2. 昆明船舶设备研究试验中心,云南 昆明 650000;
3. 自然资源部南海调查中心,广东 广州 510300;
4. 中国能源建设集团广东省电力设计研究院有限公司,广东,广州 510663
2. Kunming Shipborne Equipment Research and Test Center, Kunming 650000, China;
3. South China Sea Marine Survey Center, Ministry of Natural Resources, Guangzhou 510300, China;
4. China Energy Engineering Group Guangdong Electric Power Design Institute Co., Ltd., Guangzhou 510663, China
随着海洋无人系统技术的发展,由无人机、无人船以及水下机器人等组成的异构协同系统具有显著优势和广泛的前景[1 − 3]。无人机/无人船(Unmanned aerial vehicle/surface vehicle,UAV/USV)异构系统能够在空-海域融合任务中充分发挥各自优势,实现信息互补与任务协同,满足海洋监测[4 - 5]、资源勘探[6 - 7]、应急搜救[8]等应用场景下全天候快速部署的需求,具有实际的应用价值和重大的研究意义。由于无人机与无人船在推进机制、传感器配置及环境适应能力等方面具有显著差异,其协同运行表现出典型的异构特性。在多变且干扰频繁的海洋环境中,确保该类系统实现精确的编队协同控制着。因此,针对异构无人系统在复杂环境下的协同问题,已有大量研究工作陆续展开[9 − 11],以提升系统整体的鲁棒性与协同能力。
在无人机/无人船异构协同编队跟踪控制方面,白嘉琪等[12]针对无人机/无人船异构系统扰动存在条件下的编队控制问题,提出一种固定时间干扰观测器和编队控制器。袁洋等[13]提出一种固定时间预设性能演化控制方法,解决了执行器故障条件下无人机/无人船协同系统编队包含控制问题。GHOMMAM等[14]针对无人机/无人船异构系统的编队包含控制问题,提出一种具有预定性能的控制方法。HUANG等[15]针对具有定向拓扑结构的异构系统,提出一种分布式模型预测编队控制算法。LI等[16]针对欠驱动无人机/无人船协同系统,提出一种鲁棒自适应事件触发控制策略以执行海洋搜索任务。LIU等[17]设计一种固定时间自适应神经网络非奇异快速终端滑动编队控制协议,实现了异构系统在不确定性条件下的固定时间编队跟踪控制。
然而,上述研究中的大多控制器设计复杂且仅开展数值仿真进行了验证,难以在真实的无人机/无人船异构系统上部署。因此,本文提出一种基于一致性理论的编队协同跟踪控制器,编队成员之间仅需与邻近个体进行位置和信息的交互即可实现系统的稳定跟踪,并在数值仿真验证的基础上,将算法部署在开发的异构样机系统上,通过户外试验验证了所设计协同控制算法的可行性。
1 航行器建模UAV一般具有六自由度的动力学特性,在本文研究的编队跟踪控制问题中,可将其简化为平面运动模型,如图1所示。另假设UAV在较小角度变化和稳定飞行条件下运行,其简化的运动学模型可表示为[18]:
|
图 1 UAV运动模型 Fig. 1 Kinematic model of UAV |
| $ \left\{\begin{aligned} &{\dot{x}}_{A}={v}_{A}\cos {\theta }_{A},\\ &{\dot{y}}_{A}={v}_{A}\sin {\theta }_{A},\\ &{\dot{v}}_{A}={u}_{A,v},\\ &{\dot{\theta }}_{A}={u}_{A,\theta }。\end{aligned} \right.$ | (1) |
式中:
USV具有典型的非完整约束,运动学模型如图2所示,数学表达式为:
|
图 2 USV运动模型 Fig. 2 Kinematic model of USV |
| $ \left\{\begin{aligned} &{\dot{x}}_{{{S}_{i}}}={v}_{{{S}_{i}}}\cos {\psi }_{{{S}_{i}}},\\ &{\dot{y}}_{{{S}_{i}}}={v}_{{{S}_{i}}}\sin {\psi }_{{{S}_{i}}},\\ &{\dot{\psi }}_{{{S}_{i}}}={r}_{{{S}_{i}}},\\ &{\dot{v}}_{{{S}_{i}}}={u}_{{{S}_{i}},v},\\ &{\dot{r}}_{{{S}_{i}}}={u}_{{{S}_{i}},r}。\end{aligned} \right.$ | (2) |
式中:
本文研究聚焦于UAV-USV系统的位置协同和速度匹配,在不损失建模代表性的前提下,将各航行器进一步简化为二维空间中的二阶积分器模型,即
| $ \left\{\begin{aligned} &{\boldsymbol{\dot{\boldsymbol{x}}}}_{i}={\boldsymbol{v}}_{i},\\ &{\boldsymbol{\dot{\boldsymbol{v}}}}_{i}={\boldsymbol{u}}_{i}。\end{aligned}\right. $ | (3) |
式中:
定义1 假设集群系统含有一个UAV和
| $ \begin{cases} \underset{t\rightarrow \infty }{\lim }({\boldsymbol{x}}_{{{S}_{i}}}(t)-{\boldsymbol{x}}_{{{S}_{j}}}(t)-{\boldsymbol{r}}_{ij})={0},\\ \underset{t\rightarrow \infty }{\lim }({\boldsymbol{v}}_{{{S}_{i}}}(t)-{\boldsymbol{v}}_{A})={0}。\end{cases} $ | (4) |
式中:各向量之间的关系如图3所示,
|
图 3 编队队形示意图 Fig. 3 Schematic diagram of the formation |
设计USV的协同控制协议如下:
| $ \begin{split}{\boldsymbol{u}}_{{{S}_{i}}}=&-{c}_{1}\sum\limits_{j\in {N}_{i}}{a}_{ij}({\boldsymbol{x}}_{{{S}_{i}}}(t)- {\boldsymbol{x}}_{{{S}_{j}}}(t)-{\boldsymbol{r}}_{ij})-\\ &{c}_{2}\sum\limits_{j\in {N}_{i}}{a}_{ij}({\boldsymbol{v}}_{{{S}_{i}}}(t)-{\boldsymbol{v}}_{{{S}_{j}}}(t)) +{c}_{2}{b}_{i}({\boldsymbol{v}}_{A}(t)-{\boldsymbol{v}}_{{{S}_{i}}}(t))。\end{split} $ | (5) |
式中:第1项可以保证期望队形的形成;第2项可以实现各USV之间的速度匹配;第3项可保证各USV与UAV的速度一致。
在控制协议作用下,UAV-USV编队系统可建模为:
| $ \left\{\begin{aligned} &{\boldsymbol{\dot{\boldsymbol{x}}}}_{{{S}_{i}}}={\boldsymbol{v}}_{S}(t),\\ &{\boldsymbol{\dot{\boldsymbol{v}}}}_{S}(t)=-{c}_{1}(\boldsymbol{L}{\boldsymbol{x}}_{S}(t)-{\mathrm{diag}}(\boldsymbol{A}{\boldsymbol{R}}_{1}))-{c}_{2}(\boldsymbol{L}+\boldsymbol{B})\cdot\\&\qquad\quad({\boldsymbol{v}}_{S}(t)-{\boldsymbol{v}}_{A}(t))\otimes {1}。\end{aligned}\right. $ | (6) |
式中:
本节分别给出了在固定拓扑与切换拓扑下,UAV-USV系统实现编队跟踪的充分条件,并提出了控制增益的选取方法。
2.1 固定拓扑引理1[19 - 20] 对于一个给定的对称矩阵
| $ {\boldsymbol{M}}_{11} \lt 0,{\boldsymbol{M}}_{22}-\boldsymbol{M}_{12}^{{\mathrm{T}}}\boldsymbol{M}_{11}^{-1}{\boldsymbol{M}}_{12} \lt 0 ,$ | (7) |
或
| $ {\boldsymbol{M}}_{22} \lt 0,{\boldsymbol{M}}_{11}-\boldsymbol{M}_{21}^{\mathrm{{T}}}\boldsymbol{M}_{22}^{-1}{\boldsymbol{M}}_{21} \lt 0 。$ | (8) |
定理1 若存在对称正定矩阵Q及正常数
| $ \left[\begin{matrix} -\boldsymbol{Q} & \boldsymbol{0}\\ \boldsymbol{0} & {\boldsymbol{H}}^{\mathrm{T}}\boldsymbol{Q}+\boldsymbol{Q}\boldsymbol{H} \end{matrix} \right] \lt 0 。$ | (9) |
式中:
证明 定义以下变量
| $ \begin{cases} {\boldsymbol{\tilde{\boldsymbol{x}}}}_{S}(t)=\boldsymbol{L}{\boldsymbol{x}}_{S}(t)-{\mathrm{diag}}(\boldsymbol{A}{\boldsymbol{R}}_{1}),\\ {\boldsymbol{\tilde{\boldsymbol{v}}}}_{S}(t)={\boldsymbol{v}}_{S}(t)-{\boldsymbol{v}}_{A}(t)\otimes {1}。\end{cases} $ | (10) |
由
| $ \begin{cases} {\boldsymbol{\dot{\tilde{\boldsymbol{x}} }}}_{S}(t)=\boldsymbol{L}{\boldsymbol{\tilde{\boldsymbol{v}}}}_{S}(t),\\ {\boldsymbol{\dot{\tilde{\boldsymbol{v}} }}}_{S}(t)=-{c}_{1}{\boldsymbol{\tilde{\boldsymbol{x}}}}_{S}(t)-{c}_{2}(\boldsymbol{L}+\boldsymbol{B}){\boldsymbol{\tilde{\boldsymbol{v}}}}_{S}(t)。\end{cases} $ | (11) |
定义
| $ \boldsymbol{\dot{\boldsymbol{\delta }}}(t)=\left[\begin{matrix} \boldsymbol{0} & \boldsymbol{L}\\ -{c}_{1}\boldsymbol{I} & -{c}_{2}(\boldsymbol{L}+\boldsymbol{B}) \end{matrix} \right]\boldsymbol{\delta }(t)=\boldsymbol{H}\boldsymbol{\delta }(t) 。$ | (12) |
定义李雅普诺夫函数:
| $ \boldsymbol{V}(t)={\boldsymbol{\delta }}^{\mathrm{T}}(t)\boldsymbol{Q}\boldsymbol{\delta }(t)。$ | (13) |
对李雅普诺夫函数求导得:
| $ \boldsymbol{\dot{\boldsymbol{V}}}(t)={\boldsymbol{\delta }}^{\mathrm{T}}(t)({\boldsymbol{H}}^{\mathrm{T}}\boldsymbol{Q}+\boldsymbol{Q}\boldsymbol{H})\boldsymbol{\delta }(t)。$ | (14) |
分析式(14)可得,若存在一个对称正定矩阵Q和正整数
假设1 UAV-USV系统的每个切换通信拓扑均为连通的。
定义
定理2 在切换拓扑情形下,若存在对称正定矩阵
| $ \left(\begin{matrix} \boldsymbol{\hat{\boldsymbol{Q}}} & {0}\\ {0} & {\boldsymbol{\hat{\boldsymbol{H}}}}^{\mathrm{T}}\boldsymbol{\hat{\boldsymbol{Q}}}+\boldsymbol{\hat{\boldsymbol{Q}}\hat{\boldsymbol{H}}} \end{matrix} \right) \lt 0 。$ | (15) |
式中:
证明 定义以下变量
| $ \begin{cases} {\boldsymbol{\hat{\boldsymbol{x}}}}_{S}(t)={\boldsymbol{L}}_{\sigma (t)}{\boldsymbol{x}}_{S}(t)-{\mathrm{diag}}({\boldsymbol{A}}_{\sigma (t)}{\boldsymbol{R}}_{1}),\\ {\boldsymbol{\hat{\boldsymbol{v}}}}_{S}(t)={\boldsymbol{v}}_{S}(t)-{\boldsymbol{v}}_{A}(t)\otimes {1}。\end{cases} $ | (16) |
虑及
| $ \begin{cases} {\boldsymbol{\dot{\hat{\boldsymbol{x}} }}}_{S}(t)={\boldsymbol{L}}_{\sigma (t)}{\boldsymbol{\hat{\boldsymbol{v}}}}_{S}(t),\\ {\boldsymbol{\dot{\hat{\boldsymbol{v}} }}}_{S}(t)=-{c}_{1}{\boldsymbol{\hat{\boldsymbol{x}}}}_{S}(t)-{c}_{2}({\boldsymbol{L}}_{\sigma (t)}+{\boldsymbol{B}}_{\sigma (t)}){\boldsymbol{\hat{\boldsymbol{v}}}}_{S}(t)。\end{cases} $ | (17) |
定义
| $ \boldsymbol{\dot{\hat{\boldsymbol{\delta }} }}(t)=\left(\begin{matrix} \boldsymbol{0} & {\boldsymbol{L}}_{\sigma (t)}\\ -{c}_{1}\boldsymbol{I} & -{c}_{2}({\boldsymbol{L}}_{\sigma (t)}+{\boldsymbol{B}}_{\sigma (t)}) \end{matrix} \right)\boldsymbol{\hat{\boldsymbol{\delta }}}(t)=\boldsymbol{\hat{\boldsymbol{H}}\hat{\boldsymbol{\delta }}}(t)。$ | (18) |
定义李雅普诺夫函数:
| $ \boldsymbol{\hat{\boldsymbol{V}}}(t)={\boldsymbol{\hat{\boldsymbol{\delta }}}}^{\mathrm{T}}(t)\boldsymbol{\hat{\boldsymbol{Q}}\hat{\boldsymbol{\delta }}}(t)。$ | (19) |
同固定拓扑情形,若存在一个对称正定矩阵
为验证提出的UAV-USV系统实现编队跟踪控制算法的有效性,首先开展了由1个UAV和3个USV构成的协同系统分别在固定拓扑和切换拓扑条件下的编队跟踪仿真。其次,开发了协同控制算法验证样机,并通过湖试验证了协同控制算法在实际系统上的有效性。
3.1 仿真试验1UAV-USV系统的通信拓扑结构如图4所示。多USV系统期望的编队队形定义为:USV1与USV2和USV3之间的期望距离均为5 m,USV2和USV3之间的期望距离为
|
图 4 固定通信拓扑 Fig. 4 Fixed communication topology |
采用定理1中的方法求解,取
图5为UAV-USV系统的编队跟踪轨迹。可知,USV编队能够保持期望队形,实现对UAV轨迹的有效跟踪,表明UAV-USV系统协同路径跟踪任务得以顺利完成。图6为编队跟踪过程中USV之间的相对距离变化曲线。结果显示,USV之间的相对距离均能从初始值迅速收敛至期望值。其中,USV1与USV2、USV3的相对距离均收敛至5 m,USV2与USV3之间的距离则收敛至7.07 m,成功构成了目标编队结构。图7为USV的速度变化过程及其与UAV速度之间的误差变化曲线。可以看出,各USV均实现了对UAV速度的精确跟踪,系统速度误差最终趋近于0。综上所述,仿真结果验证了所提出协同控制算法在固定拓扑条件下能够有效实现UAV-USVs系统的预定编队跟踪与速度一致性控制。
|
图 5 UAV-USVs协同编队跟踪轨迹 Fig. 5 Trajectory tracking of UAV-USVs cooperative formation |
|
图 6 USV相对距离 Fig. 6 Relative distance of USVs |
|
图 7 速度与速度跟踪误差 Fig. 7 Velocity and velocity tracking error |
在切换拓扑条件下,假设UAV-USVs系统的通信拓扑在图8所示的3种结构之间随机切换,切换信号如图9所示。控制参数与仿真试验1保持一致。
|
图 8 切换通信拓扑 Fig. 8 Switching topologies |
|
图 9 拓扑切换信号 Fig. 9 Topology switching signal |
图10为UAV-USVs系统在切换拓扑条件下的编队跟踪轨迹。可以观察到,USV编队能够保持预期队形,实现对UAV轨迹的有效跟踪,说明所提出的协同控制算法在拓扑切换条件下依然具备良好的路径跟踪性能。图11为编队跟踪过程中USV间相对距离的变化曲线。结果表明,各USV之间的相对距离可由初始值迅速收敛至目标值,USV1与USV2、USV3的相对距离均收敛至5 m,USV2与USV3之间的距离则稳定于7.07 m,表明预期的编队结构得以维持。图12为USV的速度变化过程及其对UAV速度的跟踪误差。仿真结果显示,所有USV均实现了对UAV速度的准确跟踪,速度误差趋近于0。综上所述,仿真结果表明,即使在通信拓扑随机切换的情况下,所设计的协同控制算法依然能够实现UAV-USVs系统对预设编队的准确跟踪与速度一致性控制,具有较强的鲁棒性和适应性。
|
图 10 UAV-USVs协同编队跟踪轨迹 Fig. 10 Trajectory tracking of UAV-USVs cooperative formation |
|
图 11 USV相对距离 Fig. 11 Relative distance of USVs |
|
图 12 速度与速度跟踪误差 Fig. 12 Velocity and velocity tracking error |
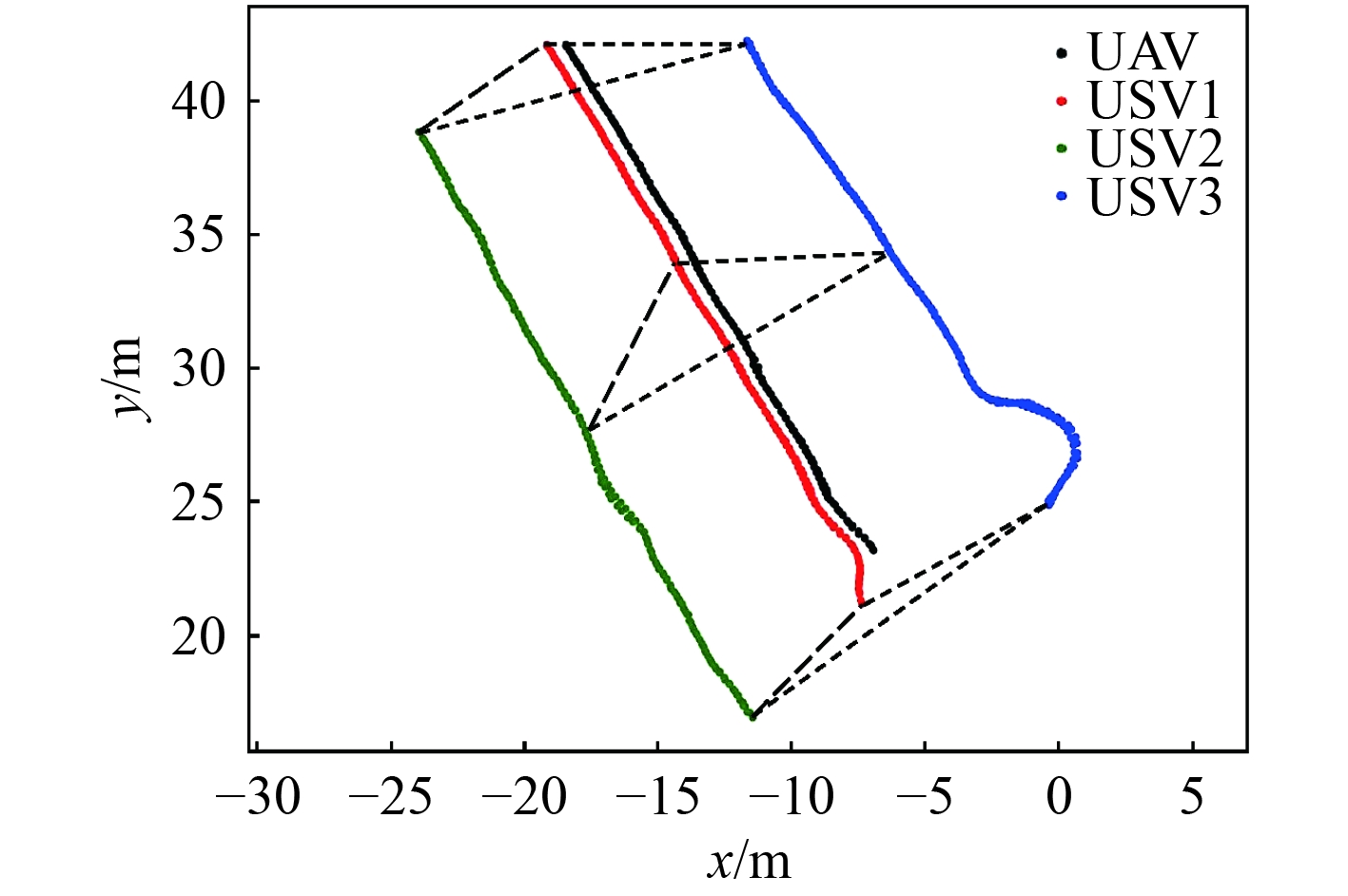
用于验证协同控制算法的样机系统,由1架UAV和3条USV组成,个体间通过自组织网络实现信息交互。在试验中,设定UAV作为领航者,以恒定高度沿直线路径匀速飞行,3条USV则在所设计的协同控制算法驱动下,保持预设编队队形对UAV进行跟踪。图13为试验过程中UAV-USVs系统的运动轨迹,虚线表示USV间的连线,反映其相对队形关系。
|
图 13 协同编队跟踪轨迹 Fig. 13 Trajectory of cooperative formation tracking |
从试验结果可观察到,USV1的轨迹在理论上应与UAV轨迹在二维平面上完全重合,但实际存在一定偏差,主要原因在于GPS定位误差对航迹精度的影响。综上所述,试验结果验证了所提出协同控制算法在异构无人系统中的工程可实现性与应用有效性。
4 结 语本文针对无人机/无人船异构系统的编队协同跟踪控制问题,设计了一种基于一致性理论的控制协议,并分别推导了系统在固定拓扑和切换拓扑条件下实现一致的充分条件。仿真结果表明,该控制协议能够实现对预设编队的稳定跟踪,并在拓扑切换条件下保持良好的系统收敛性与鲁棒性。最后,通过湖区样机试验验证了所提控制算法的可行性,进一步证明了其在实际应用中的有效性与工程推广价值。未来研究将围绕通信时延、信息丢包等实际问题开展更具鲁棒性的控制方法设计。
| [1] |
郭海波, 王晨宇, 李瑞康, 等. 跨域无人集群协同架构及关键技术研究[J]. 舰船科学技术, 2025, 47(5): 179-182. GUO H B, WANG C Y, LI R K, et al. Research on cross domain unmanned cluster collaborative architecture and key technologies[J]. Ship Science and Technology, 2025, 47(5): 179-182. DOI:10.3404/j.issn.1672-7649.2025.05.027 |
| [2] |
于建宇, 林景胜, 闫敬, 等. 一种UAV-USV-UUV跨域协同时钟同步算法[J]. 水下无人系统学报, 2024, 32(4): 678-687. YU J Y, LIN J S, YAN J, et al. Clock synchronization algorithm of UAV-USV-UUV cross-domain cooperation[J]. Journal of Unmanned Undersea Systems, 2024, 32(4): 678-687. DOI:10.11993/j.issn.2096-3920.2024-0097 |
| [3] |
尹逢川, 梁晓龙, 陶浩, 等. 海上无人系统时间协同航迹规划[J]. 中国舰船研究, 2022, 17(4): 57-70. YIN F C, LIANG X L, TAO H, et al. Time cooperative path planning for unmanned marine system[J]. Chinese Journal of Ship Research, 2022, 17(4): 57-70. DOI:10.19693/j.issn.1673-3185.02302 |
| [4] |
YUAN S, LI Y, BAO F, et al. Marine environmental monitoring with unmanned vehicle platforms: Present applications and future prospects[J]. Science of the Total Environment, 2023, 858: 159741. DOI:10.1016/j.scitotenv.2022.159741 |
| [5] |
余敏, 刘浩煜, 张文凯, 等. 自主水下航行器群探测行为关键技术分析[J]. 舰船科学技术, 2025, 47(3): 111-116. YU M, LIU H Y, ZHANG W K, et al. Analysis on key technologies of collective detection behavior by autonomous underwater vehicles[J]. Ship Science and Technology, 2025, 47(3): 111-116. |
| [6] |
WU L F, RASTGAAR M, MAHMOUDIAN N. Heterogeneous multi-robot (UAV-USV-AUV) collaborative exploration with energy replenishment[J]. IFAC-PapersOnLine, 2024, 58(20): 159-164. DOI:10.1016/j.ifacol.2024.10.048 |
| [7] |
WEI W, WANG J, FANG Z, et al. 3U: Joint design of UAV-USV-UUV networks for cooperative target hunting[J]. IEEE Transactions on Vehicular Technology, 2022, 72(3): 4085-4090. DOI:10.1109/tvt.2022.3220856 |
| [8] |
姜丽媛. 通信约束下UUV-UAV协同目标搜索方法研究[D]. 哈尔滨: 哈尔滨工程大学, 2022.
|
| [9] |
LI W, GE Y, GUAN Z, et al. NMPC-based UAV-USV cooperative tracking and landing[J]. Journal of the Franklin Institute, 2023, 360(11): 7481-7500. DOI:10.1016/j.jfranklin.2023.06.023 |
| [10] |
XUE K, WU T. Distributed consensus of USVs under heterogeneous UAV-USV multi-agent systems cooperative control scheme[J]. Journal of Marine Science Engineering, 2021, 9(11): 1314. DOI:10.3390/jmse9111314 |
| [11] |
TIAN E, LI Y, LIAO Y, et al. UAV-USV docking control system based on motion compensation deck and attitude prediction[J]. Ocean Engineering, 2024, 307: 118223. DOI:10.1016/j.oceaneng.2024.118223 |
| [12] |
白嘉琪, 王彦恺, 邢昊. 无人艇与四旋翼无人机固定时间异构编队控制[J]. 系统工程与电子技术, 2023, 45(4): 1152-1163. BAI J Q, WANG Y K, XING H. Fixed-time heterogeneous formation control of unmanned boats and quadrotor unmanned aerial vehicle[J]. Systems Engineering and Electronics, 2023, 45(4): 1152-1163. DOI:10.12305/j.issn.1001-506X.2023.04.24 |
| [13] |
袁洋, 段海滨, 魏晨. 无人机/无人艇异构协同固定时间预设性能演化控制[J]. 自动化学报, 2025, 51(5): 1052-1066. YUAN Y, DUAN H B, WEI C. Heterogeneous cooperative fixed-time prescribed performance evolution control for unmanned aerial/surface vehicle[J]. Acta Automatica Sinica, 2025, 51(5): 1052-1066. DOI:10.16383/j.aas.c240141 |
| [14] |
GHOMMAM J, IFTEKHAR L, RAHMAN M H, et al. Cooperative learning‐based practical formation-containment control with prescribed performance for heterogeneous clusters of UAV/USV[J]. Asian Journal of Control, 2025, 27(2): 921-947. DOI:10.1002/asjc.3480 |
| [15] |
HUANG D, LI H, LI X. Formation of generic UAVs-USVs system under distributed model predictive control scheme[J]. IEEE Transactions on Circuits and Systems II: Express Briefs, 2020, 67(12): 3123-3127. |
| [16] |
LI J, ZHANG G, ZHANG X, et al. Integrating dynamic event-triggered and sensor-tolerant control: application to USV-UAVs cooperative formation system for maritime parallel search[J]. IEEE Transactions on Intelligent Transportation Systems, 2023, 25(5): 3986-3998. DOI:10.1109/tits.2023.3326271 |
| [17] |
LIU H, WENG P, TIAN X, et al. Distributed adaptive fixed-time formation control for UAV-USV heterogeneous multi-agent systems[J]. Ocean Engineering, 2023, 267: 113240. DOI:10.1016/j.oceaneng.2022.113240 |
| [18] |
罗统, 张民, 梁承宇. 复杂环境下多无人机协同目标跟踪路径规划[J]. 兵工自动化, 2024, 43(9): 90-96. LUO T, ZHANG M, LIANG C Y. Path planning for multiple UAVs cooperative target tracking in complex environment[J]. Ordnance Industry Automation, 2024, 43(9): 90-96. DOI:10.7690/bgzdh.2024.09.021 |
| [19] |
YAN X, JIANG D, MIAO R, et al. Formation control and obstacle avoidance algorithm of a multi-USV system based on virtual structure and artificial potential field[J]. 2021, 9(2): 161.
|
| [20] |
ABBASI M, MARQUEZ H. Observer-based event-triggered consensus control of multi-agent systems with time-varying communication delays[J]. IEEE Transactions on Automation Science Engineering, 2023, 21(4): 6336-6346. DOI:10.1109/tase.2023.3324526 |
2026, Vol. 48
