2. 江苏科技大学 船舶与海洋工程学院,江苏 镇江 212100
2. School of Naval Architecture and Ocean Engineering, Jiangsu University of Science and Technology, Zhenjiang 212100, China
轮缘推进器(Rim-Driven Thruster, RDT)[1]作为一种最近备受关注的创新型电力推进装置,其独特之处在于电机的定子和转子被集成于导管内部,且转子直接与螺旋桨连接固定,从而无需传统的轴系来传递主机供给的驱动转矩,电机直接驱动推进器桨叶从而大大减少了船上空间的布置,也规避了常规轴系动力传递所产生的轴系振动、密封泄漏以及传递能耗等难题[2]。
RDT推进器作为船舶动力系统的核心部位,其水动力性能的优良不仅关系航行船舶的稳定性和可靠性,还与船舶能耗与经济性存在密切关联。目前针对无轴轮缘推进器的水动力性能及几何结构参数优化在业内已有大量研究[3,4],提升其推进效率成为了广大学者的研究热点。LIU等[5]针对RDT桨叶的水动力部件开展优化研究,对螺距比和盘面比进行了多参数优化研究,结果证明优化确实能小幅度提升RDT推进效率。NIE等[6]采用响应面方法针对RDT的盘面比、螺距比和纵斜角开展了优化研究,优化效果显著。ZHAI等[7]和GAGGERO[8]采用B样条函数建立模型,分别针对RDT导管和桨叶开展了参数化设计并完成了多目标优化,从而提高了轮缘推进器的水动力效率和空化性能。陈振纬等[9]基于STAR-CCM+针对常规反厚度桨型和翼型反厚度桨型的轮缘推进器,开展了压力、流场及涡量分布的对比分析,结果表明,翼型反厚度桨型的抗空化能力更强,能量耗散更少。宋科等[10]结合SST k-ω湍流模型和熵产理论分析方法,针对轮缘推进器(RDT)和导管桨(DP)开展了数值对比研究,研究结果表明RDT在全进速范围内比DP具有更高的推力与扭矩。宋显成等[11]采用CFD方法开展了RDT各几何特征对其水动力性能的影响分析,结果显示无毂RDT比有毂RDT具有更小的最优梢径比。
目前来看,大部分轮缘推进器的研究成果主要集中在推进器本身的水动力性能预报和结构参数优化方面,通过改变桨叶、导管形式等参数对轮缘推进器推进效率的增幅相对有限。传统螺旋桨的节能附体被广泛证明对于提升推进效率具有显著的效果[12],然而针对轮缘推进器的节能附体(前置定子或后置定子等)的研究相对较少。陈昊等[13-14]分别针对轮缘推进器提出了新型前置一阶等差桨前定子附体和前置不对称预旋定子附体,使得轮缘推进器的推进效率得到了3%左右的性能提升。为了进一步提高轮缘推进器水动力性能,本文以某轮缘推进器为模型提出了一种新型后置节能定子,并开展安装后置节能定子前后的轮缘推进器水动力性能对比研究,采用STAR-CCM+对直流和斜流工况下推进器的水动力性能进行模拟,并探讨其载荷特性和流场特征的演变规律,为后续RDT设计及其优化提供理论基础。
1 数值模拟方法 1.1 湍流模型本文研究的水体为不可压缩流体,其RANS控制方程为[15]:
| $ \frac{{\partial {u_i}}}{{\partial {x_i}}} = 0,$ | (1) |
| $ \begin{split} \frac{{\partial \left( {\rho {u_i}} \right)}}{{\partial t}} + & \frac{{\partial \left( {\rho {u_i}{u_j}} \right)}}{{\partial {x_j}}} = - \frac{{\partial p}}{{\partial {x_i}}} + \frac{\partial }{{\partial {x_j}}}\left( {\mu \left( {\frac{{\partial {u_i}}}{{\partial {x_j}}} + \frac{{\partial {u_j}}}{{\partial {x_i}}}} \right)} \right) + \\ &\frac{\partial }{{\partial {x_j}}}\left( { - \rho \overline {u_i^\prime u_j^\prime } } \right) + {S_i}。\end{split} $ | (2) |
式中:
| $ \frac{\partial }{{\partial t}} (\rho k) + \frac{\partial }{{\partial {x_i}}} \left( {\rho k{u_i}} \right) = \frac{\partial }{{\partial {x_j}}}\left[ {\left( {\mu + \frac{{{\mu _t}}}{{{\sigma _k}}}} \right)\frac{{\partial k}}{{\partial {x_j}}}} \right] + {\tilde G_k} - \rho {\beta ^ * }k\omega,$ | (3) |
| $ \begin{split} \frac{\partial }{{\partial t}}(\rho \omega ) + &\frac{\partial }{{\partial {x_j}}}\left( {\rho \omega {u_j}} \right) = \frac{\partial }{{\partial {x_j}}}\left[ {\left( {\mu + \frac{{{\mu _t}}}{{{\sigma _\omega }}}} \right)\frac{{\partial \omega }}{{\partial {x_j}}}} \right] + \\ &{G_\omega } - \rho \beta {\omega ^2} + {D_\omega }。\\ \end{split} $ | (4) |
无轴轮缘推进器可看成是一种将驱动电机集成到导管螺旋桨中的特种推进器,其结构主要包括集成电机、导管、转子和后置定子等部件。为了方便对比加装新型后置节能定子前后的无轴轮缘推进器的敞水性能,针对水动力系数进行了无量纲化处理[17],具体如下:
| $ J = \frac{V}{{n{D_r}}},$ | (5) |
| $ {K_T} = \frac{{{T_r}}}{{\rho {n^2}D_r^4}} + \frac{{{T_s}}}{{\rho {n^2}D_r^4}} + \frac{{{T_d}}}{{\rho {n^2}D_r^4}},$ | (6) |
| $ {K_Q} = \frac{{{Q_r}}}{{\rho {n^2}D_r^5}} ,$ | (7) |
| $ \eta = \frac{J}{{2{\text π} }}\frac{{{K_T}}}{{{K_Q}}}。$ | (8) |
式中:J为进速系数;n为转速,r/s;V为远场入口流速,m/s;Dr为转子叶片直径,m;ρ为流体密度,kg/m3;Tr、Ts和Td分别为转子、后置定子和导管产生的推力,N;Qr为转子扭矩,N·m。KT为轮缘推进器的总推力;KQ为轮缘推进器的总扭矩;
为了验证数值计算方法是否准确以及评估网格划分设置是否合理,同时考虑到轮缘推进器与导管螺旋桨结构上的相似性,本文采用19A+KA4-70导管桨进行数值仿真方法的验证。
首先根据ITTC标准参照网格细化比
|
图 1 导管桨的3种不同密度网格 Fig. 1 Three different density grids for ducted propellers |
|
图 2 导管桨仿真结果与实验值对比 Fig. 2 Comparison between simulation results and experimental values of ducted propeller |
当前对轮缘推进器的研究多集中于桨叶的几何参数对其水动力性能的影响,而对其节能附体的研究相对缺乏,本文针对轮缘推进器提出一种新型后置定子以提升其推进性能,其结构构造简单,且集成安装便捷。新型后置定子能够对桨叶尾流进行整流和加速,从而对旋转尾流进行能量回收以减少能量耗散,同时后置定子的布置有助于减少桨叶旋转所产生的不利扭矩。加装新型后置节能定子前后的无轴轮缘推进器如图3所示,新型后置节能定子的详细三维结构如图4所示。
|
图 3 2种轮缘推进器的示意图 Fig. 3 Schematic diagram of two types of rim-driven thrusters |
|
图 4 新型后置定子附体三维模型 Fig. 4 3D model of novel rear-stator |
无后置定子轮缘推进器包括一个四叶片转子和一个导管,如图3(a)所示;后置定子轮缘推进器包括一个四叶片转子、一个七叶片后置定子和一个导管,如图3(b)所示。其中,轮缘推进器直径为0.2 m,螺距比为1.2,盘面比为0.7,叶剖面形状取为NACA66。采用参考坐标系
|
|
表 1 2种轮缘推进器的几何参数 Tab.1 Geometric parameters of two types of rim-driven thrusters |
本研究采用滑移网格技术对计算域进行精细划分,以确保数值模拟的准确性,计算域划分如图5所示。滑动网格技术被应用于旋转域与静态域的交互处理,特别适用于周期性旋转的桨叶计算,从而持续推进器各部件的水动力特性和流场稳定。本研究设定长度为
|
图 5 轮缘推进器的计算域划分 Fig. 5 Computational domain partitioning for rim-driven thruster |
2种轮缘推进器网格划分如图6所示。为保障高网格质量,通过在轮缘推进器转子及导管表面实施面控制以加密网格,同时在边缘采取线控制,进一步细化网格布局。为了精确捕捉轮缘推进器尾流特征,尾部特别设置了尾流加密区。基于前述网格经验,常规轮缘推进器网格数量约为490万,加装后置定子轮缘推进器网格数量约为620万。本文仿真计算中时间步长取为
|
图 6 2种轮缘推进器的网格划分 Fig. 6 Meshing of two types of rim-driven thrusters |
|
图 7
轮缘推进器 |
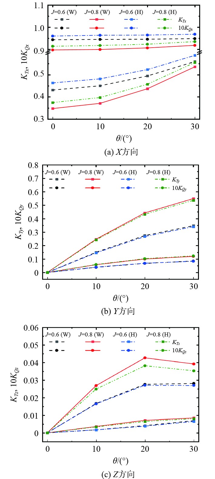
螺旋桨尾流场中非定常涡旋结构复杂多变,针对轮缘推进器及新型后置节能定子,本文深入分析了有无新型后置定子的轮缘推进器在直流及斜流工况下的非定常流体动力特性。与全回转导管桨的工作原理相似,对于轮缘推进器而言除了直航工况(斜流角θ=0°)以外,还存在各个角度的回转运动,这样导致斜流工况下(斜流角θ≠0°)轮缘推进器面临着侧向载荷,对航行器的姿态稳定性产生一定影响。特别是新型后置定子的存在,对轮缘推进器的敞水性能和流场的影响值得深入探讨。因此,深入分析无附体轮缘推进器与加装后置定子的轮缘推进器在斜流状态下的载荷、流动特性和流场变化,具有较为重要的研究价值。
3.1 敞水性能分析针对加装新型后置定子前后的2种轮缘推进器,选取进速系数J=0.6和J=0.8两个典型工况,开展轴向直流(θ=0°)及不同的斜流角情况下(θ=10°,20°,30°)的仿真分析与对比,设置转子转速为
|
图 8 转子推力、转矩随斜流角度变化图 Fig. 8 Rotor thrust and torque variation with yaw angle |
图9是2种轮缘推进器转子旋转一个周期内的瞬态载荷(β=0°~360°)变化,可知在转子旋转一个周期内,随着斜流角度θ的增加,转子所受的瞬态载荷随之增大,θ=30°斜流角的力和力矩最大,θ=10°斜流角时的力和力矩最小;θ=30°时加装后置定子时推进器转子瞬态载荷波峰波谷差值较未加装后置定子时波动更小,即加装后置定子后转子的推进载荷波动幅度变小,这是由于后置定子对推进器转子尾流的能量回收作用,使得后置定子不仅提高了推进器的推进效率,还抵消了前方转子的扭矩从而达到扭矩平衡,有利于提升航行器的稳定性。
|
图 9 2种轮缘推进器转子旋转一周内的轴向受力(J=0.6) Fig. 9 Axial forces in the rotor of two types of rim-driven thrusters during one week of rotation (J=0.6) |
对斜流条件下2种轮缘推进器的转子推力系数进行FFT频域分析(推进器叶频f=76 Hz),结果如图10所示。对于后置定子轮缘推进器,转子推力系数
|
图 10 2种轮缘推进器推力的FFT频域曲线(J=0.6) Fig. 10 FFT frequency domain curves of rotor thrust for two types of rim-driven thrusters (J=0.6) |
本文在进速系数J=0.8下,选取直向轴流和斜流(
|
图 11 2种轮缘推进器水质点流线(θ=0°/20°) Fig. 11 Two types of rim-driven thrusters water quality point flow lines (θ=0°/20°) |
对比分析2种轮缘推进器转子桨叶表面的压力分布,如图12所示,发现后置定子的存在并未显著改变转子桨叶表面压力的基本分布特性,即压力从桨叶导边到随边、从桨叶端部到叶梢逐渐减小,转子桨叶叶缘处有较强的正压力,其从叶缘到叶面中心逐渐向负压状态转变。随着斜流角度的增加,
|
图 12 2种轮缘推进器吸力面压力分布(θ=0°/20°) Fig. 12 Suction and thrust surface pressure distribution for two types of rim-driven thrusters (θ=0°/20°) |
如图13中虚线圆圈和实线放大方框所示,对比观察
|
图 13 2种轮缘推进器速度场(θ=0°/20°) Fig. 13 Velocity field for two types of rim-driven thrusters (θ=0°/20°) |
本文针对轮缘推进器提出了一种新型后置节能定子,并深入分析了有无新型后置定子的轮缘推进器在直流及斜流工况下的非定常流体动力特性。基于STAR-CCM+软件,采用
1)新型后置定子的引入显著改变了推进器在轴向载荷和侧向载荷方面的表现,使得推进器
2)FFT频域分析表明,在斜流影响下后置定子起到能量回收的作用,使得转子推力系数的频域特性产生显著变化,后置定子轮缘推进器在转子迎流面上的叶频特征更加明显,在整数倍叶频上具有明显的波动幅值。
3)水流质点轨迹分析进一步证实,后置定子轮缘推进器的尾流情况要优于无定子轮缘推进器,后置定子的存在能使各斜流角下转子桨后尾流情况得到改善。尾流分析进一步揭示了后置定子的存在使得推进器尾流流场的速度差异更为均匀,从而提升了推进器在斜流下的推进性能。
4)从转子桨叶表面压力分布来看,后置定子的存在并未改变转子桨叶表面压力分布特征。同时无论有无后置定子的存在,斜流下转子桨叶叶面的平均压力要大于直流下转子桨叶压力。
总的来说,后置定子的引入不仅改善了轮缘推进器的水动力性能,显著提升了推进器的尾流恢复能力,尤其在斜流条件下有效减少了尾流的不稳定性和尾涡的破碎,还可抵消前方转子的扭矩从而达到扭矩平衡,对于提高航行器操控性和姿态稳定性意义明显。
| [1] |
CAI B A, TIAN B B, QIU L Y, et al. Application of the body force method in the Rim-Driven thruster[J]. International Journal of Naval Architecture and Ocean Engineering, 2022, 14: 100476. DOI:10.1016/j.ijnaoe.2022.100476 |
| [2] |
YAN X P, LIANG X X, OUYANG W, et al. A review of progress and applications of ship shaft-less Rim-Driven thrusters[J]. Ocean Engineering, 2017(1): 142-156. |
| [3] |
LI P, SUN C, YAO H D, et al. The effects of domain division types on the performance prediction of a Rim-Driven thruster[J]. Ocean Engineering, 2023, 287(1): 115809. |
| [4] |
LIU B, VANIERSCHOT M, BUYSSCHAERT F. Effects of transition turbulence modeling on the hydrodynamic performance prediction of a Rim-Driven thruster under different duct designs[J]. Ocean Engineering, 2022, 256: 111142. DOI:10.1016/j.oceaneng.2022.111142 |
| [5] |
LIU L L, JIANG W, LIU Z W, et al. Multi-objective optimization of shaftless Rim-Driven thruster based on ISIGHT[J]. Journal of Physics, 2022, 2369(1): 12023. |
| [6] |
NIE Y Z, OUYANG W, ZHANG Z, et al. Multi-parameter optimization analysis of hydrodynamic performance for Rim-Driven thruster[J]. Energies, 2023, 16(2): 891. DOI:10.3390/en16020891 |
| [7] |
ZHAI S, JIN S B, CHEN J Q, et al. CFD-based multi-objective optimization of the duct for a Rim-Driven thruster[J]. Ocean Engineering, 2022, 264: 112467. DOI:10.1016/j.oceaneng.2022.112467 |
| [8] |
GAGGERO S. Numerical design of a RIM-Driven thruster using a RANS-Based optimization approach[J]. Applied Ocean Research, 2020, 94: 101941. DOI:10.1016/j.apor.2019.101941 |
| [9] |
陈振纬, 周赵烨. 基于Ka4-70桨型的轮缘推进器水动力性能分析[J]. 船舶工程, 2023, 45(12): 75-83+93. CHEN C W, ZHOU Z Y. Hydrodynamic blade design and analysis of Rim-Driven thruster based on Ka4-70 propeller[J]. Ship Engineering, 2023, 45(12): 75-83+93. DOI:10.13788/j.cnki.cbgc.2023.12.10 |
| [10] |
宋科, 杨邦成. 轮缘推进器与导管桨水动力及能量损失特性对比研究[J]. 舰船科学技术, 2023, 45(15): 41-45+80. SONG K, YANG B C. A comparative study on the hydrodynamics and energy loss characteristics between a rim-driven thruster and a ducted propeller[J]. Ship Science and Technology, 2023, 45(15): 41-45+80. DOI:10.3404/j.issn.1672-7649.2023.15.008 |
| [11] |
宋显成, 赵国平, 苑利维, 等. 轮缘推进器水动力性能影响因素数值研究[J]. 船舶工程, 2020, 42(7): 67-71+163. SONG X C, ZHAO G P, YUAN L W, et al. Numerical research of hydrodynamic performance impact factors of rim-driven thruster[J]. Ship Engineering, 2020, 42(7): 67-71+163. DOI:10.13788/j.cnki.cbgc.2020.07.13 |
| [12] |
朱斌, 杨君, 黄树权, 等. 船舶水动力节能装置应用研究[J]. 舰船科学技术, 2021, 43(23): 140-144. ZHU B, YANG J, HUANG S Q, et al. Application of energy saving devices on the ships in service[J]. Ship Science and Technology, 2021, 43(23): 140-144. DOI:10.3404/j.issn.1672-7649.2021.12.025 |
| [13] |
陈昊, 吴炳良, 李冬琴, 等. 轮缘推进器新型桨前附体的水动力性能分析[J]. 舰船科学技术, 2024, 46(21): 47-53. CHEN H, WU B L, LI D Q, et al. Hydrodynamic performance analysis of a novel appendage based on the rim-driven thruster[J]. Ship Science and Technology, 2024, 46(21): 47-53. DOI:10.3404/j.issn.1672-7649.2024.21.008 |
| [14] |
YANG H X, LI D Q, ZHANG F. Numerical analysis of the hydrodynamic performance impact of novel appendage on rim-driven thruster[J]. Journal of Marine Science and Application, 2024, 23(4): 762-775.
|
| [15] |
JIANG Y C, LI Y K, WU C J, et al. Assessment of RANS and DES turbulence models for the underwater vehicle wake flow field and propeller excitation force[J]. Journal of Marine Science and Technology, 2022, 27: 226-244. DOI:10.1007/s00773-021-00828-8 |
| [16] |
MENTER F R. Two-equation eddy-viscosity transport turbulence model for engineering applications[J]. AIAA Journal, 1994, 32(8): 45-60. |
| [17] |
NGUYEN V T, CHANDAR D. Ship specific optimization of pre-duct energy saving devices using reduced order models[J]. Applied Ocean Research, 2023, 131: 103449. DOI:10.1016/j.apor.2022.103449 |
| [18] |
GAGGERO S, RIZZO C M, TANI G, et al. EFD and CFD design and analysis of a propeller in decelerating duct[J]. International Journal of Rotating Machinery, 2012, 1-15. |
2026, Vol. 48

