欠驱动自主水下航行器(Autonomous Underwater Vehicle,AUV)在执行海洋观测、军事探测任务时,需要克服自身的高度非线性、强耦合性以及时变洋流扰动,实现高精度的轨迹跟踪[1]。然而,因欠驱动结构特性(横向/垂向推进器缺失)及非完整约束限制,系统控制输入与运动自由度间存在强耦合效应,导致传统控制方法难以同时满足鲁棒性要求。特别是时变洋流扰动的高频不确定性,进一步加剧了闭环系统的稳定难度,这本质上可归结为具有非匹配扰动的严格反馈系统控制问题。因此,轨迹跟踪相关研究对提升欠驱动AUV在动态海洋环境中的自主作业能力具有重要工程价值。
针对欠驱动AUV轨迹跟踪控制方法的研究体系,现有方法可分为线性与非线性控制两大范畴。线性控制需以精确系统模型为设计基础,但受水动力参数摄动、强非线性耦合及时变洋流扰动等多重不确定性制约,其工程适用性显著受限。非线性控制领域主流方法包括PID控制[2 - 3]、滑模控制[4 - 5]、自适应控制[6 - 7]、智能控制[8 - 9]及反步控制[10 - 11]等,其中基于李雅普诺夫稳定性理论构建的反步控制方法凭借其递归设计优势,在欠驱动系统控制中展现出独特潜力。然而,该方法的“微分爆炸”问题与鲁棒性缺陷亟待突破:前者源于递归设计中的高阶微分运算,Wang等[12]通过滤波器技术实现导数估计,在降低计算复杂度的同时抑制扰动;后者则由未建模动态与非匹配扰动引起,现有改进策略主要采用复合控制架构,Zhang等[13]融合神经网络构建扰动补偿机制;Han等[14]结合模糊逻辑处理量化状态约束;Chen等[15]通过固定时间收敛项实现速度误差的固定时间收敛。
欠驱动AUV轨迹跟踪控制的目的在于实现系统状态的快速稳定。传统反步控制框架仅能保证渐近稳定性,其跟踪误差在无限时间才能收敛到原点。有限时间控制理论通过引入终端滑模等技术,可确保系统状态在有限时间内收敛:Cui等[6]提出基于哈密顿函数的自适应有限时间镇定策略来有效处理时变扰动与参数不确定性。Ji等[16]结合模糊自适应扩张状态观测器与非奇异快速终端滑模控制,实现跟踪误差的有限时间收敛。然而该方法的收敛时间与初始状态密切相关,当初始误差较大时会导致调节时间过长,这对初始状态未知的欠驱动AUV系统尤为不利。固定时间控制理论作为有限时间控制理论的改进方向,其收敛时间上界具有与初始状态无关的一致最终有界性,最早由Polyakov提出。Palyakov等[17 - 18]结合反步法与固定时间控制框架,确保轨迹跟踪误差在固定时间内收敛到原点。Li等[19]通过障碍函数设计自适应固定时间模糊控制器,结合预设性能函数实现误差安全域约束。但该方法存在2个固有缺陷:一是缺乏显式的参数—时间关系,二是时间上界估计过于保守。预设时间控制理论进一步将收敛时间作为独立可调参数。Sun等[20]提出自适应预设时间滑模控制器,实现不同混沌系统之间的同步。Zhao等[21]结合反步法与预设时间理论设计模糊自适应一致性跟踪器,通过新型时间函数确保预设时间稳定并维持状态安全。目前该理论已在多类非线性系统中得到验证,但欠驱动AUV的预设时间轨迹跟踪控制仍存在理论空白,亟需深入研究。
针对存在时变洋流扰动的欠驱动AUV,本文提出基于(Predefined-time Disturbance Observer,PTDO)的实际预设时间控制方案。
1 预备知识与AUV模型 1.1 预备知识考虑如下非线性系统:
| $ \dot{\mathit{x}}\left(\mathit{t}\right)=\mathit{f}\left(\mathit{x}\left(\mathit{t}\right),\;\mathit{t}\right),\;\mathit{x}\left(0\right)={\mathit{x}}_{0}。$ | (1) |
式中:
定义1[17] 假设系统(1)的平衡点是有限时间稳定的,
定义2[20] 假设式(1)的平衡点是固定时间稳定的,收敛时间函数
引理1[22] 对于一个非线性系统,如果存在一个李雅普诺夫函数
| $ \dot{V} \leqslant -\frac{\text{π}}{\rho T}\left({V}^{1-\frac{\rho }{2}}+{V}^{1+\frac{\rho }{2}}\right)。$ | (2) |
式中:
此外,如果存在一个正常数
| $ \dot{V}\leqslant -\frac{\text{π}}{\rho T}\left({V}^{1-\frac{\rho }{2}}+{V}^{1+\frac{\rho }{2}}\right)+D。$ | (3) |
则称系统是实际预设时间稳定的。其收敛区间为:
| $ \left\{\underset{t\to {T}_{c}}{\mathrm{lim}}x|V\mathrm{min}\left\{\left(\frac{2}{\text{π}}\rho TD\right)^{\frac{2}{2-\rho }},\left(\frac{2}{\text π }\rho TD\right)^{\frac{2}{2+\rho }}\right\}\right\}。$ | (4) |
式中:
引理2[18] 如果
| $ {x}_{i}\leqslant {x}_{i}^{a}+{x}_{i}^{b},$ | (5) |
| $ {\left({x}_{1}+{x}_{2}+\cdots {x}_{n}\right)}^{a}\leqslant {x}_{1}^{a}+{x}_{2}^{a}+\cdots {x}_{n}^{a},$ | (6) |
| $ {\left({x}_{1}+{x}_{2}+\cdots {x}_{n}\right)}^{b}\leqslant {n}^{b-1}\left({x}_{1}^{b}+{x}_{2}^{b}+\cdots {x}_{n}^{b}\right) 。$ | (7) |
引理3[23] 对任意
| $ 0\leqslant \|\Phi \|-{\Phi }^{\mathrm{T}}\mathrm{tanh}\left(\frac{\Phi }{\varepsilon }\right)\leqslant \kappa \varepsilon。$ | (8) |
为精确描述欠驱动AUV的三维运动情况,采用如图1所示的大地坐标系和机体坐标进行刻画。大地坐标系位于大地上,带有坐标
|
图 1 大地坐标系下和机体坐标系下的AUV Fig. 1 AUV in the Earth-fixed and body-fixed coordinate systems |
基于上述坐标系,欠驱动AUV的运动学和动力学模型可描述为:
| $ \left\{\begin{split}&\dot{\boldsymbol{\eta }}={\boldsymbol{J}}\left(\boldsymbol{\eta }\right){\boldsymbol{\nu}},\\ &{\boldsymbol{M}}\dot{\boldsymbol{\nu }}+\boldsymbol{C}\left(\boldsymbol{\nu }\right){\boldsymbol{\nu}} +{\boldsymbol{D}}\left({\boldsymbol{\nu }}\right){\boldsymbol{\nu}} +{\boldsymbol{G}}\left({\boldsymbol{\eta }}\right)={\boldsymbol{\tau}} +{\boldsymbol{\tau }}_{\boldsymbol{d}}。\end{split}\right. $ | (9) |
式中:
假设AUV的重力和浮力相等,浮力中心位于垂直平面,并且忽略了非线性流体动力阻尼项和滚动运动,则可以将AUV的运动学模型简化为:
| $ \left\{ \begin{split} &\dot{x}=u \cos\psi{\cos}\theta -v\sin\psi +w\sin\theta {\cos}\psi ,\\ &\dot{y}=u\sin\psi {\cos}\theta +v\cos\psi +w\sin\theta {\sin}\psi ,\\ &\dot{z}=-u\sin\theta +w\cos\theta,\\ &\dot{\theta }=q,\\ &\dot{\psi }=\displaystyle\frac{r}{{\cos}\theta }。\end{split}\right. $ | (10) |
动力学模型可描述如下:
| $ {\left\{\begin{aligned}&{m}_{11}\dot{u}={m}_{22}vr-{m}_{33}wq-{d}_{11}u+{\tau }_{u}+{\tau }_{d1},\\ &{m}_{22}\dot{v}=-{m}_{11}ur-{d}_{22}v+{\tau }_{d2},\\ &{m}_{33}\dot{w}={m}_{11}uq-{d}_{33}w+{\tau }_{d3},\\ &{m}_{55}\dot{q}=\left({m}_{33}-{m}_{11}\right)uw-{d}_{55}q-{B}_{h}{\mathrm{sin}}\theta +{\tau }_{q}+{\tau }_{d5},\\ &{m}_{66}\dot{r}=\left({m}_{11}-{m}_{22}\right)uv-{d}_{66}r+{\tau }_{r}+{\tau }_{d6}。\end{aligned}\right.} $ | (11) |
假设1 为了避免奇异性问题出现,本文假定AUV的俯仰角有界满足:
假设2 时变环境干扰
假设3 虚拟控制律及其一阶导数有界,即存在正常数
为了便于轨迹跟踪控制器的设计,将跟踪误差从大地坐标系变换到机体坐标系:
| $ \left[\begin{array}{c}{x}_{e}\\ {y}_{e}\\ {z}_{e}\end{array}\right]={\boldsymbol{J}}_{1}^{\mathrm{T}}\left(\eta \right)\left[\begin{array}{c}x-{x}_{d}\\ y-{y}_{d}\\ z-{z}_{d}\end{array}\right]。$ | (12) |
式中:
| $ {\begin{split}{\boldsymbol{J}}_1\left(\eta\right) = R_{z,\psi}R_{y,\theta}= & \left[\begin{array}{*{20}{c}}\text{cos}\psi\text{cos}\theta & -\text{sin}\psi & \text{sin}\theta\text{cos}\psi \\ \text{sin}\psi\text{cos}\theta& \text{cos}\psi & \text{sin}\theta\text{sin}\psi \\ -\text{sin}\theta& 0 & \text{cos}\theta\end{array}\right]。\end{split} }$ |
定义如下跟踪误差映射:
| $ \left\{\begin{split}&{\rho }_{e}\left(t\right)=\sqrt{{x}_{e}^{2}+{y}_{e}^{2}+{z}_{e}^{2}},\\ &{\chi }_{e}\left(t\right)={\mathrm{arctan}}\;2\left({z}_{e},\sqrt{{x}_{e}^{2}+{y}_{e}^{2}}\right),\\ &{\gamma }_{e}\left(t\right)={\mathrm{arctan}}\; 2\left({y}_{e},{x}_{e}\right)。\end{split} \right.$ | (13) |
取位置误差的导数:
| $ \begin{split}\left[\begin{array}{c}{\dot{x}}_{e}\\ {\dot{y}}_{e}\\ {\dot{z}}_{e}\end{array}\right]=&{\dot{J}}_{1}^{\mathrm{{T}}}\left(\eta \right)\left[\begin{array}{c}x-{x}_{d}\\ y-{y}_{d}\\ z-{z}_{d}\end{array}\right]+{J}_{1}^{\mathrm{T}}\left(\eta \right)\left[\begin{array}{c}\dot{x}-{\dot{x}}_{d}\\ \dot{y}-{\dot{y}}_{d}\\ \dot{z}-{\dot{z}}_{d}\end{array}\right] =\left[\begin{array}{c}u\\ v\\ w\end{array}\right]+\\ &\left[\begin{array}{ccc}0& r& -q\\ -r& 0& r\mathrm{t}\mathrm{a}\mathrm{n}\theta \\ q& r\mathrm{t}\mathrm{a}\mathrm{n}\theta & 0\end{array}\right]\left[\begin{array}{c}{x}_{e}\\ {y}_{e}\\ {z}_{e}\end{array}\right]+\left[\begin{array}{c}{\varpi }_{1}\\ {\varpi }_{2}\\ {\varpi }_{3}\end{array}\right]。\end{split} $ |
式中:
| $ {\left\{\begin{split}{\dot{\rho }}_{e}=&\;u \cos{\chi }_{e}{\mathrm{cos}}{\gamma }_{e}+v \cos{\chi }_{e}{\mathrm{sin}}{\gamma }_{e}+w \sin{\chi }_{e}+\\ & {\varpi }_{1}{\mathrm{cos}}{\chi }_{e}{\mathrm{cos}}{\gamma }_{e} + {\varpi }_{2}{\mathrm{cos}}{\chi }_{e}{\mathrm{sin}}{\gamma }_{e}+{\varpi }_{3}{\mathrm{sin}}{\chi }_{e},\\ {\dot{\chi }}_{e}=&\;q \cos{\gamma }_{e} + r{\mathrm{tan}}\theta {\mathrm{sin}}{\gamma }_{e} + {\rho }_{e}^{-1}[ - (u + {\varpi }_{1}){\mathrm{sin}}{\chi }_{e} \times\\ &{\mathrm{cos}} {\gamma }_{e} -(v+{\varpi }_{2})\sin{\chi }_{e}{\mathrm{sin}}{\gamma }_{e}+(w+{\varpi }_{3}){\mathrm{cos}}{\chi }_{e}],\\ {\dot{\gamma }}_{e}=&\;-r(1+{\mathrm{tan}}\theta {\mathrm{tan}}{\chi }_{e}{\mathrm{cos}}{\gamma }_{e})+q{\mathrm{tan}}{\chi }_{e}{\mathrm{sin}}{\gamma }_{e}+\\ &({{\rho }_{e}\mathrm{cos}{\chi }_{e}})^{-1}[-(u+{\varpi }_{1})\mathrm{sin}{\gamma }_{e}+(v+{\varpi }_{2})\mathrm{cos}{\gamma }_{e}]。\end{split}\right.} $ | (14) |
基于上述跟踪误差映射动态,针对时变洋流扰动下的欠驱动AUV设计一种预设时间反馈控制方案,使其在预设时间内成功跟踪参考轨迹。
2 欠驱动AUV跟踪控制设计针对存在时变洋流扰动的AUV轨迹跟踪问题,提出如图2所示的实际预设时间控制框架。首先,设计了PTDO进行扰动补偿;然后,采用预设时间滤波器规避“微分爆炸”问题;最后,基于所设计的PTDO以及预设时间滤波器,设计了实际预设时间轨迹跟踪控制器,实现了轨迹跟踪误差在预设时间内收敛到原点的紧集。
|
图 2 AUV轨迹跟踪控制框架 Fig. 2 Control framework of trajectory tracking of an underactuated AUV |
由于水下环境存在时变洋流扰动,对AUV轨迹跟踪精度有着重要影响,本节利用预设时间理论设计高性能扰动观测器,完成对扰动的补偿。为了便于观测器的设计,欠驱动AUV的动力学模型为:
| $ m\dot{\nu }=f+\tau +{\tau }_{d} 。$ | (15) |
式中:
首先引入辅助变量
| $ m\dot{\xi }=f+\tau +{\hat{\tau }}_{d}。$ | (16) |
式中:
观测误差定义为:
| $ {\tilde{\tau }}_{d}=m\left(\dot{\nu }-\dot{\xi }\right)={\tau }_{d}-{\hat{\tau }}_{d}。$ | (17) |
为了确保观测误差在预设时间内收敛到0,提出一种新型的预设时间滑模面,并设计如下:
| $s={\tilde{\tau }}_{d}+{\int }_{0}^{t}\frac{\text π }{\rho {T}_{s}}\left[{\left(\frac{1}{2}\right)}^{1-\frac{\rho }{2}}{\tilde{\tau }}_{d}^{\left[1-\rho \right]}+{\left(\frac{1}{2}\right)}^{1+\frac{\rho }{2}}{\tilde{\tau }}_{d}^{\left[1+\rho \right]}\right]\mathrm{d}\tau 。$ | (18) |
式中:
基于上述滑模面,预设时间观测器可以设计为:
| $ \begin{split}{\dot{\widehat{\tau }}}_{d}=&k{\mathrm{sign}}\left(s\right)+\frac{\text{π}}{\rho {T}_{s}}\left[{\left(\frac{1}{2}\right)}^{1-\frac{\rho }{2}}{{\tilde{\tau }}_{d}}^{\left[1-\rho \right]}+{\left(\frac{1}{2}\right)}^{1+\frac{\rho }{2}}{{\tilde{\tau }}_{d}}^{\left[1+\rho \right]}\right] +\\ &\frac{{\text{π}} }{\rho {T}_{d}}\left[{\left(\frac{1}{2}\right)}^{1-\frac{\rho }{2}}s^{\left[1-\rho \right]}+{\left(\frac{1}{2}\right)}^{1+\frac{\rho }{2}}{s}^{\left[1+\rho \right]}\right]。\end{split} $ | (19) |
式中:
定理1 在假设1成立条件下,如果采用提出的滑模面和预设时间扰动观测器,观测误差将在预设时间
证明 考虑如下Lyapunov函数:
| $ {V}_{s}=\frac{1}{2}{s}^{2} 。$ | (20) |
取其导数,并将式(19)代入可得:
| $ \begin{split}&{\dot{V}}_{s}=s\dot{s} =\left({\dot{\tilde{\tau }}}_{d}+\frac{\text{π} }{\rho {T}_{s}}\left[{\left(\frac{1}{2}\right)}^{1-\frac{\rho }{2}}{{\tilde{\tau }}_{d}}^{\left[1-\rho \right]}+{\left(\frac{1}{2}\right)}^{1+\frac{\rho }{2}}{{\tilde{\tau }}_{d}}^{\left[1+\rho \right]}\right]\right)s =\\ &\left({\dot{\tau }}_{d}-k{\mathrm{sign}}\left(s\right)-\frac{\text{π} }{\rho {T}_{d}}\left[{\left(\frac{1}{2}\right)}^{1-\frac{\rho }{2}}{s}^{\left[1-\rho \right]}+{\left(\frac{1}{2}\right)}^{1+\frac{\rho }{2}}{s}^{\left[1+\rho \right]}\right]\right)s \leqslant\\ & -\frac{\text{π} }{\rho {T}_{d}}\left[{{V}_{s}}^{1-\frac{\rho }{2}}+{{V}_{s}}^{1+\frac{\rho }{2}}\right]。\\[-4pt]\end{split} $ | (21) |
根据引理1,观测误差将在预设时间
| $ {\dot{\tilde{\tau }}}_{d}=-\frac{\text{π} }{\rho {T}_{s}}\left[{\left(\frac{1}{2}\right)}^{1-\frac{\rho }{2}}{{\tilde{\tau }}_{d}}^{\left[1-\rho \right]}+{\left(\frac{1}{2}\right)}^{1+\frac{\rho }{2}}{{\tilde{\tau }}_{d}}^{\left[1+\rho \right]}\right] 。$ | (22) |
考虑如下Lyapunov函数:
| $ {V}_{d}=\frac{1}{2}{\tilde{\tau }}_{d}^{2} 。$ | (23) |
取其导数,并将(22)代入可得:
| $ {\dot{V}}_{d}\leqslant -\frac{2}{\rho {T}_{s}}[{V}_{d}^{1-\frac{\rho }{2}}+{V}_{d}^{1+\frac{\rho }{2}}]。$ | (24) |
根据引理1,观测误差动态一旦到达并维持在滑模面上,观测误差将在预设时间
与现有的固定时间观测器[19]相比,所提的PTDO收敛时间上界是独立的系统参数,可根据实际工程需求提前设定,参数更少。
2.2 预设时间反步控制器针对欠驱动自主水下航行器,基于所提的预设时间扰动观测器,设计了一种预设时间反步控制器。
2.2.1 纵荡运动子系统纵荡运动控制器旨在使跟踪误差映射
| $ \begin{split}{u}_{c}=&\,-{\left(\mathrm{cos}{\chi }_{e}\mathrm{cos}{\gamma }_{e}\right)}^{-1}\Biggr[v\mathrm{c}\mathrm{o}\mathrm{s}{\chi }_{e}\mathrm{sin}{\gamma }_{e}+\\ &w\mathrm{s}\mathrm{i}\mathrm{n}{\chi }_{e}+{\varpi }_{1}\mathrm{cos}{\chi }_{e}\mathrm{cos}{\gamma }_{e}+\\ &{\varpi }_{2}\mathrm{cos}{\chi }_{e}\mathrm{sin}{\gamma }_{e}+{\varpi }_{3}\mathrm{sin}{\chi }_{e}+\\ &\left. \frac{\text{π}}{\rho {T}_{\rho }}\left[{\left(\frac{1}{2}\right)}^{1-\frac{\rho }{2}}{\rho }_{e}^{\left[1-\rho \right]}+{\left(\frac{1}{2}\right)}^{1+\frac{\rho }{2}}{3}^{\rho }{\rho }_{e}^{[1+\rho]}\right]\right]。\end{split} $ | (25) |
式中:
为了避免现有预设时间反步控制“微分爆炸”的固有问题,引入如下非线性一阶滤波器:
| $ \left\{\begin{array}{l}{\sigma }_{u}={u}_{d}-{u}_{c}\\ {\dot{u}}_{d}=-{k}_{1}{\sigma }_{u}-{k}_{2}{\mathrm{tanh}}\left({\sigma }_{u}\right)-\\ \dfrac{\text{π}}{\rho {T}_{fu}}\left[\left(\dfrac{1}{2}\right)^{1-\frac{\rho }{2}}\sigma _{u}^{\left[1-\rho \right]}+{\left(\dfrac{1}{2}\right)}^{1+\frac{\rho }{2}}{3}^{\rho }\sigma _{u}^{\left[1+\rho \right]}\right]。\end{array}\right. $ | (26) |
式中:
定义纵荡速度误差为:
| $ {m}_{11}{\dot{u}}_{e}={m}_{22}vr-{m}_{33}wq-{d}_{11}u +{\tau }_{u}+{\tau }_{d1}-{m}_{11}{\dot{u}}_{d}。$ | (27) |
纵荡控制器可以设计为:
| $ \begin{split}{\tau }_{u}=&\, -{m}_{22}vr+{m}_{33}wq+{d}_{11}u-{\hat{\tau }}_{d1}+{m}_{11}{\dot{u}}_{d}-\\ &\frac{\text{π}}{\rho {T}_{u}}\left[{\left(\frac{1}{2}\right)}^{1-\frac{\rho }{2}}{u}_{e}^{\left[1-\rho \right]}+{\left(\frac{1}{2}\right)}^{1+\frac{\rho }{2}}{3}^{\rho }{u}_{e}^{\left[1+\rho \right]}\right]\end{split}。$ | (28) |
式中:
| $ {{m}_{11}{\dot{u}}_{e} = -\frac{\text{π}}{\rho {T}_{u}}\left[{\left(\frac{1}{2}\right)}^{1-\frac{\rho }{2}}{u}_{e}^{\left[1-\rho \right]} + {\left(\frac{1}{2}\right)}^{1+\frac{\rho }{2}}{{3}^{\rho }u}_{e}^{\left[1+\rho \right]}\right] + {\tilde{\tau }}_{d1}。}$ | (29) |
式中:
| $ {m}_{11}{\dot{u}}_{e}=-\frac{\text{π} }{\rho {T}_{u}}\left[{\left(\frac{1}{2}\right)}^{1-\frac{\rho }{2}}{u}_{e}^{\left[1-\rho \right]}+{\left(\frac{1}{2}\right)}^{1+\frac{\rho }{2}}{3}^{\rho }{u}_{e}^{\left[1+\rho \right]}\right] 。$ | (30) |
俯仰运动控制器旨在使跟踪误差映射
| $ \begin{split}q_{c}=&\;-{{\mathrm{cos}}{\chi }_{e}}^{-1}\Biggr[r\mathrm{t}\mathrm{a}\mathrm{n}\theta \mathrm{sin}{\gamma }_{e}+\\ &{\rho }_{e}^{-1}\left[-\left(u+{\varpi }_{1}\right)\mathrm{sin}{\chi }_{e}\mathrm{cos}{\gamma }_{e}\right]-\\ &(v+{\varpi }_{2})\mathrm{s}\mathrm{i}\mathrm{n}{\chi }_{e}\mathrm{s}\mathrm{i}\mathrm{n}{\gamma }_{e}+(w+{\varpi }_{3})\mathrm{c}\mathrm{o}\mathrm{s}{\chi }_{e})+\\ &\left.\frac{\text{π} }{\rho T\chi }\left[{\left(\frac{1}{2}\right)}^{1-\frac{\rho }{2}}{\chi }_{e}^{\left[1-\rho \right]}+{\left(\frac{1}{2}\right)}^{1+\frac{\rho }{2}}{3}^{\rho }{\chi }_{e}^{\left[1+\rho \right]}\right]\right]。\end{split} $ | (31) |
式中:
为了避免现有预设时间反步控制“微分爆炸”的固有问题,引入如下非线性一阶滤波器:
| $ \left\{\begin{aligned}&{\sigma }_{q}={q}_{d}-{q}_{c},\\ &{\dot{q}}_{d}=-{k}_{1}{\sigma }_{q}-{k}_{2}{\mathrm{tanh}}\left({\sigma }_{q}\right)-\\ &\frac{\text{π} }{\rho {T}_{fq}}\left[{\left(\frac{1}{2}\right)}^{1-\frac{\rho }{2}}{\sigma }_{q}^{\left[1-\rho \right]}+{\left(\frac{1}{2}\right)}^{1+\frac{\rho }{2}}{3}^{\rho }{\sigma }_{q}^{\left[1+\rho \right]}\right]。\end{aligned}\right. $ | (32) |
式中:
定义俯仰速度误差为:
| $ \begin{split}{m}_{55}{\dot{q}}_{e}=&\left({m}_{33}-{m}_{11}\right)uw-{d}_{55}q -\\ &Bh{\mathrm{sin}}\left(\theta \right)+{\tau }_{q}+{\tau }_{d5}-{m}_{55}{\dot{q}}_{d}。\end{split} $ | (33) |
俯仰控制器可以设计为:
| $ \begin{split}{\tau }_{q}=&-\left({m}_{33}-{m}_{11}\right)uw+{d}_{55}q+{B}_{h}{\mathrm{sin}}\left(\theta \right)-{\hat{\tau }}_{d5} +{m}_{55}{\dot{q}}_{d}-\\ &\frac{\text{π}}{\rho {T}_{q}}\left[{\left(\frac{1}{2}\right)}^{1-\frac{\rho }{2}}{{q}_{e}}^{\left[1-\rho \right]}+{\left(\frac{1}{2}\right)}^{1+\frac{\rho }{2}}{3}^{\rho }{{q}_{e}}^{\left[1+\rho \right]}\right]。\\[-1pt]\end{split} $ | (34) |
式中:
| $ {{m}_{55}{\dot{q}}_{e}=-\frac{\text{π} }{\rho {T}_{q}}\left[{\left(\frac{1}{2}\right)}^{1-\frac{\rho }{2}}{{q}_{e}}^{\left[1-\rho \right]}+{\left(\frac{1}{2}\right)}^{1+\frac{\rho }{2}}{3}^{\rho }{{q}_{e}}^{\left[1+\rho \right]}\right]+{\tilde{\tau }}_{d5}。} $ | (35) |
式中:
| $ {{m}_{55}{\dot{q}}_{e}=-\frac{\text{π}}{\rho {T}_{q}}\left[{\left(\frac{1}{2}\right)}^{1-\frac{\rho }{2}}{{q}_{e}}^{\left[1-\rho \right]}+{\left(\frac{1}{2}\right)}^{1+\frac{\rho }{2}}{3}^{\rho }{{q}_{e}}^{\left[1+\rho \right]}\right]。}$ | (36) |
偏航运动控制器旨在使跟踪误差映射
| $ \begin{split}r_{c}=&\;{\left(1+\mathrm{tan}\left(\theta \right)\mathrm{tan}\left({\chi }_{e}\right)\mathrm{cos}\left({\gamma }_{e}\right)\right)}^{-1}\times \\ &\Biggr[q\mathrm{t}\mathrm{a}\mathrm{n}\left({\chi }_{e}\right)\mathrm{sin}\left({\gamma }_{e}\right)+{\left({\rho }_{e}\mathrm{cos}\left({\chi }_{e}\right)\right)}^{-1}\times \\ &[-(u+{\varpi }_{1}){\mathrm{sin}}({\gamma }_{e})+(v+{\varpi }_{2}){\mathrm{cos}}({\gamma }_{e}\left)\right]+\\ &\left.\frac{\text{π} }{\rho {T}_{\gamma }}\left[{\left(\frac{1}{2}\right)}^{1-\frac{\rho }{2}}{\gamma }_{e}^{\left[1-\rho \right]}+{\left(\frac{1}{2}\right)}^{1+\frac{\rho }{2}}{3}^{\rho }{\gamma }_{e}^{\left[1+\rho \right]}\right]\right]。\end{split} $ | (37) |
式中:
为了避免现有预设时间反步控制“微分爆炸”的固有问题,引入如下非线性一阶滤波器:
| $ \left\{\begin{array}{l}{\sigma }_{r}={r}_{d}-{r}_{c},\\ {\dot{r}}_{d}=-{k}_{1}{\sigma }_{r}-{k}_{2}{\mathrm{tanh}}\left({\sigma }_{r}\right)-\\ \dfrac{\text{π} }{\rho {T}_{fr}}\left[{\left(\dfrac{1}{2}\right)}^{1-\frac{\rho }{2}}\sigma _{r}^{\left[1-\rho \right]}+{\left(\dfrac{1}{2}\right)}^{1+\frac{\rho }{2}}3^{\rho }{\sigma }_{r}^{\left[1+\rho \right]}\right]。\end{array}\right. $ | (38) |
式中:
定义偏航速度误差为:
| $ {m}_{66}{\dot{r}}_{e}=\left({m}_{11}-{m}_{22}\right)uv-{d}_{66}r +{\tau }_{r}+{\tau }_{d6}-{m}_{66}{\dot{r}}_{d}。$ | (39) |
偏航控制器可以设计为:
| $ \begin{split}{\tau }_{r}=&-\left({m}_{11}-{m}_{22}\right)uv+{d}_{66}r-{\hat{\tau }}_{d6}+{m}_{66}{\dot{r}}_{d}-\\ &\frac{{\text{π}} }{\rho {T}_{r}}\left[{\left(\frac{1}{2}\right)}^{1-\frac{\rho }{2}}{{r}_{e}}^{\left[1-\rho \right]}+{\left(\frac{1}{2}\right)}^{1+\frac{\rho }{2}}{3}^{\rho }{{r}_{e}}^{\left[1+\rho \right]}\right]。\end{split} $ | (40) |
式中:
| $ {{m}_{66}{\dot{r}}_{e}=-\frac{\text{π} }{\rho {T}_{r}}\left[{\left(\frac{1}{2}\right)}^{1-\frac{\rho }{2}}{{r}_{e}}^{[1-\rho ]}+{\left(\frac{1}{2}\right)}^{1+\frac{\rho }{2}}{{{3}^{\rho }r}_{e}}^{[1+\rho ]}\right]+{\tilde{\tau }}_{d6}。} $ | (41) |
式中:
| $ {m}_{66}{\dot{r}}_{e}=-\frac{{\text{π}} }{\rho {T}_{r}}\left[{\left(\frac{1}{2}\right)}^{1-\frac{\rho }{2}}{{r}_{e}}^{\left[1+\rho \right]}+{\left(\frac{1}{2}\right)}^{1+\frac{\rho }{2}}{3}^{\rho }{{r}_{e}}^{\left[1+\rho \right]}\right]。$ | (42) |
定理2 在假设1~假设3成立的前提下,由式(10)和式(11)描述的欠驱动AUV系统,若运动学虚拟控制器按式(25)、式(31)、式(37)设计,动力学控制器按式(28)、式(34)、式(40)构建,则闭环系统是实际预设时间稳定的,且跟踪误差将在预设时间内收敛至残差集。
证明 选择如下李雅普诺夫函数:
| $ {V}_{u}=\frac{1}{2}\left({\rho }_{e}^{2}+{\sigma }_{u}^{2}+{u}_{e}^{2}+{\tilde{\tau }}_{d1}^{2}\right)。$ | (43) |
当
| $ {V}_{u}=\frac{1}{2}\left({\rho }_{e}^{2}+{\sigma }_{u}^{2}+{u}_{e}^{2}\right) 。$ | (44) |
对上式求导可得:
| $ {\dot{V}}_{u}=\left({\rho }_{e}{\dot{\rho }}_{e}+{\sigma }_{u}{\dot{\sigma }}_{u}+{u}_{e}{\dot{u}}_{e}\right)。$ | (45) |
基于
| $ \begin{split}{\dot{\sigma }}_{u}=&{\dot{u}}_{d}-{\dot{u}}_{c} =-{k}_{1}{\sigma }_{u}-{k}_{2}{\mathrm{tanh}}\left({\sigma }_{u}\right) -\\ & \frac{\text{π} }{\rho {T}_{fu}}\left[{\left(\frac{1}{2}\right)}^{1-\frac{\rho }{2}}\sigma _{u}^{\left[1-\rho \right]}+{\left(\frac{1}{2}\right)}^{1+\frac{\rho }{2}}{3}^{\rho }\sigma _{u}^{\left[1+\rho \right]}\right]-{\dot{u}}_{c}。\end{split} $ | (46) |
将上式代入可得:
| $ \begin{split}{\dot{V}}_{u}=&{\rho }_{e}\Bigg[{u}_{e}\mathrm{cos}({\chi }_{e})\mathrm{cos}({\gamma }_{e})+{\sigma }_{u}\mathrm{cos}({\chi }_{e})\mathrm{cos}({\gamma }_{e})-\\ &\frac{{\text{π}}}{\rho {T}_{\rho }}\left.\left[{\left(\frac{1}{2}\right)}^{1-\frac{\rho }{2}}{\rho }_{e}^{[1-\rho]}+{\left(\frac{1}{2}\right)}^{1+\frac{\rho }{2}}{3}^{\rho }{\rho }_{e}^{[1+\rho]}\right]\right] +\\ &{\sigma }_{u}\left[-{k}_{1}{\sigma }_{u}\right.-{k}_{2}\mathrm{tanh}({\sigma }_{u})-\frac{{\text{π}}}{\rho {T}_{fu}}\left[{\left(\frac{1}{2}\right)}^{1-\frac{\rho }{2}} \right.\\ &\left.{\sigma }_{u}^{[1-\rho]}+{\left(\frac{1}{2}\right)}^{1+\frac{\rho }{2}}{{3}^{\rho }\sigma }_{u}^{[1+\rho ]}]-{\dot{u}}_{c}\right] +\\ &{u}_{e}\left[-\frac{{\text{π}}}{\rho {T}_{u}{m}_{11}}\left[\left(\frac{1}{2}\right)^{1-\frac{\rho }{2}}{u}_{e}^{\left[1-\rho \right]}+{\left(\frac{1}{2}\right)}^{1+\frac{\rho }{2}}{3}^{\rho }{u}_{e}^{\left[1+\rho \right]}\right]\right] \leqslant \\&-\frac{{\text{π}}}{\rho {T}_{\rho }}\left[{\left(\frac{1}{2}{\rho }_{e}^{2}\right)}^{1-\frac{\rho }{2}}+{{3}^{\rho }\left(\frac{1}{2}{\rho }_{e}^{2}\right)}^{1+\frac{\rho }{2}}\right]+\\ &\left|\mathrm{cos}\left({\chi }_{e}\right)\mathrm{cos}\left({\gamma }_{e}\right)\right|\left({\rho }_{e}{u}_{e}+{\rho }_{e}{\sigma }_{e}\right) -\\ &\frac{{\text{π}}}{\rho {T}_{fu}}\left[\left(\frac{1}{2}{\sigma }_{u}^{2}\right)^{1-\frac{\rho }{2}}+{3}^{\rho }\left(\frac{1}{2}{\sigma }_{u}^{2}\right)^{1+\frac{\rho }{2}}\right]-\\ & \varLambda {\sigma }_{u}{\mathrm{tanh}}\left({\sigma }_{u}\right)+\varLambda \left|{\sigma }_{u}\right|-\frac{{\text{π}}}{\rho {T}_{u}{m}_{11}}\left[\left(\frac{1}{2}{u}_{e}^{2}\right)^{1-\frac{\rho }{2}}+\right.\\ &\left.{{3}^{\rho }\left(\frac{1}{2}{u}_{e}^{2}\right)}^{1+\frac{\rho }{2}}\right] \leqslant -\frac{{\text{π}}}{\rho {T}_{\rho }}\left[\left(\frac{1}{2}{\rho }_{e}^{2}\right)^{1-\frac{\rho }{2}}+{3}^{\rho }\left(\frac{1}{2}{\rho }_{e}^{2}\right)^{1+\frac{\rho }{2}}\right]+\\ &\left|\mathrm{cos}\left({\chi }_{e}\right)\mathrm{cos}\left({\gamma }_{e}\right)\right|\left({\rho }_{e}^{2}+\frac{1}{2}{u}_{e}^{2}+\frac{1}{2}{\sigma }_{e}^{2}\right) -\\ &\frac{{\text{π}}}{\rho {T}_{fu}}\left[\left(\frac{1}{2}{\sigma }_{u}^{2}\right)^{1-\frac{\rho }{2}}+{3}^{\rho }\left(\frac{1}{2}{\sigma }_{u}^{2}\right)^{1+\frac{\rho }{2}}\right]+\\ & \varLambda \kappa -\frac{{\text{π}}}{\rho {T}_{u}{m}_{11}}\left[\left(\frac{1}{2}{u}_{e}^{2}\right)^{1-\frac{\rho }{2}}+{3}^{\rho }\left(\frac{1}{2}{u}_{e}^{2}\right)^{1+\frac{\rho }{2}}\right] \leqslant \\&-\frac{{\text{π}}}{\rho {T}_{\mathrm{max}}}\left[\left[\frac{1}{2}\left({\rho }_{e}^{2}+{\sigma }_{u}^{2}+{u}_{e}^{2}\right)\right]^{1-\frac{\rho }{2}}+\right.\\&{3}^{\frac{\rho }{2}}\left[\frac{1}{2}\left({\rho }_{e}^{2}+\left.{\sigma }_{u}^{2}+{u}_{e}^{2}\right)\right]^{1+\frac{\rho }{2}}\right]+\varDelta。\\[-4pt] \end{split} $ | (47) |
式中:
同理可得俯仰子系统
本节通过数值对比仿真验证了所提控制方案在欠驱动AUV轨迹跟踪控制中的有效性与便捷性。欠驱动AUV模型参数选取如表1所示。
|
|
表 1 AUV的模型参数 Tab.1 The model parameters of the AUV |
结合 AUV 物理特性、控制算法验证需求及实际作业场景,选取 15 m 作为典型运动尺度[19],该取值可根据实际需求灵活调整。此尺度既能通过仿真验证预设时间控制算法的快速收敛性与鲁棒性,又与水下近场作业的工程实践高度契合,兼具理论研究价值与工程应用意义。
3.1 预设时间扰动观测器验证为了验证预设时间扰动观测器的有效性,将其与固定时间扰动观测器[19]在不同初值条件进行对比,选取的观测器参数为:
| $ \left\{\begin{aligned}&{\tau }_{d1}=0.5+0.3\mathrm{s}\mathrm{i}\mathrm{n}\left(0.03t\right)+0.2\mathrm{c}\mathrm{o}\mathrm{s}\left(0.04t\right) ,\\ &{\tau }_{d5}=0.4+0.4\mathrm{s}\mathrm{i}\mathrm{n}\left(0.04t\right)+0.2\mathrm{c}\mathrm{o}\mathrm{s}\left(0.02t\right) ,\\&{\tau }_{d6}=0.2+0.4\mathrm{s}\mathrm{i}\mathrm{n}\left(0.03t\right)+0.3\mathrm{c}\mathrm{o}\mathrm{s}\left(0.01t\right) 。\end{aligned} \right.$ | (48) |
观测器收敛误差如图3~图4所示,据文献[19]所给参数,固定时间观测器经计算观测误差应在
|
图 3 固定时间观测器误差收敛曲线 Fig. 3 Error convergence curve of FTDO |
|
图 4 预设时间观测器误差收敛曲线 Fig. 4 Error convergence curve of PTDO |
为了验证预设时间反步控制的有效性,欠驱动AUV对参考轨迹进行跟踪,选取的控制器参数如表2所示。
|
|
表 2 控制器参数 Tab.2 Controller parameters |
欠驱动AUV的初值为:
仿真结果如图5~图7所示。图5表明所提预设时间反步控制方案能够保持良好的跟踪性能,在预设时间内跟踪上参考轨迹。图6表明跟踪误差能在预设时间内收敛到残差集。
|
图 5 AUV在固定时间反步法、预设时间反步法下的跟踪轨迹 Fig. 5 The AUV’s trajectories under the action of the Fixed-time BC, Predefined-time BC |
|
图 6 跟踪误差响应 Fig. 6 Time response of tracking errors |
|
图 7 控制输入 Fig. 7 Control inputs |
为了验证所提实际预设时间控制器对初值的鲁棒性,将其与文献[19]的控制方法在不同初值条件进行对比(见表3)。
|
|
表 3 AUV的初值 Tab.3 The initial condition of the AUV |
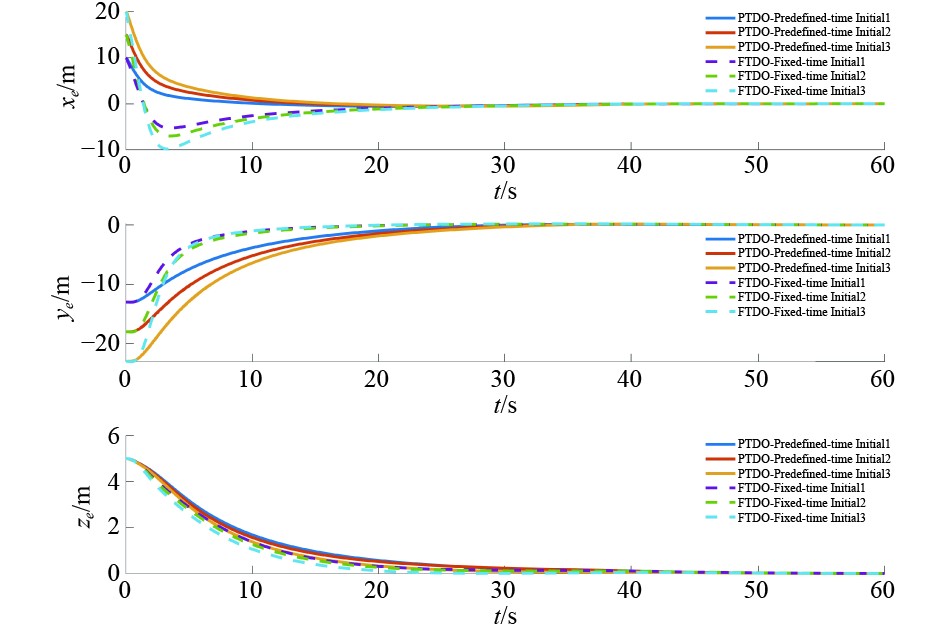
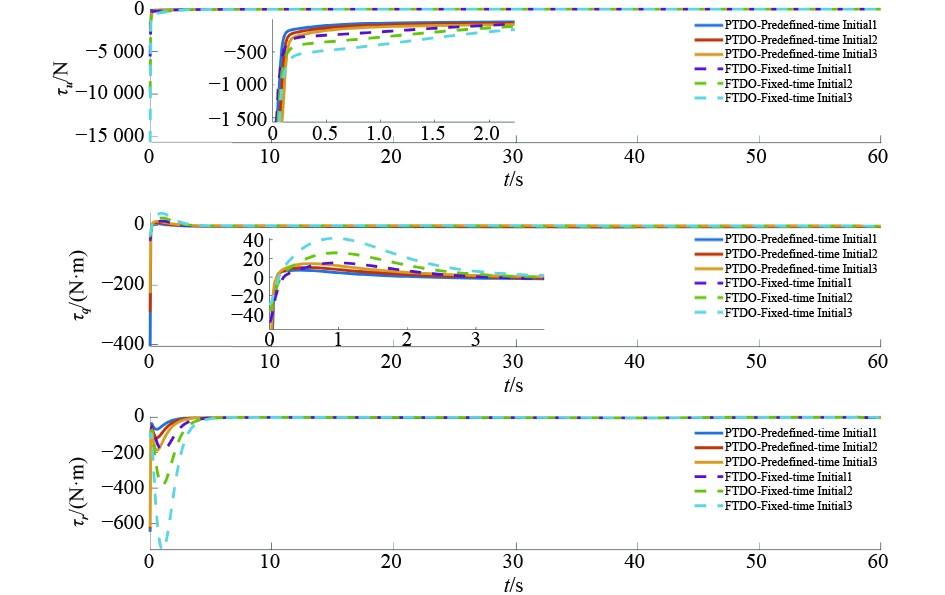
不同初值条件下的仿真结果如图8~图10所示,不同控制方法下,欠驱动AUV均可以跟踪参考轨迹,并且预设时间方案和固定时间控制方案均可以将轨迹跟踪误差在某一时间上限内稳定在原点的小领域内,但预设时间控制方案具有参数少、结构简单的优点,且收敛时间上界可根据实际提前设定。
|
图 8 不同初值条件下AUV在固定时间反步法、预设时间反步法下的跟踪轨迹 Fig. 8 The AUV’s trajectories under the action of the fixed-time BC, predefined-time BC in different initials |
|
图 9 不同初值条件下跟踪误差响应 Fig. 9 Time response of tracking errors in different initials |
|
图 10 不同初值条件下控制输入 Fig. 10 Control inputs in different initials |
本文提出一种基于PTDO的实际预设时间轨迹跟踪控制框架,其收敛时间上界可通过调节单一设计参数独立于系统初始状态预先设定。首先,通过构建具有非线性反馈的PTDO,实现了对时变洋流扰动的精确估计与动态前馈补偿;然后,为规避预设时间反步控制方法中的“微分爆炸”问题,引入非线性一阶滤波替代传统直接求导方式,通过误差补偿机制确保微分估计精度,降低了计算复杂度;最后,基于所设计的PTDO以及预设时间滤波器,设计了实际预设时间轨迹跟踪控制器,实现了轨迹跟踪误差在预设时间内收敛到原点的紧集。数值仿真表明,在存在时变洋流扰动下,所提控制框架可实现快速扰动补偿,并保证AUV轨迹跟踪误差在预设时间收敛到残差集。
| [1] |
TIJJANI A S, CHEMORI A, CREUZE V. A survey on tracking control of unmanned underwater vehicles: Experiments-based approach[J]. Annual Reviews in Control, 2022, 54: 125-147. DOI:10.1016/j.arcontrol.2022.07.001 |
| [2] |
CLOSE J, VAN M, MCILVANNA S. PID-Fixed time sliding mode control for trajectory tracking of AUVs under disturbance[J]. IFAC-Papers OnLine, 2024, 58(20): 281-286. DOI:10.1016/j.ifacol.2024.10.067 |
| [3] |
WANG Y, HOU Y, LAI Z, et al. An adaptive PID controller for path following of autonomous underwater vehicle based on Soft Actor–Critic[J]. Ocean Engineering, 2024, 307: 118171. DOI:10.1016/j.oceaneng.2024.118171 |
| [4] |
LI B, GAO X, HUANG H, et al. Improved adaptive twisting sliding mode control for trajectory tracking of an AUV subject to uncertainties[J]. Ocean Engineering, 2024, 297: 116204. DOI:10.1016/j.oceaneng.2023.116204 |
| [5] |
HU Y, SONG Z, ZHANG H. Adaptive sliding mode control with pre-specified performance settings for AUVs trajectory tracking[J]. Ocean Engineering, 2023, 287: 115882. DOI:10.1016/j.oceaneng.2023.115882 |
| [6] |
CUI J K, HOU M, PENG Z, et al. Hamiltonian based AUV navigation using adaptive finite-time trajectory tracking control[J]. Ocean Engineering, 2025, 320: 120329. DOI:10.1016/j.oceaneng.2025.120329 |
| [7] |
LIU L, ZHU B, ZHANG S, et al. Adaptive tracking control of underactuated AUV with historical navigation information and piecewise weighted fractional order integration[J]. Chinese Journal of Physics, 2024, 91: 600-611. DOI:10.1016/j.cjph.2024.06.019 |
| [8] |
CHEN T, ZHANG Z, FANG Z, et al. Imitation learning from imperfect demonstrations for AUV path tracking and obstacle avoidance[J]. Ocean Engineering, 2024, 298: 117287. DOI:10.1016/j.oceaneng.2024.117287 |
| [9] |
ZHANG Y, ZHANG T, LI Y, et al. A novel reward-shaping-based soft actor–critic for random trajectory tracking of AUVs[J]. Ocean Engineering, 2025, 322: 120505. DOI:10.1016/j.oceaneng.2025.120505 |
| [10] |
CHO G R, LI J H, PARK D, et al. Robust trajectory tracking of autonomous underwater vehicles using back-stepping control and time delay estimation[J]. Ocean Engineering, 2020, 201: 107131. DOI:10.1016/j.oceaneng.2020.107131 |
| [11] |
NHUT THANH P N, TAM P M, HUY ANH H P. A new approach for three-dimensional trajectory tracking control of under-actuated AUVs with model uncertainties[J]. Ocean Engineering, 2021, 228: 108951. DOI:10.1016/j.oceaneng.2021.108951 |
| [12] |
WANG J, WANG C, WEI Y, et al. Filter-backstepping based neural adaptive formation control of leader-following multiple AUVs in three dimensional space[J]. Ocean Engineering, 2020, 201: 107150. DOI:10.1016/j.oceaneng.2020.107150 |
| [13] |
ZHANG X, JIANG K. Backstepping-based adaptive control of underactuated AUV subject to unknown dynamics and zero tracking errors[J]. Ocean Engineering, 2024, 302: 117640. DOI:10.1016/j.oceaneng.2024.117640 |
| [14] |
HAN Y, LIU J, YU J, et al. Adaptive fuzzy quantized state feedback control for AUVs with model uncertainty[J]. Ocean Engineering, 2024, 313: 119496. DOI:10.1016/j.oceaneng.2024.119496 |
| [15] |
CHEN H, TANG G, WANG S, et al. Adaptive fixed-time backstepping control for three-dimensional trajectory tracking of underactuated autonomous underwater vehicles[J]. Ocean Engineering, 2023, 275: 114109. DOI:10.1016/j.oceaneng.2023.114109 |
| [16] |
JI S, THAI B H, YOO S, et al. A novel fuzzy adaptive finite-time extended state observer based robust control for an autonomous underwater vehicle subject to external disturbances and measurement noises[J]. Ocean Engineering, 2025, 318: 120141. DOI:10.1016/j.oceaneng.2024.120141 |
| [17] |
POLYAKOV A. Nonlinear feedback design for fixed-time stabilization of linear control systems[J]. IEEE Transactions on Automatic Control, 2012, 57(8): 2106-2110. DOI:10.1109/TAC.2011.2179869 |
| [18] |
AN S, WANG L, HE Y. Robust fixed-time tracking control for underactuated AUVs based on fixed-time disturbance observer[J]. Ocean Engineering, 2022, 266: 112567. DOI:10.1016/j.oceaneng.2022.112567 |
| [19] |
LI X, QIN H, LI L, et al. Adaptive fixed-time fuzzy formation control for multiple AUV systems considering time-varying tracking error constraints and asymmetric actuator saturation[J]. Ocean Engineering, 2024, 297: 116936. DOI:10.1016/j.oceaneng.2024.116936 |
| [20] |
SUN Y, CHEN Y, WANG B, et al. A novel adaptive predefined-time sliding mode control scheme for synchronizing fractional order chaotic systems [J]. Chaos, Solitons & Fractals, 2024, 189: 115610.
|
| [21] |
ZHAO Z, PENG F, WANG T, et al. Predefined-time consensus tracking control for multi-agent systems with full-state constraints [J]. Chaos, Solitons & Fractals, 2025, 191: 115868.
|
| [22] |
SUI S, CHEN C L P, TONG S. Command filter-based predefined time adaptive control for nonlinear systems[J]. IEEE Transactions on Automatic Control, 2024, 69(11): 7863-7870. DOI:10.1109/TAC.2024.3399998 |
| [23] |
ZHANG H, LI B, XIAO B, et al. Nonsingular recursive - structure sliding mode control for high - order nonlinear systems and an application in a wheeled mobile robot[J]. ISA Transactions, 2022, 130: 553-564. DOI:10.1016/j.isatra.2022.04.021 |
2026, Vol. 48
