1 Introduction
The motion of a body of any geometrical configuration, floating on the surface of water, is investigated in the literature assuming linearized theory of water waves. The problem of heaving motion of a long, horizontal circular cylinder on the surface of water was investigated by Ursell(1949)using the method of multipole expansion of the time-harmonic stream function. The corresponding velocity potential also has a similar expansion. In fact, for an infinitely long horizontal cylinder of arbitrary cross section floating on the surface of water, the potential function in general can be expressed in terms of a regular wave, a wave source, a dipole and wave-free potentials(Ursell,1968; Athanassonlis,1984). The wave-free potentials are singular at some point and tend to zero rapidly at infinity. Obviously these satisfy the free-surface condition. Two and three dimensional problem of multipole expansions in the theory of surface waves in infinite deep water and also in water of uniform finite depth water has been given by Thorne(1953). Expansions in terms of the wave source and an infinite set of wave-free potentials were introduced for the three- dimensional problem involving a floating sphere half- immersed and making periodic heaving oscillations by Havelock(1955). Ursell(1961a),Ursell(1961b),Bolton and Ursell(1973), Mandal and Goswami(1984)considered problems where the potential functions is expansion in terms of wave sources and wave-free potentials. Taylor and Hu(1991)described expansion of the velocity potential for two and three dimensional wave diffraction and radiation problems. Linton and McIver(2001)briefly described the construction of wave free potentials in the case of water of infinite and finite depth water with a free surface.
There is a large class of problems in the field of fluid structure interaction where higher-order boundary conditions arise for a second-order partial differential equation. Various methods are being used to tackle these kind of mixed boundary-value problems(BVP)associated with the Laplace equation(or Helmholtz equation)arising in the study of waves propagating through solids or fluids. One of the widely used methods in wave structure interaction is the method multipole expansion. In most of the wave-structure interaction problems, the governing equation is either the Laplace or the Helmholtz equation and , thus, the features of the orthogonal relation mainly depend upon the nature of the bottom and upper surface boundary conditions. Higher-order boundary conditions occur frequently in fluid-structure interaction problems when we deal with very large floating structures(VLFS). Evans and Porter(2003)analysed the oblique wave scattering caused by a narrow crack in ice sheets floating on water of finite depth with the eigenfunction expansion method. Chakrabarti(2000)analysed the problem of scattering of surface water waves by the edge of an ice cover and obtained the explicit solution with a singular, Carleman-type integral equation. Das and M and al(2006),Das and M and al(2009)analysed the problem of water wave scattring by a circular cylinder with an ice-cover. Das and M and al(2008)also studied the water wave radiation by a sphere submerged in water with an ice-cover. Das and M and al(2010a),Mandal and Das(2010)presented in a systematic manner the construction of wave free potentials for two- dimensional deep water and finite depth water with free surface, or corresponding the effect of the surface tension at the free surface and also in water with an ice-cover. Dhillon and Mandal(2013)also presented the construction of a wave free potential for three dimensional deep water as well as finite depth water.
The multipoles and wave-free potentials have been described for single layer fluids, both in two and three dimensions and for infinite as well as finite depth water. More recently, however, interest has been extended to bodies which are floating, submerged or partially immersed in two-layer fluids, each fluid having a different density. The wave motion in a two-layer fluid has gained importance due to plans to construct under water pipe bridge across the Norwegian fjords. A fjord consists of a layer of fresh water on the top of a deep layer of salt water. For tow-dimension motions,Kassem(1982)presented the multipole expansions for two superposed fluids, each of finite depth. Linton and McIver(1995),Linton and Cadby(2002)have constructed a set of multipoles in the theory of surface waves in two-layer fluid with free surface for normal and oblique incident wave trains. Three-dimensional multipoles in two-layer fluid with free surface have been given by Cadby and Linton(2000). Das and M and al(2007);Das and M and al(2010b)constructed the multipole potentials in their problems for two-dimension and three-dimension in two-layer fluid with an ice-cover.
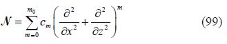
In the literature, two-layer fluid water wave problems have not been studied for wave-free potential function construction. However, for the various classes of water wave problems in two-layer fluid many researchers may use the wave-free potentials in the mathematical analysis. For circular cylinder of arbitrary cross section floating on the surface of a two-layer fluid or half-immersed circular cylinder in a two-layer fluid, the potential function in general can be expressed in terms of a regular wave, wave-free potential etc. Also in winter, a fjord is covered by a layer of ice, so that we have a cylindrical pipe bridge submerged below an ice-cover. Now if we consider the problem of partially or half-immersed circular cylinder in a two-layer fluid with an ice-cover, then potential functions may be expressed in terms of the regular potential as well as wave-free potential function. Thus it will study the problem of construction of wave-free potential in a two-layer fluid. Also in these problems(both single layer and two-layer)the higher-order boundary condition involves third order partial derivative(surface tension) and fifth order partial derivation(ice-cover). However, the boundary value problem involving higher-order boundary conditions more than fifth order partial derivative(Manam et al., 2006; Das et al., 2008)have not been extensively studied with a view to establish the multipole potentials and also wave-free potentials.
In this paper construction of wave-free potentials and multipoles are presented in a systematic manner. The cases of two-dimensional non-oblique and oblique waves in two-layer fluid with free surface condition with higher order partial derivative are considered. Also the cases of three-dimensional waves in two-layer fluid with free surface with higher order partial derivative are considered. When the higher order partial derivative reduces to first order(free surface)or fifth order partial derivative(ice-cover), multipoles exactly coincide with the multipoles for two-layer fluid with free surface(Linton and McIver, 1995; Linton and Cadby, 2002; Cadby and Linton, 2000), or for two-layer fluid with ice-cover(Das and Mandal, 2007; Das and Mandal, 2010b).
2 Multipoles and wave-free potentials for non-oblique waves
In a two-layer fluid, both the upper and lower fluids are assumed to be homogeneous, incompressible and inviscid. Let ρI be the density of the upper fluid and ρII(>ρI)be the same for the lower fluid. Let the lower fluid extend infinitely downwards while the upper one has a finite height h above the mean interface. Let y-axis points vertically upwards from the undisturbed interface y=0. Thus the upper layer occupies the region 0<y<h while the lower layer occupies the region y<0. Under the usual assumption of linear theory and irrotational two-dimensional motion, velocity potentials
,ω being angular velocity, describing the fluid motion in the upper and lower layers exist. For a general BVP,ψI, IIsatisfy
The linearised boundary conditions at the interface y=0 are
We first consider solutions of Laplace equation in two dimensions(x, y)which are singular at(0,f<0). Polar co-ordinates(r,θ)are defined in the(x, y)-plane by
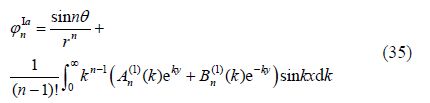
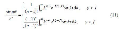
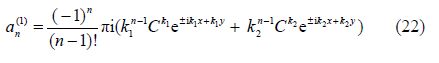
Now for the case of normal incidence, the solutions of Laplace’s equation singular at y=f<0 are r-ncosnθ and r-nsinnθ,n≥, and these have the integral representations(Thorne,1953)
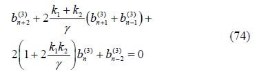
The mutipoles are constructed as Linton and McIver(1995)
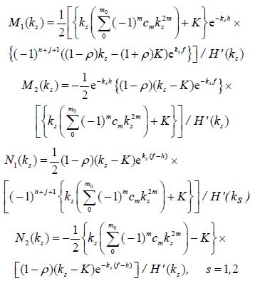
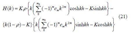
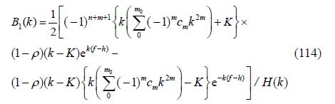
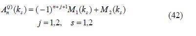
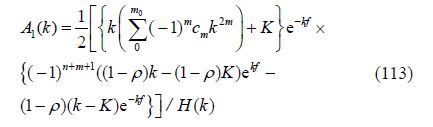
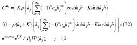
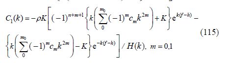
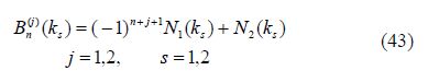
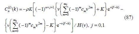
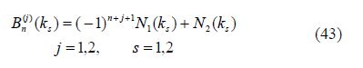
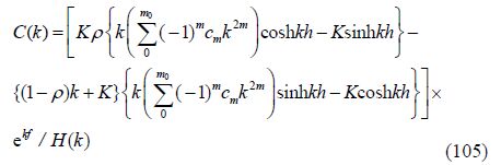
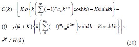
The path of the integration in the integrals in(14)to(17)is indented below the poles at k=k1 and k=k2 on the real k-axis to take care of their outgoing behaviour as |x|→∞ and k1,k2 are only two real positive roots of the equation H(k)=0(Das et al.,2008).
The far-field forms of the multipoles, in the lower fluid, is given by

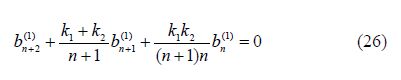
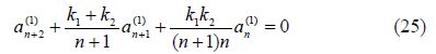
do not contribute anything as |x|→∞ so that they are wave-free. Now using the representations(25) and (26)it can be shown that
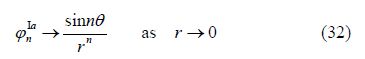
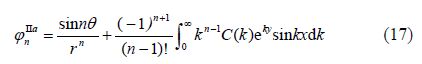
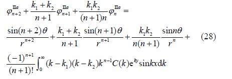
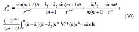
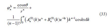
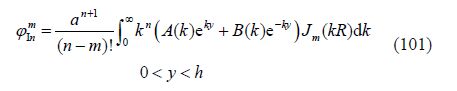
To develop multipoles singular at y=f>0 and polar co-ordinates are again defined via(9). The solutions of Laplace’s equation singular at y=f>0 are r-ncosnθ and r-nsinnθ,n≥1, and let ψsn and ψan denote the symmetric and antisymmetric multipoles satisfying(1),(2)except at(0,f)with boundary conditions(4)to(7) and
The mutipoles are constructed as(Linton and McIver, 1995)
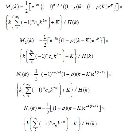
The path of the integration in the integrals in(33)to(36)is indented below the poles at k=k1 and k=k2 on the real k-axis to take care of their outgoing behaviour as |x|→∞ .
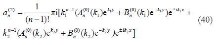
The far-field forms of the multipoles, in the upper fluid, is given by



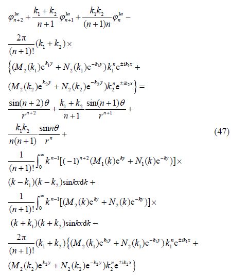
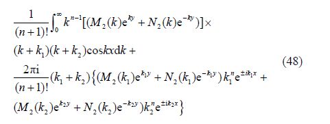
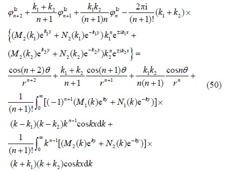
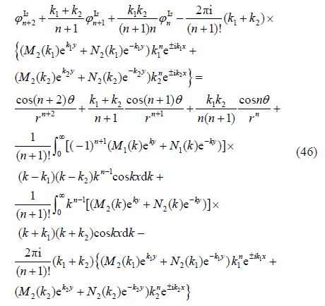
The last contour integrals in(46) and (47)can be written in the form:
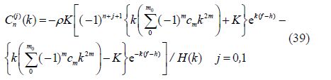
Thus(46) and (47)reduce to
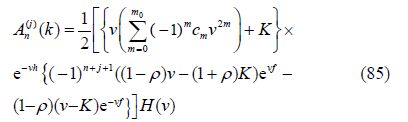
In particular, choose c0=1,ci=0,i=1,2,…,m0, the BVP becomes the BVP for two-layer fluid with free surface(Linton and McIver, 1995) and the multipoles exactly coincide with those for the case of two-layer fluid with free surface(Linton and McIver, 1995) and the wave-free potentials become the wave-free potentials for two-layer fluid with free surface. Similarly, if choose c0=1−εK,c1=0,c2=D,ci=0,i=3,4,…,m0, then the BVP becomes the BVP for two layer fluid with ice-cover boundary condition(3)( Das and M and al, 2007) and obtain the corresponding multipoles( M and al, 2007) and wave-free potentials. If we let c0=1,ci=0,i=1,2,…,m0 and ρ→0 in this problem then it can be shown that the multipoles and wave-free potential functions go over to the single layer multipoles evaluated by Thorne(1953) and wave-free potential evaluated by Das and M and al(2010a). Thus by letting ρ→0 in the above analysis we recover the results for the single layer fluid.
3 Multipoles and wave-free potentials for oblique waves
Under the usual assumption of linear theory and
irrotational two-dimensional motion, velocity potentials
,γ is the wave number component along the z-direction, describing the fluid motion in the upper and lower layers exist. For a general BVP,ψI, II satisfy
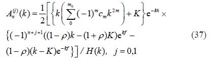
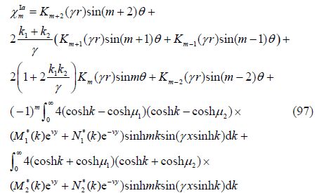
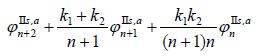
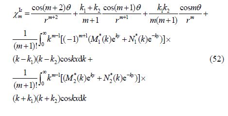
Let ψsn and ψan denote the symmetric and antisymmetric multipoles satisfying(54) and (55)for upper and lower fluid except at(0,f)with boundary conditions(56) and (6)to(8) and represent an outgoing waves at infinity. Near the point(0,f), the behaviours of ψIIs, an are given by
The multipoles are constructed as(Linton and Cadby, 2002)
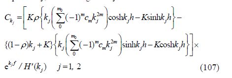
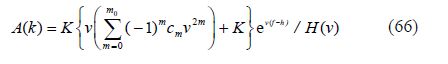
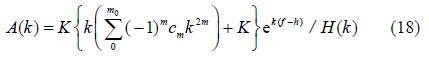
The functions ψsn and ψan are singular solutions of the modified Helmholtz equation and satisfy the generalized free surface condition(56) and the interface conditions(6) and (7) and are of outgoing nature at infinity. Then A(k),B(k) and C(k) have the forms:
The path of the integration in the integrals in(60)to(63)is indented below the poles at k=μ1 and k=μ2, where
The far-field forms of the multipoles, in the lower fluid, is given by

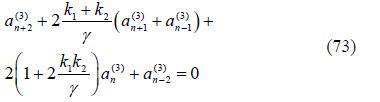
Using(70) and (71), we find
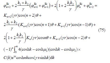
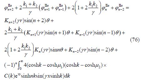
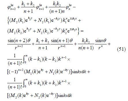
Letting f→0 in(75) and (76)we obtain the symmetric and antisymmetric wave-free potentials with singularity near the interface between two layers and are given by
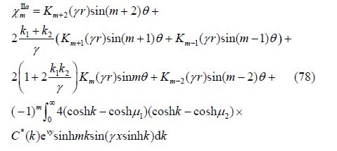
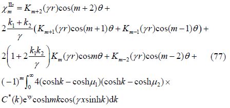
To develop multipoles singular at y = f >0 and polar co-ordinates are again defined via(9). The solutions of Helmholtz equation singular at y = f >0 are ${K_n}{\text{(}}\gamma r{\text{)cos}}n\theta$ and ${K_n}{\text{(}}\gamma r{\text{)sin}}n\theta $,n≥1 . Let ψsn and ψandenote the symmetric and antisymmetric multipoles satisfying(54) and (55)for upper and lower fluid except at(0,f)with boundary conditions(56) and (6)to(8) and represent an outgoing waves at infinity. Near the point(0,f), the behaviours of $\varphi _n^{{\text{I}}s, a}$ are given by
The mutipoles are constructed as(Linton and Cadby, 2002)
The far-field forms of the multipoles, in the upper fluid, is given by

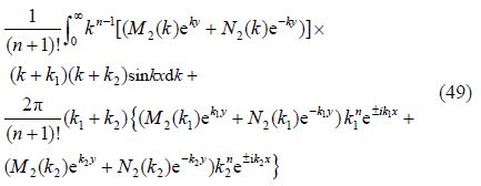
Using(88) and (89), we find
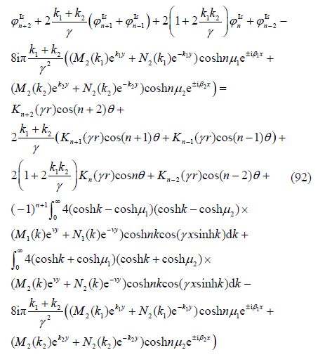
Now using the representations(90) and (91)it can be shown that
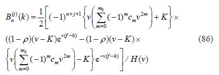
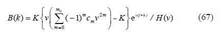
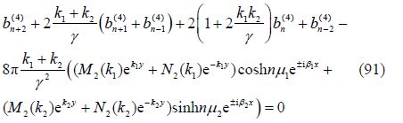
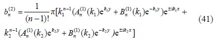
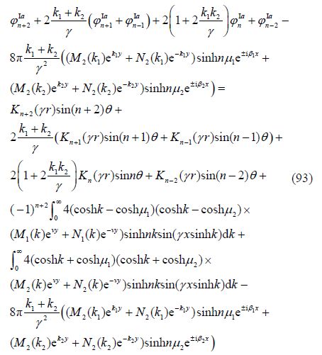
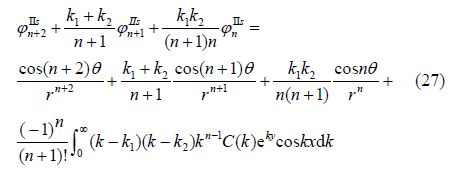
After substituting(94),(95)in(92),(93)respectively and letting f→h in(92) and (93)we obtain the symmetric and antisymmetric wave-free potentials with singularity in the upper surface of the two-layer and are given by
In particular, choose c0=1,ci=0,i=1,2,…,m0, the BVP becomes the BVP for two-layer fluid with free surface(Linton and Cadby, 2002) and the multipoles exactly coincide with those for the case of two-layer fluid with free surface(Linton and Cadby, 2002) and the wave-free potentials become the wave-free potentials for two-layer fluid with free surface. Similarly, if choose c0=1−εK,c1=0,c2=D,ci=0,i=3,4,…,m0, then the BVP becomes the BVP for two layer fluid with ice-cover boundary condition(3)(Das and M and al, 2007) and obtain the corresponding multipoles(Das and M and al, 2007) and wave-free potentials. If we let c0=1,ci=0,i=1,2,…,m0 and ρ→0 in this problem then it can be shown that the multipoles and wave-free potential functions go over to the single layer multipoles evaluated by Thorne(1953) and wave-free potential evaluated by Das and M and al(2010a). Thus by letting ρ→0 in the above analysis we recover the results for the single layer fluid.
4 Three dimensional multipoles and wave-free potentialsHere the velocity potential


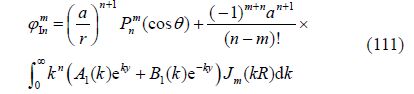
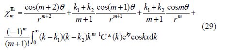
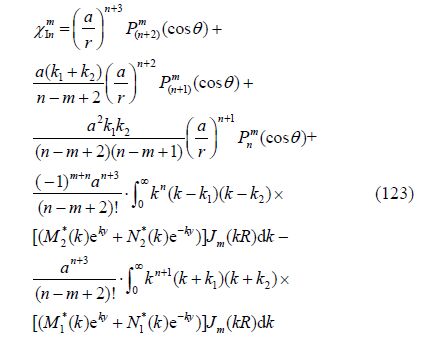
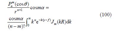
The velocity potential singular at(0,f,0)describing the motion in the lower fluid, then multipole singular potential functions are solutions of the Laplace’s equation which are singular at r=0, satisfy the boundary conditions(6)to(8) and (98). These can be constructed using the method given by Thorne(1953). A solution of Laplace’s equation in the spherical polar co-ordinate system(r,θ,α) and singular at r=0 is
, where Pnm are associated Legendre functions. This has the integral representation, valid for y>f(Thorne,1953)
The far-field forms of the multipoles, in the lower layer, is given by

This is the wave-free potential having singularity at(0,f,0). Letting f→0 in(109)it is obtained the wave-free potentials having singularity near the interface between two-layer and is given by
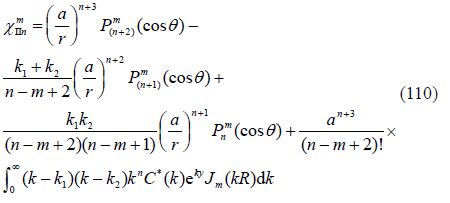
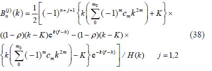
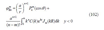
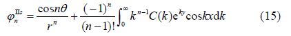
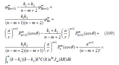
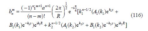
To develop multipoles singular at y = f >0. The solution of Laplace’s equation singular at y=f>0 is ${r^{ - n - 1}}P_n^m{\text{(cos}}\theta {\text{)cos}}m\alpha$ . Let $\varphi _n^{m, s}$ is denote the multipoles satisfying(1),(2)except at(0,f,0)with boundary conditions(6),(7) and (98). The mutipoles are constructed as(Cadby and Linton, 2000)
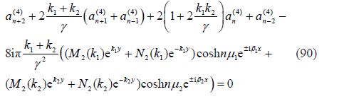
The path of the integration in the integrals in(111) and (112)is indented below the poles at k=k1 and k=k2 on the real k-axis.
The far-field forms of the multipoles, in the upper fluid, is given by

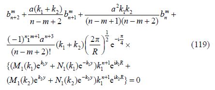
Using(116), it is found that
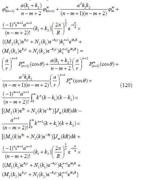
Now using the representation(119)it can be shown that
The last contour integrals in(120)can be written in the form:
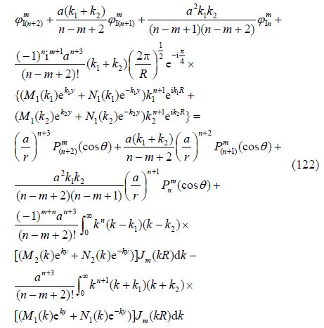
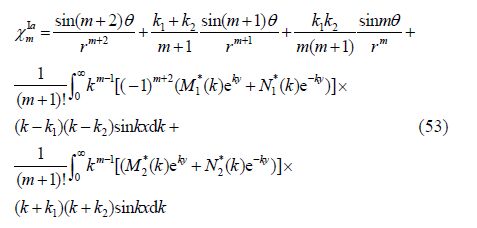
Thus(120)reduces to
This is the wave-free potential having singularity at(0,f,0). Letting f→h in(122)it is obtained the wave-free potentials with singularity in the upper surface of the two-layer and are given by
In particular, choose c0=1,ci=0,i=1,2,…,m0, the BVP becomes the BVP for two-layer fluid with free surface(Cadby and Linton, 2000) and the multipoles exactly coincide with those for the case of two-layer fluid with free surface(Cadby and Linton, 2000) and the wave-free potentials become the wave-free potentials for two-layer fluid with free surface. Similarly, if choose c0=1−εK,c1=0,c2=D,ci=0,i=3,4,…,m0, then the BVP becomes the BVP for two layer fluid with ice-cover boundary condition(3)(Das and M and al, 2010b) and obtain the corresponding multipoles(Das and M and al, 2010b) and wave-free potentials. If we let c0=1,ci=0,i=1,2,…,m0 and ρ→0 in this problem then it can be shown that the multipoles and wave-free potential functions go over to the single layer multipoles evaluated by Thorne(1953) and wave-free potential evaluated by Dhillon and M and al(2013). Thus by letting ρ→0 in the above analysis we recover the results for the single layer fluid.
5 ConclusionsWave-free potentials and multipoles in two-layer fluid with a free surface condition with higher order derivatives for non-oblique and oblique waves(two dimensions) and also three dimension are constructed in a symmetric manner. Appropriate modifications of the wave-free potentials can be made in the circumstances when the two-layer fluid are of uniformly finite depth for both the layers having a free surface conditions with higher order derivatives. In particular, these are obtained taking into account of the effect of the presence of surface tension at the free surface and also in the presence of an ice-cover modelled as a thin elastic plate. Also for limiting case, it can be shown that the multipoles and wave-free potential functions go over to the single layer multipoles and wave-free potential.
| Athanassonlis GA (1984). An expansion theorem for water-wave potentials. Journal of Engineering Mathematics, 18(3), 181-194. DOI: 10.1007/BF00039187 |
| Bolton WE, Ursell F (1973). The wave force on an infinite long circular cylinder in an oblique sea. Journal of Fluid Mechanics, 57(2), 241-256. |
| Cadby JR, Linton CM (2000). Three-dimensional water wave scattering in two-layer fluids. Journal of Fluid Mechanics, 423, 155-173. DOI: 10.1017/S0022112000002007 |
| Chakrabarti A (2000). On the solution of the problem of scattering of surface water waves of the edge of an ice-cover. Proc. R. Soc. Lond. A, 456, 1087-1099. |
| Das D, Mandal BN (2006). Oblique wave scattering by a circular cylinder submerged beneath an ice-cover. International Journal of Engineering Science, 44(3-4), 166-179. DOI: 10.1016/j.ijengsci.2006.01.001 |
| Das D, Mandal BN (2007). Wave scattering by a horizontal circular cylinder in a two-layer fluid with an ice-cover. International Journal of Engineering Science, 45(10), 842-872. DOI: 10.1016/j.ijengsci.2007.05.008 |
| Das D, Mandal BN (2008). Water wave radiation by a sphere submerged in water with an ice-cover. Archive of Applied Mechanics, 78(8), 649-661. DOI: 10.1007/s00419-007-0186-1 |
| Das D, Mandal BN (2009). Wave scattering by a circular cylinder half-immersed in water with an ice-cover. International Journal of Engineering Science, 47(3), 463-474. DOI: 10.1016/j.ijengsci.2008.10.001 |
| Das D, Mandal BN (2010a). Construction of wave-free potentials in linearized theory of water waves. Journal of Marine Science and Application, 9(4), 347-354. DOI: 10.1007/s11804-010-1019-0 |
| Das D, Mandal BN (2010b). Wave radiation by a sphere submerged in a two-layer ocean with an ice-cover. Applied Ocean Research, 32(3), 358-366. DOI: 10.1016/j.apor.2009.11.002 |
| Das D, Mandal BN, Chakrabarti A (2008). Energy identities in water wave theory for free-surface boundary condition with higher-order derivatives. Fluid Dynamics Research, 40(4), 253-272. DOI: 10.1016/j.fluiddyn.2007.10.002 |
| Dhillon H, Mandal BN (2013). Three dimensional wave-free potentials in the theory of water waves. The ANZIAM Journal, 55(2), 175-195. DOI: 10.1017/S1446181113000357 |
| Evans DV, Porter R (2003). Wave scattering by narrow cracks in ice-sheets floating on water of finite depth. Journal of Fluid Mechanics, 484, 143-165. DOI: 10.1017/S002211200300435X |
| Havelock TH (1995). Waves due to a floating sphere making periodic heaving oscillations. Proc. R. Soc. Lond. A, 231, 1-7. DOI: 10.1098/rspa.1955.0152 |
| Kassem SE (1982). Multipole expansions for two superposed fluids, each of finite depth. Mathematical Proceedings of the Cambridge Philosophical Society, 91(2), 323-329. |
| Landau LD, Lifshitz EM (1959). Theory of elasticity. Pergamon Press, London, 45-50. |
| Linton CM, Cadby JR (2002). Scattering of oblique waves in a two-layer fluid. Journal of Fluid Mechanics, 461, 343-364. DOI: 10.1017/S002211200200842X |
| Linton CM, McIver M (1995). The interaction of waves with horizontal cylinders in two-layer fluids. Journal of Fluid Mechanics, 304, 213-229. DOI: 10.1017/S002211209500440X |
| Linton CM, McIver P (2001). Handbook of mathematical techniques for wave/structure introductions. Chapman and Hall/CRC Press, London, 243-268. |
| Manam SR, Bhattacharjee J, Sahoo T (2006). Expansion formula in wave structure interaction problems. Proc. R. Soc. A, 462, 263-287. |
| Mandal BN, Das D (2010). Construction of wave-free potentials in linearized theory of water waves in uniform finite depth water.Rev. Bull. Cal. Math. Soc., 18(2), 173-184. |
| Mandal BN, Goswami SK (1984). Scattering of surface waves obliquely incident on a fixed half-immersed circular cylinder. Mathematical Proceedings of the Cambridge Philosophical Society, 96(2), 359-369. DOI: 10.1017/S0305004100062265 |
| Taylor RE, Hu CS (1991). Multipole expansions for wave diffraction and radiation in deep water. Ocean Engineering, 18(3), 191-224. DOI: 10.1016/0029-8018(91)90002-8 |
| Thorne RC (1953). Multipole expansions in the theory of surface waves. Mathematical Proceedings of the Cambridge Philosophical Society, 49(4), 707-716. DOI: 10.1017/S0305004100028905 |
| Ursell F (1949). On the heaving motion of a circular cylinder on the surface of a fluid. Q. J. Mech. Appl. Math., 2(2), 218-231 DOI: 10.1093/qjmam/2.2.218 |
| Ursell F (1961a). The transmission of surface waves under surface obstacles. Proc. Camb. Philos. Soc., 57, 638-663. |
| Ursell F (1961b). Slender oscillating ships at zero forward speed. Journal of Fluid Mechanics, 14, 496-516. |
| Ursell F (1968). The expansion of water wave potentials at great distances. Proc. Camb. Phill. Soc., 64, 811-826. |


