McDonald BE, Calvo DC (2007). Enhanced sound transmission from water to air at low frequencies. Journal of Acoustical Society of America, 122(6), 3159-3161. DOI: 10.1121/1.2793709 |
| Medwin H, Clay CS (1998). Fundamentals of acoustical oceanography. 2nd ed., Academic Press, Boston. |
| Ravazzoli CL (2001). Analysis of the reflection and transmission coefficients in three-phase sandstone reservoirs. Journal of Computational Acoustics, 9(4), 1437-1454. DOI: 10.1142/S0218396X0100084X |
| Richardson WJ, Greene CR, Malme Jr. CI, Thomson DH (1995). Marine mammals and noise. Academic Press, New York. |
| Sparrow VW (2002). Review and status of sonic boom penetration into the ocean. Journal of Acoustical Society of America, 111(1), 537-543. DOI: 10.1121/1.1402617 |
| Sohn RA, Vernon F, Hildebrand JA, Webb SC (2000). Field measurements of sonic boom penetration into the ocean. Journal of Acoustical Society of America,107(6), 3073-3083. |
| Temkin S (2001). Elements of Acoustics. Wiley, New York. |


