在全球节能减排的背景下,船舶与航运领域正致力于提高能效、降低CO2排放[1-2]。船舶航行过程中,因环境变化复杂、航行任务多样,其动力系统面临多种工况。在非设计工况下,传统动力系统无法运行于高效区间,导致系统能效下降[3]。船舶混合动力系统有多种工作模式,可以在非设计工况下仍保持较高能效。船舶混合动力系统包含推进主机、发电辅机和轴带电机等设备,其中轴带电机可调节主机功率,使船舶混合动力系统具备多种工作模式以应对不同工况[4 - 5]。在常规工况下,轴带电机可运行于发电机模式向船舶电网供电(Power Take Off,PTO模式),此时船舶能效较高[6 - 7]。在船舶低速航行时,轴带电机可以单独驱动螺旋桨(Power Take In,PTI模式),其电能由发电机组提供,从而避免主机低负荷运行时能效低的问题。此外,当船舶重载或处于恶劣海况需要更大推进功率时,轴带电机可运行于PTI模式,与主机共同向螺旋桨提供功率[8 − 10]。因能效优势显著,混合动力系统应用在多用途船舶上更为广泛,在大型货船上广泛应用较少[7 - 11]。然而,船舶混合动力系统组成及工作原理复杂,能量分配模式多样,各设备工作特性差异大,子系统与设备间既相互配合又相互制约[12]。其中,各设备的运行模式直接决定船舶航行的系统能效。因此,需要研究各设备对混合动力系统能效的影响规律,以实现多工况下船舶混合动力系统的能效优化,为混合动力船舶不同工况的运行控制策略和能量管理提供理论支撑。
船舶混合动力系统由船舶推进主机、发电机组、轴带电机(轴带发电机/电动机)等组成。系统中各设备相互配合也相互制约,并共同影响船舶能效。为研究船舶混合动力系统的能效,Sui[13]研究了不同螺旋桨控制方式下,混合动力系统在多种工况下的性能及排放,但未得出相应工况下能效最优的控制模式。Zhu等[14]、Bassam等[15]基于规则的能量管理策略,实现了混合动力系统中内燃机、发电机、电池等设备的高效运行。Dorri等[16]、Soleymani等[17]分别基于全局优化和实时优化策略,设计了混合动力系统中内燃机、发电机、电机和电池组的最优功率输出组合,以达到最低燃油消耗率。然而,这些研究仅针对离散的确定工况或几种阻力特征进行能量管理,未明确更广工况范围下如何调控系统以实现最佳能效。此外,目前研究多集中于军舰、拖船、离岸工程船舶及客船等船型,对运输船舶混合动力系统能效方面的研究仍然有限。运输船舶在每次航行时载货量不同,航行海况多变,导致其动力系统负载复杂多变。混合动力系统虽能适应多种航行工况,但需要开发多工况下系统控制策略。
基于上述问题,为了探索混合动力船舶在多种工况下的运行控制方式,提高混合动力船舶在不同工况下的能效,本文在更全面的工况范围内优化了船舶混合动力系统的能效。首先,基于系统各设备的工作原理,建立了船舶混合动力系统一体化仿真模型,并利用试验数据对仿真模型进行了标定和验证。然后,基于仿真模型研究了不同工况下船舶混合动力系统负荷的预测及其变化规律,以及不同能量分配策略对混合动力系统能效的影响。最后,对船舶混合动力系统在多工况下进行能效优化,为混合动力船舶在不同工况的运行控制提供了理论支撑。
1 船舶混合动力系统仿真模型本文以
|
|
表 1 13000 DWT化学船部分技术参数 Tab.1 Key technical parameters of the 13000 DWT chemical tanker |
|
图 1 船舶混合动力系统结构示意图 Fig. 1 Layout diagram of the hybrid power system of the ship |
为研究多工况下船舶混合动力系统的能效,建立了涵盖推进主机、发电机组、调距桨及船体阻力等的多系统一体化仿真模型,其结构如图2所示。模型中,发电机与轴带电机作为能量转换设备,其能量转换过程通过效率值模拟,其能量转换效率设置为固定值98%[13]。
|
图 2 船舶混合动力系统仿真模型结构图 Fig. 2 Simulation model diagram of ship hybrid power system |
在该船舶混合动力系统中,推进主机为低速二冲程柴油机,发电辅机为中速四冲程柴油机,其参数如表2所示。
|
|
表 2 柴油机部分技术参数 Tab.2 Part of technical parameters of the diesel engine |
常见的柴油机仿真模型包括传递函数模型、拟合模型、平均值模型、多区域模型及三维模型等。模型仿真精度随维度增加而提高,但复杂度和计算成本也随之上升,仿真速度降低 [19]。本文聚焦船舶混合动力系统能效研究,重点关注柴油机油耗。因此,综合考虑仿真精度、计算目标和计算成本,选用基于柴油机试验数据的拟合模型,用于研究多工况下船舶混合动力系统的能效。拟合模型中,柴油机输出转矩为转速与循环喷油量的函数,见式(1)。该方程本质上是包含交叉项的二元函数二阶泰勒级数近似 [20]。
| $ \begin{split}\frac{M}{{M}^{*}}=&f\left(\frac{{m}_{f}}{m_{f}^{*}},\frac{N}{{N}^{*}}\right)=1-a\cdot \left(1-\frac{{m}_{f}}{m_{f}^{*}}\right)+\\ &b\cdot {\left(1-\frac{{m}_{f}}{m_{f}^{*}}\right)}^{2}-c\cdot \left(1-\frac{N}{{N}^{*}}\right)+\\ &d\cdot {\left(1-\frac{N}{{N}^{*}}\right)}^{2}+2\cdot e\cdot \left(1-\frac{{m}_{f}}{m_{f}^{*}}\right)\cdot \left(1-\frac{N}{{N}^{*}}\right)。\end{split} $ | (1) |
式中:
|
|
表 3 柴油机拟合模型中的系数[13] Tab.3 Coefficients in the diesel engine fitting model |
该化学品船配备一个调距桨,其推力T与扭矩Q计算式为:
| $ T={K}_{T}\cdot \rho \cdot {n}^{2}\cdot {D}^{4},$ | (2) |
| $ Q={K}_{Q}\cdot \rho \cdot {n}^{2}\cdot {D}^{5},$ | (3) |
| $ J=\frac{{V}_{s}\cdot (1-\omega )}{n\cdot D}。$ | (4) |
式中:ρ为水的密度,kg/m3;D为螺旋桨的直径,m;n为螺旋桨转速,
|
图 3 额定螺距比下调距桨的敞水特性曲线[13] Fig. 3 Open water characteristic of CPP under design pitch |
在船舶实际航行中,环境条件、船型及船速是影响船体阻力的重要因素[21]。特定工况下,船舶阻力仅与航速相关。船体阻力的计算方法多样,本文采用基于船模试验数据拟合的船舶阻力与航速的函数关系计算船体阻力,如图4所示。
|
图 4 船舶阻力与航速的关系[13] Fig. 4 The relationship between ship resistance and ship speed |
船舶推进系统中存在2个重要的运动平衡:轴系的转动平衡和船体的平动平衡。前者体现为柴油机输出扭矩与负载扭矩的平衡,直接决定了推进轴系和螺旋桨的转速;后者则由螺旋桨的有效推力与船舶阻力构成,决定了船体的航速。
1) 轴系转动平衡模型
柴油机的输出扭矩和柴油机的负载扭矩共同决定轴系的转速,如下式。
| $ {M}_{e}-{M}_{P}-{T}_{m}=2\text{π} \cdot I\cdot \frac{{\mathrm{d}}{n}_{e}}{{\mathrm{d}}t}。$ | (5) |
式中:Me为柴油机输出扭矩,N·m;Mp为螺旋桨扭矩,Nm;Tm为轴带电机折合转矩,N·m,其值为正表示输出电能,为负表示消耗电能;I为柴油机输出轴的当量转动惯量;ne为柴油机转速,r/min。
2) 船体平动平衡模型
螺旋桨产生的推力与船舶阻力共同决定船体航速的变化,如下式:
| $ {T}_{s}-{R}_{s}=\left({m}_{s}+{m}_{{\mathrm{add}}}\right)\cdot \frac{{\mathrm{d}}{V}_{s}}{{\mathrm{d}}t}。$ | (6) |
式中:Rs为船舶阻力,N;ms为船体质量,kg;madd为附带水质量,kg;
1) 推进主机模型验证
本文聚焦于船舶动力系统能效研究,其范围不涉及柴油机内部工作过程(如换气、燃烧等)。因此,验证柴油机耗油率即满足本研究需求。图5对比了柴油机试验数据和拟合模型的仿真结果,表明基于主机与辅机拟合模型计算的耗油率相对误差均在1%以内,具有较高精度。
|
图 5 主机与辅机耗油率验证结果[13] Fig. 5 Validation results of simulation model of the main engine and auxiliary engine |
2) 船舶推进系统仿真模型验证
为验证所建立的船舶推进系统仿真模型,本文分别利用船舶海试数据与船模自航试验数据[13]进行对比验证,如图6所示。在2项试验中,螺旋桨螺距比均固定于额定值(P/D=
|
图 6 船舶混合动力系统验证结果 Fig. 6 Validation results of simulation model of the ship propulsion system |
3) 推力减额与伴流分数模型验证
在船舶实际航行中,推力减额与伴流分数随船舶航速、船体污底等参数变化而变化,本文将推力减额与伴流分数假设为仅与船舶航速有关[13],并根据试验值拟合得出二者与船舶航速的关系,如图7所示,应用到计算螺旋桨推力与扭矩的过程中。
|
图 7 推力减额与伴流分数[13] Fig. 7 Thrust deduction factor and wake factor |
船舶混合动力系统集成了多种动力源与储能装置,其运行过程涉及复杂的能量流动与多设备协同控制。鉴于系统工况多变且能效要求严格,为此亟需建立有效的能量管理模型。该模型的核心作用在于实时协调各单元工作状态并优化能量分配策略,进而显著提升系统整体能效及经济性与环保性,为智能运行控制奠定关键基础。
2.1 优化目标函数通过优化各运行模式及设备参数,实现船舶在确定工况下的最低油耗,并对系统内所有设备实施有效管理。目标函数为:
| $ m{f}_{z}=m{f}_{e}+m{f}_{G}。$ | (7) |
式中:mfz为船舶运行的总油耗,包括主机油耗mfe和发电辅机油耗mfG,单位均为g/s。
2.2 优化自变量船舶混合动力系统中包含推进主机、螺旋桨、轴带电机、发电辅机等(见图1),需控制各设备相互配合,使船舶能效最高。所以船舶混合动力系统能效优化中的自变量为:螺旋桨螺距比P/D、主机转速ne、主机功率Pe、轴带电机功率PMG和发电辅机功率PG。
2.3 相关约束船舶混合动力系统在确定工况下需满足如下约束:
1)船舶航行过程中时,螺旋桨推力对螺距比和转速的约束:
| $ \left\{\begin{aligned} &{T}_{\text{prop}}={K}_{T}\cdot \rho \cdot {n}^{2}\cdot {D}^{4},\\ &{K}_{T}=f(J,P/D)。\end{aligned}\right. $ | (8) |
式中:Tprop为螺旋桨推力,N;KT为推力系数与进速系数和螺距比有关(见图3)。
2)螺旋桨传动轴上要满足功率平衡:
| $ {P}_{e}={P}_{d}/{\eta }_{s}+{P}_{MG}。$ | (9) |
式中:Pe为主机功率,kW;Pd为螺旋桨收到功率,kW,可由螺旋桨扭矩与转速计算;ηs为轴系效率,取0.99。
3)船舶电网中要满足产生电能功率与消耗电能功率相等:
| $ {P}_{G}+{P}_{MG}=350\;\text{kW}。$ | (10) |
式中:PG为发电机组功率,kW;PMG为轴带电机功率,kW,其值取正表示发电功率(PTO模式),取负表示电动机功率(PTI);船舶电网的设计负载为350 kW。
4)混合动力系统中各设备还有本身的运行范围:
主机与发电机的功率范围:
| $ \left\{\begin{aligned}& 0\leqslant {P}_{e}\leqslant 4170\;\text{kW},\\ & 0\leqslant {P}_{G}\leqslant 750\;\text{kW}。\end{aligned}\right. $ | (11) |
主机的转速运行范围:
| $ 60\;\text{r/}\min \leqslant {n}_{e}\leqslant 167\;\text{r/}\min。$ | (12) |
螺旋桨螺距比的范围:
| $ 0.1\leqslant P/D\leqslant 0.7075。$ | (13) |
本文的混合动力系统能效优化策略分为2个阶段,如图8所示。第一阶段旨在优化螺旋桨效率:通过调节螺旋桨螺距比,寻找当前工况下螺旋桨的最优敞水效率点,该点同时对应所需的最小收到功率。在此基础上,第二阶段聚焦系统油耗优化:利用轴带电机调节主机输出功率,协调主机与发电机组的工作点,使整个系统运行在最低油耗状态。策略执行需考虑关键因素:通常增大螺距比可提高螺旋桨效率,但会导致转速降低;若转速低于主机最小运行转速,则需调整策略:可减小螺距比或利用轴带电机推进。由于主机效率通常优于发电辅机,即使采用减小螺距比模式(此时主机功率可能较高)也可能比轴带电机推进模式更省油。因此,最终决策需实际计算并比较这2种方案下的系统总油耗,选择油耗更低的运行模式。
|
图 8 船舶混合动力系统能量管理流程 Fig. 8 Flowchart of energy management for ship hybrid power system |
基于上节所述的计算方法,对船舶在不同航速与有效推力组合下的工况进行了全局优化计算,得出船舶混合动力系统在各工况下能效最优时各设备的运行参数组合。图9为不同工况下对应的螺旋桨最佳收到功率。需要说明的是,此处的“最佳”并非指最小收到功率。原因在于主机效率通常优于发电辅机,因此系统总油耗最低的运行点(即能效最优状态)未必对应收到功率的最小值。正因如此,图9所示实为系统油耗最低时所对应的收到功率,即本文定义的最佳收到功率。
|
图 9 多工况螺旋桨收到功率 Fig. 9 Propeller receives power in various working conditions |
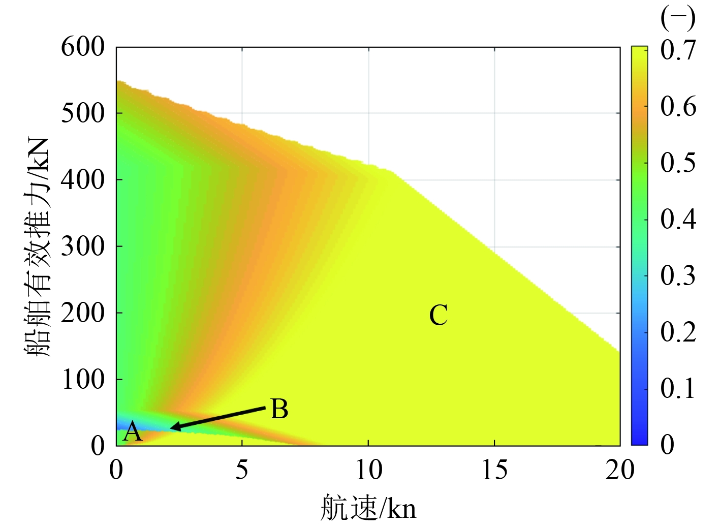
实现最佳收到功率方式首先是选出最佳螺距比和螺旋桨转速的组合(如图10螺距比和图11螺旋桨转速所示)。根据图10的工况分区分析:在A区域(低速、低阻力工况),由于所需功率和转速极低,主机效率低下甚至无法运行,因此系统完全由轴带电机驱动螺旋桨。在B区域(同样低速、低阻力,但主机可运行),驱动模式存在轴带电机驱动或主机驱动2种选择;经油耗计算对比,此区域采用PTO模式(轴带电机驱动)系统油耗更低,这一模式切换直接导致了A/B区域间螺距比和转速参数出现明显断层。而在C区域(高速、高阻力工况),所需螺距比和转速显著增大,此时则采用主机驱动螺旋桨以获得更高的推进效率。
|
图 10 多工况螺旋比 Fig. 10 Pitch ratio in various working conditions |
|
图 11 多工况螺旋桨转速 Fig. 11 Propeller speed in various working conditions |
图12和图13分别为轴带电机和主机的功率分布(轴带电机功率为正值表示发电模式,负值表示电动模式)。两图的A区间都对应前文所述的轴带电机推进模式,因此图13的A区间主机功率是0。在上述约束条件下,船舶的有效推力范围(推力包络线)由2条直线围成。可知,左侧边界源于系统功率限制,在这条线上船舶动力系统都是PTI=400 kW(750~350 kW),并且主机功率均为
|
图 12 多工况轴带电机功率 Fig. 12 Shaft motor power in various working conditions |
|
图 13 多工况推进主机功率 Fig. 13 Propulsion host power in various working conditions |
如图14所示为经上述方法选择各个设备的参数,分别计算推进主机和发电辅机的耗油率(g/s),最后得出混合动力系统的总耗油率(g/s)。图15为多工况下混合动力系统的每海里总油耗,可得出某一阻力特征下的最小油耗航速,(即最小每海里油耗)。需要说明的是图中最左侧区域:该区域对应较低航速,其每海里油耗值极高。为有效呈现整体油耗分布差异,图中上限设定为200 kg/n mile。因此,该区域并非表示油耗值均为200 kg/n mile,而是代表实际油耗已超过或远高于此阈值(并随航速降低而急剧增大),故在图中不做区分。
|
图 14 多工况混合动力系统的总耗油率 Fig. 14 Total fuel consumption of hybrid power systems in various operating conditions |
|
图 15 多工况混合动力系统的每海里总油耗 Fig. 15 Total fuel consumption per nautical mile for hybrid power systems in various operating conditions |
至此,已建立船舶混合动力系统在多工况下实现能效最优的各设备运行参数组合。在稳态工况下(即船舶阻力等于有效推力时),系统可根据风浪模型等计算的船舶阻力值判断当前工况,进而调用上述优化参数组合,使系统运行于最佳能效状态。对于过渡工况(此时阻力不等于有效推力),可预先拟合船舶状态变化的过渡路径,并以图9~图13所确立的优化参数作为控制目标值,引导各设备沿此路径调整,即可实现能效最优的过渡过程。
4 不同控制策略对船舶混合动力系统航程能效的影响船舶在实际航行中,其阻力特性会因外界环境与自身装载情况的不同而变化[22]。因此,针对特定工况,应采取相应的运行控制策略。本节将前述优化控制方法应用于某实际航段,通过与原有控制方式进行对比,评估其在真实航行条件下的能效提升效果。考虑到实际航行中过渡工况占比较小,本文主要研究不同的稳态航行工况,相关航段的阻力特性变化详见表4。13000 DWT化学品船的原有控制方式是由单手柄操纵杆同时控制螺旋桨转速与螺距比,如图16所示,该典型控制策略是保持螺旋桨转速恒定于167 r/min,通过改变螺距比来控制航速。船舶航行在不同阻力特征下时,将主机喷油齿条固定在使船舶能在设计阻力下以13.3 kn航行的位置。因此,当实际阻力特性偏离设计值时,见表4,船速会随之改变。
|
|
表 4 航段中的阻力特性与航速变化 Tab.4 Changes in the resistance characteristics and ship speed of a certain voyage |
|
图 16 化学品船的单手柄操纵杆控制策略 Fig. 16 Control Strategy for single lever command in chemical tanker |
为准确对比2种控制方法的能效,需确保在相同时间段内的航速保持一致。图17~图18分别为2种控制方式下的螺距比与螺旋桨转速,分析可知,优化后的“最佳运行模式”下螺距比显著增大,这与前文结论相符(增大螺距比有助于提升螺旋桨效率)。图19对比了该航段的主机功率消耗,结果显示采用本文优化方法后主机功率可降低约400 kW,降幅显著;图20对比了该航段的耗油率,同样可见在最佳运行模式下耗油率下降明显。经计算,原有控制方式在此航段平均耗油量为44.91 kg/n mile,而最佳运行控制方式下平均耗油量为43.96 kg/n mile。对比表明,优化方法使平均每海里耗油量减少了2.1%。在航速恒定前提下,该耗油量的降低直接等效于船舶动力系统能量传递效率提高了2.1%,能效提升效果显著。
|
图 17 原有控制与本文优化控制策略的螺距比对比 Fig. 17 Comparison of the pitch ratio of the original control and the optimized control strategy in this paper |
|
图 18 原有控制与本文优化控制策略的螺旋桨转速对比 Fig. 18 Comparison of the propeller speed of the original control and the optimized control strategy in this paper |
|
图 19 原有控制与本文优化控制策略的主机功率对比 Fig. 19 Comparison of the main engine power of the original control and the optimized control strategy in this paper |
|
图 20 原有控制与本文优化控制策略的船舶耗油率对比 Fig. 20 Comparison of the fuel consumption of the original control and the optimized control strategy in this paper |
本文基于建立的船舶混合动力系统一体化仿真模型,在多工况条件下对船舶混合动力系统能效进行了优化研究,完善了混合动力船舶在不同工况下的运行控制策略,有效提升了其能效水平。主要结论如下:
1)螺距比与动力模式选择:增大螺旋桨螺距比可提升敞水效率,从而改善船舶整体能效。然而,过高的螺距比会导致螺旋桨转速过低,可能低于推进主机的最低稳定运行转速。在此情况下,需适当降低螺距比或切换至轴带电机单独推进模式。由于推进主机的效率通常优于发电辅机,在选取动力系统运行模式时需进行具体计算以确定最优方案。
2) 轴带电机运行特性与负载分配:在大部分工况下,轴带电机稳定运行与发电机模式(PTO模式),输出功率为350 kW,此时发电辅机处于停机状态。这也进一步验证了推进主机效率优于发电辅机。因此,在确保系统安全运行的前提下,应该优先让推进主机承担更多负载,可以有效降低船舶燃油消耗。
3) 能效优化效果验证:将本研究得出的最优运行控制策略应用于某实际航段进行验证。对比原有控制方式与优化后策略的结果表明:采用优化策略后,船舶平均每海里耗油量降低了2.1%,相当于船舶动力系统能量传递效率提高2.1%,能效优化效果较明显。
此外,本文未考虑不同工况下伴流分数和推力减额变化对船舶能效的影响。未来研究可引入这些因素,并考虑加入电池等储能设备,利用智能算法对船舶混合动力系统进行更全面的协同优化,以进一步提升船舶能效。
| [1] |
李忠杰. 船舶混合动力系统的发展与应用研究[J]. 中国设备工程, 2023(3): 113-115. LI Z J. Research on the development and application of marine hybrid power system[J]. China Plant Engineering, 2023(3): 113-115. |
| [2] |
王聚, 裴志勇, 康煜晗, 等. 基于能量管理的长江船舶柴电混合动力系统设计与优化[J]. 武汉理工大学学报(交通科学与工程版), 2024, 48(4): 692−697+704. WANG J, PEI Z Y, KANG Y H, et al. Design and optimization of marine diesel-electric hybrid power system for Yangtze River ships based on energy management[J]. Journal of Wuhan University of Technology (Transportation Science & Engineering), 2024, 48(4): 692−697+704. |
| [3] |
DAMIAN S E, WONG L A, SHAREEF H, et al. Review on the challenges of hybrid propulsion system in marine transport system[J]. Journal of Energy Storage, 2022, 56: 105983. DOI:10.1016/j.est.2022.105983 |
| [4] |
孙晓军, 宋恩哲, 姚崇. 船用混合动力推进系统能量管理系统关键技术研究现状[J]. 中国机械工程, 2022, 33(4): 469−481+495. SUN X J, SONG E Z, YAO C. Research status of key technologies for energy management system of marine hybrid propulsion systems[J]. China Mechanical Engineering, 2022, 33(4): 469−481+495. |
| [5] |
张益敏, 陈俐, 朱剑昀. 混合动力船舶动力装置及能量管理研究综述[J]. 舰船科学技术, 2018, 40(5): 1-7. ZHANG Y M, CHEN L, ZHU J Y. Overview of power plant and energy management of hybrid ship[J]. Ship Science and Technology, 2018, 40(5): 1-7. |
| [6] |
SUI C, STAPERSMA D, VISSER K, et al. Energy effectiveness of ocean-going cargo ship under various operating conditions[J]. Ocean Engineering, 2019, 190: 106473. DOI:10.1016/j.oceaneng.2019.106473 |
| [7] |
SUI C, VOS P D, STAPERSMA D, et al. Fuel consumption and emissions of ocean-going cargo ship with hybrid propulsion and different fuels over voyage[J]. Journal of Marine Science and Engineering, 2020, 8(8): 588. DOI:10.3390/jmse8080588 |
| [8] |
YUAN Y, WANG J, YAN X, et al. A review of multi-energy hybrid power system for ships[J]. Renewable and Sustainable Energy Reviews, 2020, 132: 110081. DOI:10.1016/j.rser.2020.110081 |
| [9] |
GEERTSMA R D, NEGENBORN R R, VISSER K, et al. Design and control of hybrid power and propulsion systems for smart ships: a review of developments[J]. Applied Energy, 2017, 194: 30-54. DOI:10.1016/j.apenergy.2017.02.060 |
| [10] |
SUI C, DE VOS P, HOPMAN H, et al. Effects of adverse sea conditions on propulsion and manoeuvring performance of low-powered ocean-going cargo ship[J]. Ocean Engineering, 2022, 254: 111348. DOI:10.1016/j.oceaneng.2022.111348 |
| [11] |
PENG W, YANG J, CORBIN J, et al. Comprehensive analysis of the air quality impacts of switching a marine vessel from diesel fuel to natural gas[J]. Environmental Pollution, 2020, 266: 115404. DOI:10.1016/j.envpol.2020.115404 |
| [12] |
包远青. 船舶混合动力推进系统的设计与控制[J]. 船舶物资与市场, 2023, 31(4): 25-28. |
| [13] |
SUI C. Energy effectiveness and operational safety of low-powered ocean-going cargo ship in various (heavy) operating conditions[D]. Delft, the Netherlands: Delft University of Technology, 2021.
|
| [14] |
ZHU L, HAN J, PENG D, et al. Fuzzy logic based energy management strategy for a fuel cell/battery/ultra-capacitor hybrid ship[C]//2014 First International Conference on Green Energy, 2014.
|
| [15] |
BASSAM A M, PHILLIPS A B, TURNOCK S R, et al. Development of a multi-scheme energy management strategy for a hybrid fuel cell driven passenger ship[J]. International Journal of Hydrogen Energy, 2017, 42(1): 623-635. DOI:10.1016/j.ijhydene.2016.08.209 |
| [16] |
DORRI M, SHAMEKHI A H. Design of an optimal control strategy in a parallel hybrid vehicle in order to simultaneously reduce fuel consumption and emissions[J]. 2011: 2011-01–0894.
|
| [17] |
SOLEYMANI M, YOOSOFI A, KANDI D M. Sizing and energy management of a medium hybrid electric boat[J]. Journal of Marine Science and Technology, 2015, 20(4): 739-751. DOI:10.1007/s00773-015-0327-0 |
| [18] |
肖朝辉. 多构型船舶混合动力系统能效管理研究[D]. 哈尔滨: 哈尔滨工程大学, 2022.
|
| [19] |
李兵权. 船舶航行条件对智能船主机运行状态的影响研究[D]. 哈尔滨: 哈尔滨工程大学, 2021.
|
| [20] |
SANG Y, DING Y, XU J, et al. Ship voyage optimization based on fuel consumption under various operational conditions[J]. Fuel, 2023, 352: 129086. DOI:10.1016/j.fuel.2023.129086 |
| [21] |
TAN Q, DING Y, LIU J, et al. CFD-based hull-engine-propeller matching study after retrofitting propeller boss-cap-fin (PBCF)[J]. Ocean Engineering, 2023, 285: 115364. DOI:10.1016/j.oceaneng.2023.115364 |
| [22] |
陈立家, 王冰, 魏天明, 等. 基于船舶操纵模拟器的大型滚装船泊稳条件试验方法[J]. 上海海事大学学报, 2023, 44(4): 8-16. CHEN L J, WANG B, WEI T M, et al. A test method for mooring stability conditions of large Ro-Ro ships based on ship maneuvering simulators[J]. Journal of Shanghai Maritime University, 2023, 44(4): 8-16. |
2026, Vol. 48
