获取海上油气最常用的方法是使用浮式采油储油卸油(FPSO)技术,卸载作业是FPSO设计的一个重要方面,是整个天然气和石油生产过程中的一个组成部分。液化天然气船(LNG)与FPSO 两者之间存在水动力相互影响和船体间的相互运动,为保证其正常作业,防止发生碰撞事故,对其进行水动力的研究分析是必要的。
最早Ohkus[1]、Kodan[2]等许多研究者对于多浮体系统水动力干扰问题的研究仅限于二维切片理论的计算。但随着计算机的高速发展,基于格林函数的三维势流理论方法快速的应用到多浮体系统水动力的计算中。Wang等[3]建立了一个利用具有瞬态格林函数的三维(3D)势流理论来预测两船并靠系统的水动力扰动和运动响应的数学模型。Joao等[4]对FPSO系统和在迎浪中并排漂浮的穿梭油轮的波诱导运动进行了数值研究。Huang等[5]利用三维势流理论研究了非平行并排配置下单壳浮体和FPSO之间的被动伸缩通道的响应。波浪载荷与多浮体之间的耦合作用是分析多浮体水动力系统响应的关键,一般用粘性流理论和势流理论,势流理论方法计算效率高,适用于初步设计和参数分析,但难以考虑粘性效应和强非线性现象。与势流理论相比,粘性理论有较好的计算精度。因此,粘性流方法依旧是研究多浮体系统水动力干扰的重要方法。Kouki等[6]使用DualSPHysics模拟恶劣海况下的船舶六自由度运动,通过与物理模型实验的对比,系统地研究了SPH方法在浮体运动方面的预测精度。丁绱等[7]采用基于SPH的DualSPHysics开源软件模拟了方箱型浮体运动和液舱晃荡的耦合问题,并分析了二维与三维模拟结果的差异性。Siti等[8]使用DualSPHysics模拟刚性浮式结构物在规则波下的运动响应,并对不同的波浪生成提供了参数建议。Van der Valk等[9]采用水池试验模拟FLNG旁靠作业,分析发现在极端海况下两船之间的连接需采用全动力定位系统。Hong等[10]通过模型试验分析了不同浪向下LNG船旁靠FLNG时受到的波浪力和水动力变化的影响因素。Zhu等[11]研究了多个并排浮体之间的间隙共振对水动力作用的影响,发现间距的特性对多体辐射的共振频率和振幅有很大影响。He等[12]对一浮体运动而另一浮体固定工况中的高次谐振进行了研究。Jian等[13]采用基于势流理论的数值模型,研究了一种铰接式模块化浮式多体结构对模块数量、模块布置、入射波角度的水动力敏感性。Li等[14]采用边界元法研究由波浪引起的两艘自由漂浮的货船之间的间隙共振现象。
研究海上天然气开发装卸水动力时多浮体系统水动力干扰现象,既要考虑多浮体间相互运动带来的干扰,又需要考虑间隙流对浮体运动的干扰,多浮体间距是影响水动力特性的关键因素之一。确定最佳间距范围对于多浮体系统设计至关重要。同时,内外流共同作用对多浮体系统的干扰作用时十分复杂的,然关于这方面的研究还有很大空缺。本文为此研究了入射波频率、船间横向距离和液舱装载率对多浮体水动力现象的干扰,采用DualSPHysics求解两船并靠时的动态响应和船体受力情况。
1 数值方法和模型设置 1.1 模型设置采用简化的LNG船进行耐波性数值模拟,船体内部设有2个棱形液舱,LNG船体三维几何模型如图1所示。采用1/100的缩尺模型进行数值模拟,船体模型的主要尺度见表1,更详细的几何参数可见参考文献[15]。本文中不同装载条件下,船体结构的重量和转动惯量均保持不变。吃水随装载率的变化而变化,更加合理,符合实际情况。在耐波性计算中,释放船体的垂荡、横摇和纵摇3个运动自由度,限制横荡、纵荡和艏摇3个运动自由度。
|
图 1 LNG船的三维模型图 Fig. 1 3D model of LNG ship |
|
|
表 1 LNG船主尺度参数 Tab.1 Main particulars of LNG Ship in model scale |
为了研究并靠两LNG船的多浮体系统在内外流场作用下的水动力现象,基于DualSPHysics对简化LNG船在规则波中的运动进行了模拟,如图2所示,在SPH求解器中建立长宽高分别为12、5、2 m的数值水池,如图2所示,1号船放置在距离推波板4 m处,2号船并排放置在1号船右边,并靠船舶的间距为Bg。采用光滑粒子进行流体域离散,进行数值水池内流体粒子的填充与生成。根据液舱尺寸设置液舱内流体域范围并将舱内液体离散成粒子间距dp=0.01 m的流体粒子模型。针对所建立的数值水池,LNG船以零航速在不同参数规则波中进行模拟,本文所选取的计算工况见表2,本文共计算了17个工况。在表2中,所有工况均在横浪中进行,工况1~工况9采用波长船长比λ/L为0.5~2.7的外部波浪参数获得船舶运动RAO值后,确定运动最值的波长。然后工况10~工况15改变船间距Bg为0.1~0.6 m,测定并靠船舶的距离对船体周围流场的影响。工况16~工况17选择了0%H的空载船舶和50%H的船舶,这里的H是液舱的高度,来分析内部流场对船体的运动影响。
|
图 2 数值水池 Fig. 2 Numerical tank |
|
|
表 2 计算工况 Tab.2 Numerical simulation conditions |
本节以船舶在横浪状态下,波高h=0.1 m的波浪,选取了规则波的波长范围为λ/L为0.5~2.7(0.5、0.9、1.0、1.2、1.3、1.5、2.0、2.7)的工况进行了数值模拟。图3为简化LNG船在不同波长下的运动幅值变化曲线,由图3(a)看到1号船和2号船的垂荡运动都是先增大后减小,2号船的垂荡幅值大于1号船。两船的垂荡幅值始终保持在波幅附近。图3(b)为并靠船舶的横摇运动幅值,并靠船舶均在λ/L=1时达到最值,此时波长最接近船长,入射频率也最接近该装载率下船的横摇共振频率,在这之后并靠船舶的横摇运动随着波长的增大而减少。图4为两船之间的波浪高度随波长变化曲线,由图知窄缝处的波高大于入射波高,这也导致了到达2号船波高大于到达1号船的波高,所以2号船的垂荡幅值大于1号船。结果表明在这个波长范围内,下游船舶的垂荡大于上游船舶的,下游船舶的横摇小于上游船舶的。当波长较大时,两船的运动幅值趋于一致。
|
图 3 并靠船舶运动幅值 Fig. 3 Amplitude of motion of two ships |
|
图 4 间隙波高随波长变化 Fig. 4 Change of gap wave height with wavelength |
λ/L=1时,测量了水池中不同位置处的水面波高如图5所示,X=3 m是波浪未到达的船体的波高变化,X=4.4 m是两船间隙处的波高变化,X=5.4 m是两船后的波高变化,可以观察到并靠船舶之间的波高最大。图6为λ/L=1时的并靠船舶运动时历曲线对比,图6(a)并靠船舶的垂荡运动,1号船的垂荡幅度小于2号船的,根据图5分析这是因为到达1号船的浪高小于到达2号船的波浪高度,因为并靠船舶间隙过小导致窄缝处的波高变大,从而增大了2号船的垂荡运动幅度。图6(b)为并靠船舶的横摇运动,1号船的横摇幅度大于2号船的,这是由于船两侧的波高差不同,根据图5知1号船的两侧波高差值大于2号船的两侧的差值。
|
图 5 波高时历曲线 Fig. 5 Wave height time history curve |
图7为并靠船舶的在波浪场中的受力幅值变化对比曲线。在共振点处1号船和2号船受到的波浪力十分接近,但运动幅度在此时却相差很大。这里垂向力是周期性的即规则波浪,垂荡幅值取决于激励频率与浮体固有频率的关系,垂荡幅值增长不再与垂向力成正比。图8为并靠船舶在共振点处的受力时历变化对比曲线,此时1号船和2号船的水平受力十分接近,1号船的垂向受力小于2号船的垂向受力。
|
图 6 并靠船舶运动的时历曲线对比 Fig. 6 Comparison of the time-history curves of the two ship movements |
|
图 7 并靠船舶的受力幅值变化 Fig. 7 Variation of stress amplitude of two ships |
|
图 8 λ/L=1时的并靠船舶受力变化曲线 Fig. 8 Stress change curve of two ships when λ/L=1 |
为了研究两船并靠时,间距对两船之间的影响,船舶在横浪状态中,以入射波周期T=1.41 s、波高h=0.1 m的波浪下,选取了0.1、0.2、0.3、0.4、0.5、0.6 m的船间距进行模拟。图9为两船并靠时,船体的运动幅值随并靠船舶间距变化的曲线,图9(a)为两船的垂荡运动变化曲线,并靠船舶的垂荡运动幅值随间隙减小而增大,1号船在不同间距下的最大垂荡幅值和最小相差5%,2号船在不同间距下的最大垂荡幅值和最小相差12.8%,说明两船之间的距离对并靠船体的垂荡运动影响差异不明显,而且随着船间距的增大,两船的垂荡幅值趋于一致。图9(b)为两船的横摇运动变化曲线,两船的横摇运动幅值随着距离的增大呈现先增大后减小的趋势,都在Bg=0.3 m时达到最值,可知两船的横摇运动不是距离越小越大,而是在某一特定距离下达到峰值,实际工程时应避免这一距离。因为遮蔽效应,1号船的横摇运动始终大于2号船,当船并排时的间距较大时,运动幅度接近单船状态,间距适中时,共振效应显著,运动幅度增大。较宽的窄缝下水体共振造成的浮体运动幅度要大于较窄的窄缝情况下,因为较宽的窄缝对应的共振时水体的抬高要大,即双浮体附近尤其是窄缝附近的水体运动更剧烈。
|
图 9 并靠船舶运动幅值随船间距变化 Fig. 9 The amplitude of two-ship motion varies with the distance between ships |
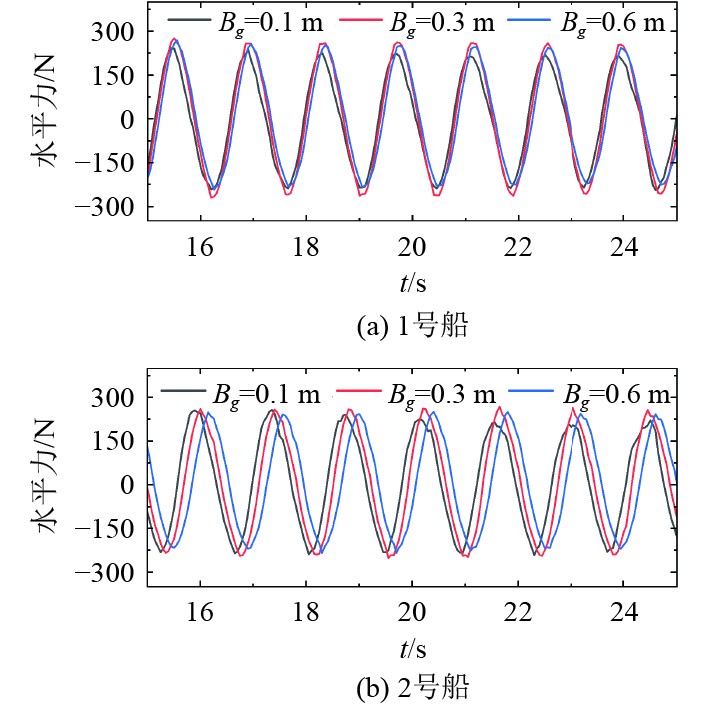
图10为并靠船的垂荡运动在并靠距离Bg=0.1 m、Bg=0.3 m和Bg=0.6 m的变化时历曲线对比,由图可知迎浪1号船的垂荡运动受另一侧船只的影响不大,而两船并排时的船间距对背浪侧2号船的影响明显。图11为船并靠时的横摇运动在并靠距离Bg=0.1 m、Bg=0.3 m和Bg=0.6 m的变化时历曲线对比。可知,两船间距的改变对背浪侧的船只运动影响较大,而迎浪侧的船舶运动对船间距的改变不敏感。
|
图 10 不同间距下并靠船舶垂荡运动变化曲线对比 Fig. 10 Comparison of variation curves of heave motion of two ships at different spacing |
|
图 11 不同间距下并靠船舶横摇运动变化曲线对比 Fig. 11 Comparison of rolling motion curves of two ships at different spacing |
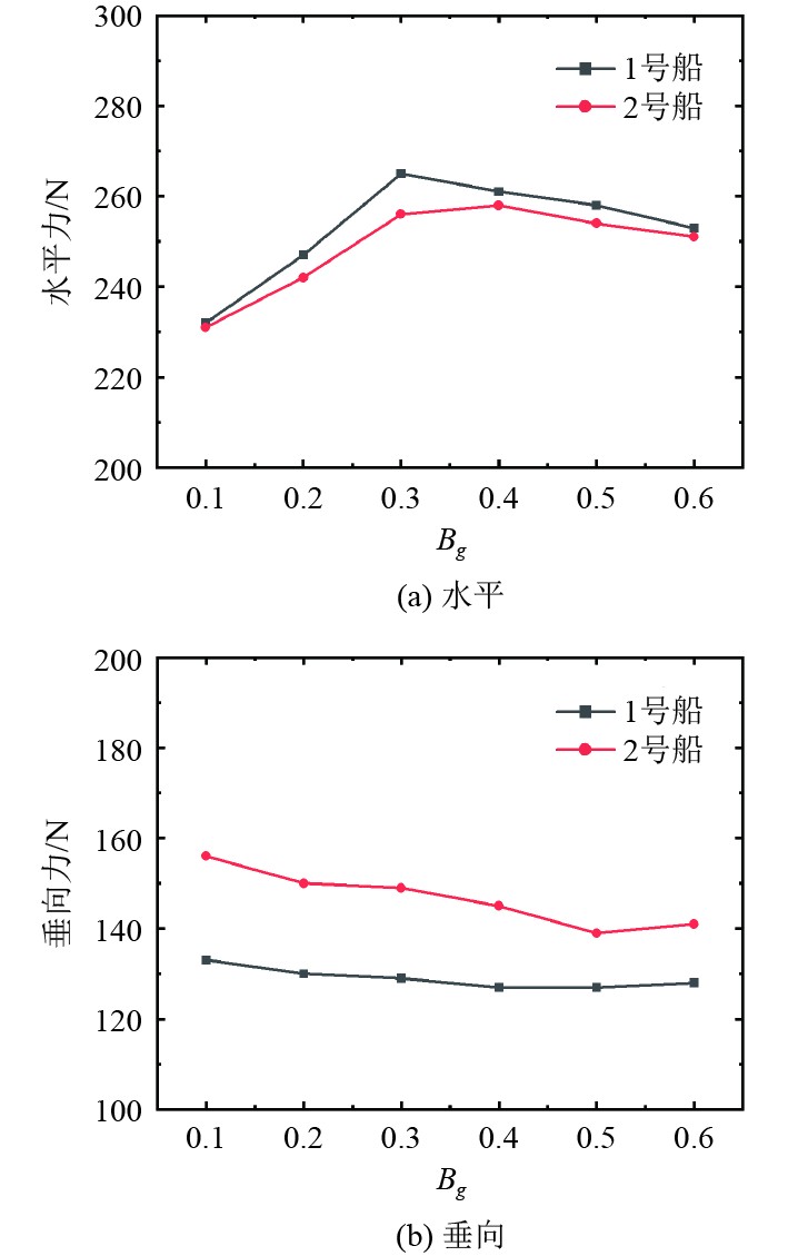
图12为不同船间距下的并靠船舶受力幅值变化曲线,图12(a)为并靠船舶水平受力变化,船的水平方向受力先增大后减小,在Bg=0.3 m处达到最值,在远离共振点处,并靠船舶的水平受力都很接近。图12(b)为并靠船舶垂直方向受力变化,船体的垂向力随着船间距的增大而减小,1号船的最大垂向受力与最小垂向受力仅差4.7%,2号船的最大垂向受力与最小垂向受力差12.2%,这表明两船并排水动力时,迎浪侧的船垂向受力受船间距影响不大,背浪侧的船垂向受力会随着距离的减小而增大。图13为并靠船舶水平受力在不同间距下的时历曲线对比,图14为并靠船舶垂向受力在不同间距下的时历曲线对比。由图可知船间距的改变对1号船垂向力的作用不明显,这说明船并排水动力时,船间距不是影响迎浪侧的船舶的垂向力大小的主要因素,而2号船的垂向力随间距的增大缓慢减少。
|
图 12 并靠船舶的受力幅值随船间距变化曲线 Fig. 12 The stress amplitude of two ships varies with the distance between ships |
|
图 13 不同船间距下并靠船舶的水平受力时历曲线对比 Fig. 13 Comparison of horizontal stress time curve of two ships under different ship spacing |
|
图 14 不同船间距下并靠船舶的垂直受力时历曲线对比 Fig. 14 Comparison of horizontal stress time curve of two ships under different ship spacing |
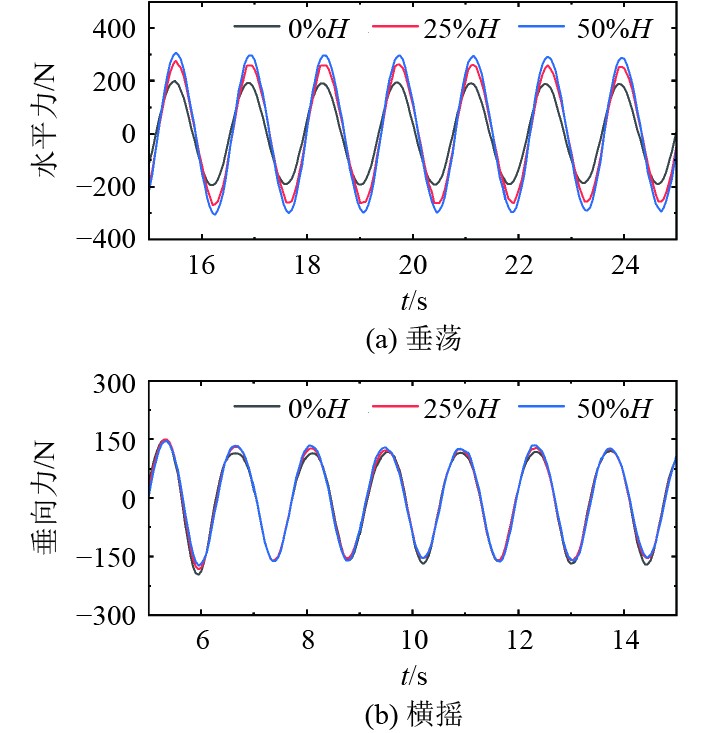
为了研究载液率对并靠船舶运动的影响,以波长船长比λ/L=1、波高h=0.1 m、并靠船舶间距Bg=0.3 m,横浪工况下,选取了并靠船舶载液率分别为0%H、25%H、50%H时的工况进行了模拟。图15和图16为不同载液率下的船舶的垂荡和横摇时历曲线对比。可知,随着载液质量的增加,船体吃水增加,垂荡中心改变明显,0、25%H、50%H装载率下的船体的垂荡运动幅度变化逐渐减少。另一方面,船的横摇中心也随着装载量而变化,载液率越大,横摇幅度越大,50%H的载液率1号船比0%H的横摇角增加了18.3%。结果表明由于载液率的提高,液舱内流体质量增加,液舱内的流体改变了船体横摇方向转动惯量,耦合效应加剧了船舶横摇运动幅度,随着载液率增加,液舱晃荡耦合效应对船舶横摇运动的加剧作用越显著。
|
图 15 1号船在不同载液率下的运动对比曲线 Fig. 15 Comparison curves of ship1 movement at different loading rates |
|
图 16 2号船在不同载液率下的运动对比曲线 Fig. 16 Movement comparison curves of ship2 at different liquid loading rates |
对0%H、25%H、50%H等3种不同装载率的船体受力进行对比分析。表3为不同装载率的船体受力幅值数据对比,随着载液率的增加,船体的受力也增大。图17和图18为船体水平力和垂向力随装载率变化的时历对比曲线,可知载液率对船体的水平方向受力有明显影响,对垂向受力的影响甚微。
|
|
表 3 不同装载率的船体受力幅值对比 Tab.3 Comparison of ship stress amplitudes with different loading rates |
|
图 17 不同载液率下的1号船受力变化时历曲线 Fig. 17 Time history curve of ship1 under different loading rate |
|
图 18 不同载液率下的2号船受力变化时历曲线 Fig. 18 Time history curve of ship2 under different loading rate |
本文采用基于SPH的DualSPHysics开源代码对双浮体在规则波中的运动响应进行了模拟分析,通过研究得到以下结论:
1)横浪中在某范围的入射频率内,因为双浮体的并靠距离较小,有窄缝效应从而导致上游船舶的垂荡运动小于下游船舶。当波浪入射频率接近该装载率下浮体的固有频率时,会出现共振现象,双浮体的横摇运动出现最值。在规则波中,垂荡幅值取决于激励频率与浮体固有频率的关系,垂荡幅值增长不再与垂向力成正比。而浮体的横摇幅值和浮体的水平受力变化趋势一致。
2)双浮体并靠时会在某个船间距下出现共振现象,适当距离的窄缝更易引起船体的剧烈运动,而导致危险出现。不同的船体间距下,与上游船体相比下游船体的运动响应更容易受到船体并靠的距离的影响。双浮体的间距越大,两个浮体的受力和运动越接近。
3)液舱内的流体会改变船体横摇方向转动惯量,耦合效应加剧了船舶横摇运动幅度,随着载液率增加,液舱晃荡耦合效应对船舶横摇运动的加剧作用显著。载液率的增加对船体的水平力影响明显,对垂向力影响较小。
| [1] |
OHKUS M. On the heaving motion of two circular cylinders on the surface of a fluid[J]. Reports of Research Institute for Applied Mechanics, 1969, 17(58): 167-185. DOI:10.5109/7170234 |
| [2] |
KODAN. The motions of adjacent floating structures in obliques waves[J]. Journal of Energy Resources Technology, 1984, 1(2): 199-205. |
| [3] |
WANG J, LI J, GAI X. Coupled motions of two ships in waves on 3D method[J]. Journal of Ship Mechanics, 2003, 06(3): 12-25. |
| [4] |
JOAO P, NUNO F, GUEDES S C. Side-by-side FLNG and shuttle tanker linear and second order low frequency wave induced dynamics[J]. Ocean Engineering, 2016, 111: 234-253.
|
| [5] |
HUANG W, LI B. CHEN B, et al. Numerical and experimental studies on dynamic gangway response between monohull flotel and FPSO in non-parallel side-by-side configuration[J]. Ocean Engineering, 2018, 149: 341-357.
|
| [6] |
KOUKI K, HIROTADA H, AKIHIKO M, et al. SPH simulation of ship behaviour in severe water-shipping situations[J]. Ocean Engineering, 2016, 120: 220-229.
|
| [7] |
丁绱, 焦甲龙, 赵明明. 液舱晃荡与浮体运动耦合的二维与三维SPH模拟影响研究[J]. 中国造船, 2023, 64(1): 180-191. DING S, JIAO J L, ZHAO M M. Research on the influence of two-dimensional and three-dimensional sph simulation coupling of liquid tank sway and floating body motion[J]. Shipbuilding of China, 2023, 64(1): 180-191. DOI:10.3969/j.issn.1000-4882.2023.01.016 |
| [8] |
SITI A T H S, MUHAMMAD Z R, MUHAMMAD A A, et al. Rigid-body analysis of a beveled shape structure in regular waves using the weakly compressible smoothed particle hydrodynamics (WCSPH) method[J]. Journal of Marine Science and Application, 2021, 20(4): 621-631.. DOI:10.1007/s11804-021-00235-w |
| [9] |
VAN DER VALK C A C, Watson A. Mooring of LNG carriers to a weather vaning floater—side-by-side or stern-by-bow[C]//Proceedings of Offshore Technology Conference. Houston, 2005.
|
| [10] |
HONG S Y, KIM J H, et al. Experimental study on behavior of Tandem and side-by-side moored vessels[J]. Wageningen, SC-DLO, 1999, 2002: 21. |
| [11] |
ZHU R C, MIAO G P, ZHU, et al. The radiation problem of multiple structures with small gaps in between[J]. Journal of Hydrodynamics Ser B, 2006, 18, 520–526.
|
| [12] |
HE G H, JING P L, ZHAO M, et al. Nonlinearities of the gap resonance for a free-heaving moonpool: Higher-order harmonics and natural frequency component[J]. Ocean Engineering, 2023, 286: 115627.. DOI:10.1016/j.oceaneng.2023.115627 |
| [13] |
JIANG C Q, EL MOCTAR O, SCHELLIN T E. Hydrodynamic sensitivity of moored andarticulated multibody offshore structures in waves[J]. Journal of Marine Science andEngineering, 2021, 9(9):1028.
|
| [14] |
LI Y, CHE X, LIU H, et al. Numerical investigation of coupled barge motions and wave-induced gap resonance[J]. Physics of Fluids, 2025, 37(2): 027186.
|
| [15] |
JIANG S, TENG B, BAI W, et al. Numerical simulation of coupling effect between ship motion and liquid sloshing under wave action[J]. Ocean Engineering, 2015, 108: 140-154. DOI:10.1016/j.oceaneng.2015.07.044 |
2026, Vol. 48
