2. 电子科技大学长三角研究院(湖州),浙江 湖州 313001
2. Yangtze River Delta Research Institute of University of Electronic Science and Technology of China (Huzhou), Huzhou 313001, China
水下无人潜航器(Unmanned Underwater Vehicle,UUV)作为海洋资源开发与环境监测的关键装备,广泛应用于深海勘探、资源调查及国防安全等领域[1]。具备自主导航和长时间作业能力的UUV,能够在复杂环境中执行多样化任务。然而,田青等[2]指出受水下低通量、弱通信条件制约,数据采集过程中易出现缺失现象,尤其在浅海区域,传统跟踪模型未充分考虑声传播损失特性,导致航迹不连续,影响态势感知的精度。
随着UUV任务复杂性提升,精确导航与轨迹记录成为任务成功的关键。然而复杂海洋环境中的温度、深度变化会影响声速传播,引发数据缺损和误差累积[3]。轨迹偏差不仅可能造成航向偏离、能源消耗增加,影响探测精度,还会提高碰撞风险,甚至导致任务失败。因此,在复杂水下环境中,提高UUV轨迹数据的完整性与准确性,对增强作业能力和优化海洋探测至关重要。
为解决UUV声信号传播受水下温度、深度影响,特别是获取UUV轨迹数据精确低问题,本文构建一种融合RBF神经网络与水下射线传播理论的水下声速反演驱动UUV轨迹优化模型,主要包括SSP构建模型、电子轨迹增强算法。
1 相关工作水下综合定位、导航、授时与通信(PNTC)体系[4]作为国家战略的重要组成部分,对海洋灾害预警、水下目标搜索、资源勘探和国防安全具有深远影响。其中,水声通信因其低传播损耗、远距离覆盖的特点成为PNTC系统的核心技术之一。然而,文献[5 - 6]表明受水下温度、深度变化影响,SSP呈现高度非线性变化,导致信号传播路径受斯涅尔效应[7]影响显著,从而增加了定位与轨迹修正的难度。精确构建区域声速分布可优化信号传播路径,为优化UUV轨迹提供理论支撑。
近年来,SSP建模与轨迹优化的融合已成为提升UUV精确定位与导航能力的关键研究方向[8]。SSP作为水下定位精准度的核心指标,其准确性直接影响水下通信、导航及目标探测的精度。尤其在复杂海洋环境中,SSP的变化特征决定了水声传播路径,进而影响UUV的路径规划、协同作业及环境感知能力。
在影响SSP精确度的关键因素中,温度和深度变化尤为重要。温度会引起声速剖面的非线性变化,进而影响水声信号传播路径,深度的变化则决定了UUV在不同海洋层结构中的导航特性[9]。因此,精确建模温度、深度与SSP之间的关系,对提升水下目标定位、环境感知及多UUV集群协同作业的能力具有重要意义。当前研究已在多个领域取得进展,例如,在水下目标探测方面,Wu 等[10]等将SSP数据被用于优化水声信号处理算法,提高目标识别精度;在环境感知领域,Liu等 [11]利用SSP结合温度、深度信息用于构建动态海洋环境模型,以优化水下传感器部署策略;在UUV集群协同方面,Jiang等[12]融合SSP信息用于改进UUV编队控制算法,提高多机协同定位精度。然而,现有研究主要集中在主跃层,对高频变化的季节越变层结构中复杂因素的探索任显不足。如图1,当前SSP建模方法在复杂噪声环境中的稳健性较弱,难以精准刻画温度、深度对SSP的时空动态影响;深度学习方法虽然提高了SSP建模精度,但容易在训练过程中收敛至区域样本均值,难以有效捕捉声速剖面的细微波动[13]。此外,当前UUV轨迹优化方法尚未充分融合SSP的动态变化特征,导致UUV在复杂海洋环境下的轨迹修正能力受限。
|
图 1 RBF神经网络SPP构建 Fig. 1 Construction of BF neural network SPP |
SSP建模与UUV轨迹优化相结合的研究逐步成为解决UUV轨迹优化挑战的关键方向。一方面,SSP反演结果可用于优化声传播路径,提高水下通信和定位精度[14];另一方面,UUV轨迹优化模型可借助声速剖面数据增强轨迹修正能力[15]。本文提出结合Tof的改进型RBF神经网络,在深度与温度变化维度上提升SSP建模精度,并结合时序信息与空间特征的聚类优化方法,精准识别轨迹异常数据。此外,引入最小残差定位算法(Minimum Residual Localization Algorithm,MRLA)[16]进一步优化UUV轨迹补全过程,在复杂海洋环境中有效提升轨迹修正精度和鲁棒性。
由图2可知,本技术路线数据处理流程为:水下环境数据全集利用创新的TRBF模型构建声速剖面数据子集并生成声速剖面划分索引新字段。基于划分索引新字段充分融合UUV运动数据全集进行UUV运动数据全集的重构,最终结合最小残差定位MRLA算法对重构的UUV运动数据全集进行再匹配,实现典型应用场景下的UUV运动数据集电子轨迹精准增强。
|
图 2 技术路线图 Fig. 2 Technology roadmap |
考虑目标节点和水面节点之间的声速是等梯度的情况,并且SSP仅与深度有关。将水下射线跟踪映射到如图3所示的平面。
|
图 3 声信号传播射线描述 Fig. 3 Acoustic signal propagation ray description |
由图3,可以获得以下关系:
| $ \partial {r}=\frac{\partial z}{\tan (\theta )},\partial {l}=\frac{\partial z}{\sin (\theta )},\partial {t}=\frac{\partial l}{C({z})}。$ | (1) |
式中:
通过整理上述方程,可以得到飞行时间。为了简化计算,引入辅助变量
| $ {\theta }^{G}={\beta }_{2}+{\beta }_{1},{\theta }^{\mathrm{{T}}}={\beta }_{2}-{\beta }_{1}。$ | (2) |
接下来,得到
| $ {\beta }_{2}=\arctan \left(\frac{{z}^{\mathrm{{T}}}-{z}^{\mathrm{{G}}}}{{r}^{\mathrm{{T}}}-{r}^{\mathrm{{G}}}}\right),{\text{{for}}}\;{r}^{\mathrm{{T}}}\neq {{r}}^{\mathrm{{G}}},$ | (3) |
| $ \frac{b+a{z}^{\mathrm{{T}}}}{b+a{z}^{\mathrm{{G}}}}=\frac{1-\tan {\beta }_{2}\tan {\beta }_{1}}{1+\tan {\beta }_{2}\tan {\beta }_{1}} 。$ | (4) |
当
| $ \tan {\beta }_{1}=\frac{1}{2}\frac{a({r}^{\mathrm{{T}}}-{r}^{\mathrm{{G}}})}{b+a{z}^{\mathrm{{T}}}}。$ | (5) |
将
| $ T=-\frac{1}{a}\left(\ln \frac{1+\sin {\theta }^{\mathrm{{T}}}}{\cos {\theta }^{\mathrm{{T}}}}-\ln \frac{1+\sin {\theta }^{\mathrm{{G}}}}{\cos {\theta }^{\mathrm{{G}}}}\right) 。$ | (6) |
RBF神经网络(RBFNN)可以映射任何非线性关系,结构更简单,具有局部映射的特点,收敛速度更快。它是一个3层前向神经网络:第一层是输入层,神经元数量等于输入向量的维数;第二层是隐藏层,神经元数量取决于具体情况;第三层为输出层,其神经元数量等于输出向量的维数。
RBF以隐含层神经元为基础构成隐含层空间,使得输入向量可以直接映射到隐含层空间而无需连接权值,只要找到RBF的中心点就可以确定映射关系。RBF神经网络的隐含层一般采用高斯函数作为激活函数,其表示为:
| $ {\varphi }_{p}(X-{C}_{p})={\mathrm{exp}}\left(-\frac{X-{C}_{p}^{2}}{2{\sigma }^{2}}\right)。$ | (7) |
式中:
| $ y_0= \omega_{0o}\varphi_o +\sum^{p=1}_P \omega_{po}\varphi_{P}(X-C_p)。$ | (8) |
式中:
本文依赖于RBF网络结构的灵活性和二阶式RBFNN,通过结合实时信号传播时间,增加声速场输入纬度,构建TRBFNN,如图4所示。
|
图 4 TRBF声速场构建模型 Fig. 4 TRBF sound velocity field construction model |
在历史样本中选取测区的n个剖面作为样本,然后在每个剖面的深度方向上划分为m个数据点。那么轮廓矩阵T可以构造为:
| $ T=\left[\begin{matrix}{t}_{1}({h}_{0}) & {t}_{2}({h}_{0}) & \cdots & {t}_{n}({h}_{0})\\ {t}_{1}({h}_{1}) & {t}_{2}({h}_{1}) & \cdots & {t}_{n}({h}_{1})\\ \vdots & \vdots & \ddots & \vdots \\ {t}_{1}({h}_{m}) & {t}_{2}({h}_{m}) & \cdots & {t}_{n}({h}_{m})\\ \end{matrix}\right]。$ | (9) |
式中:
计算矩阵
| $ R=\frac{1}{n}\text{Δ}{T}_{m\times n}\text{Δ}T_{m\times n}^{\mathrm{{T}}}。$ | (10) |
计算矩阵
| $ {R}_{m\times m}{F}_{m\times m}={\lambda }_{m\times m}{F}_{m\times m}。$ | (11) |
式中:
| $ P=\sum_{k}^{i=1} \lambda_{i} / \sum_{m}^{j=1} \lambda_{j} 。$ | (12) |
在分析UUV航行轨迹数据时,数据点的时间顺序对模型构建至关重要。由于传统DBSCAN(Density-Based Spatial Clustering of Applications with Noise)聚类算法未考虑时间序列的顺序性,在应用于UUV数据时可能存在误差。例如,欧氏距离可能使异常点与正常点的距离看似可达,但忽略了时间间隔,从而影响异常值的识别。此外,传统DBSCAN在处理大规模UUV数据时计算量较大。鉴于UUV数据按时间序列排列,同簇数据点应在时间上连续,这对聚类准确性提出了更高要求。
为此,本文对DBSCAN算法进行了优化。通过添加声速剖面梯度序号索引作为新维度,将一维数据扩展为二维,并对距离值与梯度索引进行归一化以消除量纲差异。改进后的DBSCAN算法从随机选取一个点开始,判断其是否为核心点,若满足条件则寻找与其密度相连的点,将其归为同一簇,并继续扩展,直到无法加入更多点完成簇的构建。未归入任何簇的点被标记为异常点或噪声点。此优化方法不仅结合了声速剖面梯度特征,还有效降低了计算复杂度,提高了异常检测的准确性和效率,适用于处理大规模UUV轨迹数据。
改进后DBSCAN 算法流程(见图5)如下:
|
图 5 时序融合重构数据流程 Fig. 5 Time series fusion reconstruction data flow |
步骤1 对每个距离值
| $ {t}_{{{i}_{d}}}=\frac{{d}_{\mathrm{i}}-\min (D)}{\max (D)-\min (D)} ,$ | (13) |
| $ {t_{{i}_{s}}}=\frac {t_i-{\min}(T)}{{\max}(T)-{\min}(T)}。$ | (14) |
式中:
步骤2 将梯度序列和距离数据转换为二维数据集:
| $ DT=\{({t}_{{{i}_{s}}},{t}_{{{i}_{d}}})\mid i=1,2,3,\ldots,n\} 。$ | (15) |
步骤3 计算归一化后的数据点之间的欧氏距离:
| $ D(t_{s},t_{d})=\sqrt{\left(t_{{i}_{s}}-{t}_{{j}_{s}}\right)^{2}+\left(t_{{i}_{d}}-{t}_{{j}_{d}}\right)^{2}}。$ | (16) |
步骤4 从二维数据集DT的第一个数据点开始,将其归入第一个簇C_1。
步骤5 对于每个后续数据点,如果它与前一个数据点之间的距离不超过预设的最小邻域半径eps,则将归入相同簇;否则,创建一个新簇。
步骤6 完成聚类后,计算每个簇中的数据点数量。如果某个簇的数据点数量少于“MinPts”,则将该簇视为噪声或离群值。
步骤7 重复以上步骤,直到所有数据点都被分类。
2.5 基于SSP的最小残差定位优化以下给出基于SSP的MRLA算法的步骤:
步骤1 输入:目标异常节点采样测量值(经纬度、深度、航速和航向)和当前梯度下SSP构建结果。
步骤2 初始化粒子位置
| $ B_g^1(t)=\arg \mathop{\min}\limits_{m=1:M}f(X_m^1(t))。$ | (17) |
步骤3 根据个体最优和全局最优,按以下公式更新粒子。其中,
| $\begin{split}V_{m}^{w}(t)=& wV_{m}^{w-1}(t)+{c}_{1}\xi (B_{m}^{w-1}(t)-\\ &X_{m}^{w-1}(t))+{c}_{2}\eta (B_{g}^{w-1}(t)-X_{m}^{w-1}(t)),\end{split} $ | (18) |
| $ X_{m}^{w}(t)=X_{m}^{w-1}(t)+V_{m}^{w-1}(t)。$ | (19) |
步骤4 更新局部最优和全局最优:
| $ B_{m}^{w}(t)=\left\{\begin{aligned} &B_{m}^{w-1}(t),f(X_{m}^{w}(t)) \gt f(B_{m}^{w-1}(t)),\\ &X_{m}^{w}(t),f(X_{m}^{w}(t))\leqslant f(B_{m}^{w-1}(t))。\\ \end{aligned} \right.$ | (20) |
| $ B_{g}^{w}(t)=\left\{\begin{aligned} &B_{g}^{w-1}(t),\mathop{\min}\limits_{m=1:M}f(X_{m}^{w}(t))>f(B_{g}^{w-1}(t)),\\ &X_{m}^{w}(t),\mathop{\min}\limits_{m=1:M}f(X_{m}^{w}(t))\leqslant f(B_{g}^{w-1}(t))。\end{aligned}\right. $ | (21) |
步骤5 重复步骤3,直至
步骤6 记录每时刻的全局最优值,
数据拟合之后的坐标估计可以写为:
| $ \hat{X}(t)={[\hat{x}(t),\hat{y}(t),\hat{z}(t)]}^{\mathrm{{T}}}。$ | (22) |
选取x轴方向h段进行数据拟合,有
| $ \left\{\begin{aligned} &t_{1}^{k}{\alpha }_{k}+t_{1}^{k-1}{\alpha }_{k-1}+\cdots +t_{1}^{1}{\alpha }_{1}+{\alpha }_{0}={\hat{x}}_{1},\\ &t_{2}^{k}{\alpha }_{k}+t_{2}^{k-1}{\alpha }_{k-1}+\cdots +t_{2}^{1}{\alpha }_{1}+{\alpha }_{0}={\hat{x}}_{2},\\ &\vdots \\ &t_{h}^{k}{\alpha }_{k}+t_{h}^{k-1}{\alpha }_{k-1}+\cdots +t_{h}^{1}{\alpha }_{1}+{\alpha }_{0}={\hat{x}}_{h}。\\ \end{aligned}\right. $ | (23) |
式中:t为采样时间,k为拟合阶数。上述方程可以用向量的形式缩写为:
| $ \boldsymbol{t}\cdot \boldsymbol{A}=\boldsymbol{\hat{x}}。$ | (24) |
其中,
| $ \boldsymbol{t}=\left[\begin{matrix}t_{1}^{k} & t_{1}^{k-1} & \cdots & t_{1}^{1} & 1\\ t_{2}^{k} & t_{2}^{k-1} & \cdots & t_{2}^{1} & 1\\ \vdots & \vdots & \cdots & \vdots & \vdots \\ t_{h}^{k} & t_{h}^{k-1} & \cdots & t_{h}^{1} & 1\\ \end{matrix}\right] ,\boldsymbol{A}=\left[\begin{matrix}{\alpha }_{k}\\ {\alpha }_{k-1}\\ \vdots \\ {\alpha }_{0}\\ \end{matrix}\right] ,\boldsymbol{\hat{x}}=\left[\begin{matrix}{\hat{x}}_{1}\\ {\hat{x}}_{2}\\ \vdots \\ {\hat{x}}_{h}\\ \end{matrix}\right]。$ |
当h ≥ k +1时,A可以解为:
| $ \boldsymbol{A}={({{\boldsymbol{t}}^{\mathrm{{T}}}}\boldsymbol{t})}^{-1}{\boldsymbol{t}}^{\mathrm{{T}}}\boldsymbol{\hat{x}}。$ | (25) |
当h<k +1时,将定位结果视为最终估计,而无需拟合过程。当获得拟合的多项式系数后,在当前时刻t的x轴方向的轨迹坐标可以被校正为:
| $ {\widehat{x}}_{t}={\alpha }_{k}{t}^{k}+{\alpha }_{k-1}{t}^{k-1}+\cdots +{\alpha }_{1}{t}^{1}+1。$ | (26) |
y坐标和z坐标的计算与其方法类似,因此此处省略。
3 仿真实验 3.1 实验准备实验时间:2024年10月。
实验地点:在某湖定域环境为长为α n mile,宽为β n mile的典型矩形水域内开展。
实验目的:主要模拟UUV在CV(匀速直线)运动模型的场景。所搭载的深度传感器,通常采用压力传感器,通过测量水压的变化来计算深度。
航速和航向是UUV导航和运动控制的关键参数,主要通过多普勒测速仪(DVL)、惯性导航系统(INS)和超短基线定位系统(USBL)获得。DVL利用声呐技术来测量UUV相对于水流的速度,提供航速和航向信息,这对UUV在水下的导航至关重要,特别是在路径规划和避障过程中。INS结合了加速度计和陀螺仪,能够测量UUV的加速度和角速度,通过对这些测量值进行积分,进而估计UUV的位置和姿态,这在长时间导航和保持位置时尤为重要。USBL则通过声呐测量UUV相对于水面基站的位置,从而实现精确定位。航行器系统指标如表1所示。
|
|
表 1 水下无人航行器系统指标 Tab.1 Underwater unmanned aerial vehicle system index |
TRBFNN模型数据样本采用某年某区域Argo数据(China Argo Real-time Data Center)。UUV轨迹增强算法测试样本中首先保留了UUV的编号、时间戳以及7项基本动态参数,包括经度、纬度、深度、航速(沿x轴)、航速(沿y轴)、航速(沿z轴)和航向。时间信息在进行时间序列分析时具有重要意义,特别是在处理缺失数据和增强链路密度分析的环节。UUV收集到的数据经过降维筛选后数据的格式如表2所示。
|
|
表 2 采集数据范围 Tab.2 Data acquisition range |
本文利用中国Argo实时数据中心提供的某年某区域的温度、深度垂直剖面数据来评价RBFNN的构建准确度。为了准确地理论指导隐含层神经元的数量设计,本文采用枚举法寻找合适的参数,并给出了选择的6个不同时期浅水SSP训练的反演结果。随着隐含层神经元数量的增加,反演误差逐渐减小并趋于稳定。当数量较少时,TRBFNN很容易出现欠拟合问题,从而使反演结果大大恶化。可以看出,当神经元数量达到100时,反演性能会下降。为了获得最佳的SSP反演精度,参考图6确定隐藏层神经元的最佳数量为80。在这些最优隐藏层设置下,图7给出了后续测试SSP训练次数与性能的关系。
|
图 6 不同隐层神经元个数的SSP构建RMSE Fig. 6 Number of neurons in different hidden layers |
|
图 7 基于TRBFNN的SSP反演收敛性 Fig. 7 Convergence of SSP inversion based on TRBFNN |
图8为该数据集各段时间的预测结果进行展示,有效构建深度为120 m。由于水下的温度受季节性影响较大,导致其声速呈现出随季节变化的趋势。
|
图 8 TRBF声速剖面结构图 Fig. 8 TRBF sound speed profile structure diagram |
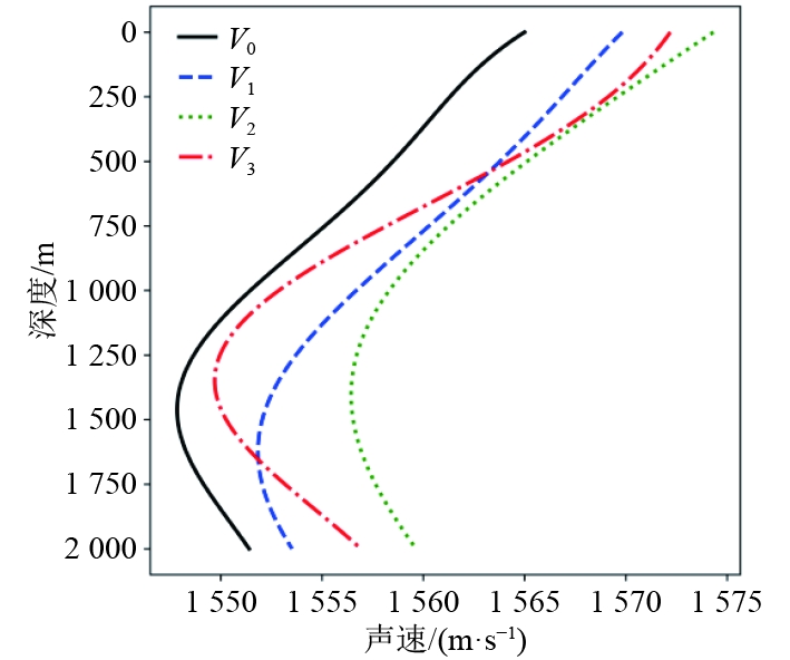
图9为选取数据集中8月声速剖面构建对比结果,
|
图 9 声速剖面构建结果对 Fig. 9 Sound velocity profile construction result pair |
为了更好地模拟水下场景,本实验模拟CV运动模型进行仿真实验。基于上述SSP构建环境,选用水下三梯度样本进行抽取低数据量重构实验,确保算法在聚类时的可靠性,在针对最终异常点水下位置数值精确定位时,本文采用最小残差定位算法,具体结果如表3所示。基于上述环境设置,分别模拟了传统RBF+MRLA方法和本文改进方法(TRBF+优化型MRLA)并对其结果拟合成新的UUV轨迹。结果如图10所示。
|
|
表 3 CV状态下不同模型的效果误差 Tab.3 The effect error of different models in CV statee |
|
图 10 CV状态下轨迹拟合效果对比 Fig. 10 Comparison of trajectory fitting effect under CV state |
基于表3所示的实验结果,本研究对RBF+MRLA和TRBF+MRLA两种方法的性能进行了系统比较与分析。实验数据表明,改进后的TRBF+MRLA方法在多个关键指标上均展现出显著优势。在异常检测能力方面,TRBF+MRLA方法取得了92%的检测准确率,较传统RBF+MRLA方法的87%提升了5.41%。这一改进充分体现了TRBF结构在特征提取方面的优越性。就轨迹拟合精度而言,TRBF+MRLA的均方根误差降至0.476,表明其具有更优的轨迹逼近能力。误差分析结果显示,TRBF+MRLA方法的最小误差和平均误差均较基准方法有所降低,证实了该方法的稳定性优势。综合而言,TRBF+MRLA方法在保持算法鲁棒性的同时,实现了检测精度和拟合准确度的同步提升。
4 结 语UUV是海洋探索监测的重要工具,但因其所处水下环境复杂,采集的轨迹数据常面临不确定性与丢失问题,如何有效增强 UUV 轨迹数据成为重要研究方向。本文提出一种基于射线理论和人工智能模型的水下声速反演算法。引入RBF神经网络对声速剖面进行非线性建模,结合历史样本与现场测量数据,建立信号ToF与声速剖面的非线性关系,高精度拟合声速随深度变化。在轨迹数据增强方面,结合声速剖面划分结果,先对同一簇内数据点的欧氏距离与声速梯度索引归一化,提高对异常值检测的灵敏度,再通过最小残差定位算法增强位置信息。该算法减少噪声干扰,提高轨迹拟合精度与稳定性,在等梯度声速剖面上效率与适应性更高。现场实验验证,本文模型在多场景性能优越,能适应动态环境声速剖面变化,拟合轨迹精度较传统方法提高约5.4%。但是,该研究在某些场景下存在不足,基于射线理论的声速反演模型对水下更深处预测的声速与实际数值存在差异,未来可优化算法计算效率与适应性,结合多源异构数据增强轨迹补全可靠性,挖掘深度学习模型在处理时序数据方面的潜力,进一步提升 UUV 轨迹补全与数据拟合精度。
| [1] |
宋跃才, 林海涛, 卞媛, 等. 基于移动信标的水下无线传感器网络定位算法[J]. 电子测量技术, 2023, 46(5): 44-49. SONG Y C, LIN H T, BIAN Y, et al. A localization algorithm for underwater wireless sensor networks based on mobile beacons[J]. Electronic Measurement Technology, 2023, 46(5): 44-49. DOI:10.19651/j.cnki.emt.2210742 |
| [2] |
田青, 赵宇, 张正, 等. 基于Enhanced Zero-DCE++的水下选通图像增强技术研究[J]. 电子测量技术, 2025, 48(1): 166-174. TIAN Q, ZHAO Y, ZHANG Z, et al. Enhanced Zero-DCE++-based underwater gated image enhancement[J]. Electronic Measurement Technology, 2025, 48(1): 166-174. DOI:10.19651/j.cnki.emt.2416878 |
| [3] |
胡武清, 贾云飞, 杨玉全, 等. 单平台水下定位系统设计与实现[J]. 电子测量技术, 2024, 47(14): 178-185. HU W Q, JIA Y F, YANG Y Q, et al. Designing and implementing a single-platform underwater positioning system[J]. Electronic Measurement Technology, 2024, 47(14): 178-185. DOI:10.19651/j.cnki.emt.2416070 |
| [4] |
谢军, 刘庆军, 边朗. PNT体系视角下卫星导航与不依赖卫星导航技术融合发展研究[J]. 中国工程科学, 2023, 25(2): 64-71. XIE J, LIU Q J, BIAN L. Integrated development of satellite-based and satellite-independent PNT technologies: a perspective from the PNT architecture[J]. Strategic Study of CAE, 2023, 25(2): 64-71. DOI:10.15302/J-SSCAE-2023.02.006 |
| [5] |
LU J, ZHANG H, WU P, et al. Predictive modeling of future full-ocean depth SSPs utilizing hierarchical long short-term memory neural networks[J]. Journal of Marine Science and Engineering, 2024, 12(6): 943. DOI:10.3390/jmse12060943 |
| [6] |
LIU Y, CHEN Y, CHEN W, et al. Research on Large Depth Extension Method of Global Underwater Sound Speed Profile[C]//2024 OES China Ocean Acoustics (COA). IEEE, 2024: 1−6.
|
| [7] |
韩先平, 陈祥明. 折射率湿项对靶场经纬仪测高精度的影响分析[J]. 应用光学, 2024, 45 (4): 790−795. HAN X P, CHEN X M. analysis of influence of refactivity wet term on height measurement accuracy of cinetheodlite[J]. Journal of Applied Optics, 2024, 45 (4): 790−795. |
| [8] |
BUDD M, DUCKWORTH P, HAWES N, et al. Bayesian reinforcement learning for single-episode missions in partially unknown environments[C]//Conference on Robot Learning. PMLR, 2023: 1189−1198.
|
| [9] |
PELEKANAKIS K, KONDI A, RUSSO A, et al. Simulation of Climate Change Impact on Underwater Acoustic Transmission Loss[C]//OCEANS 2024-Singapore. IEEE, 2024.
|
| [10] |
WU P, ZHANG H, SHI Y, et al. Real-time estimation of underwater sound speed profiles with a data fusion convolutional neural network model[J]. Applied Ocean Research, 2024, 150: 104088. DOI:10.1016/j.apor.2024.104088 |
| [11] |
LIU H, JIANG Q, QIN Y, et al. Double layer weighted unscented Kalman underwater target tracking algorithm based on sound speed profile[J]. Ocean Engineering, 2022, 266: 112982. DOI:10.1016/j.oceaneng.2022.112982 |
| [12] |
JIANG L, LI Y, WANG B, et al. Cooperative Localization of Asynchronous AUVs with Compensation for the Acoustic Wave Bends[J]. IEEE Signal Processing Letters, 2024.
|
| [13] |
YU X, XU T, WANG J. Sound velocity profile prediction method based on rbf neural network[C]//China Satellite Navigation Conference (CSNC) 2020 Proceedings: Volume III. Springer Singapore, 2020: 475−487.
|
| [14] |
HUANG W, ZHOU J, GAO F, et al. Underwater sound speed profile construction: a review[J]. Arxiv Preprint Arxiv: 2310.08251, 2023.
|
| [15] |
LI D, DU L. Auv trajectory tracking models and control strategies: A review[J]. Journal of Marine Science and Engineering, 2021, 9(9): 1020. DOI:10.3390/jmse9091020 |
| [16] |
ZHANG Y, HU H, FU W, et al. Particle swarm optim ization–based minimum residual algorithm for mobile robot localization in indoor environment[J]. International Journal of Advanced Robotic Systems, 2017, 14(5): 17298814−17729277.
|
2026, Vol. 48
