2. 中国船级社上海规范研究所,上海 200135
2. China Classification Society Shanghai Institute of Rules, Shanghai 200135, China
船用节镍型双相不锈钢S32101凭借其优异的力学性能、耐腐蚀性以及通过降低镍含量实现的经济性优势,在船舶制造和海洋工程领域应用广泛[1]。然而在含氯离子的苛刻环境中,例如海水环境,点蚀仍然是导致其失效的主要形式之一,严重影响材料的服役寿命和安全性[2]。目前针对S32101的点蚀评价方法尚未形成统一标准,传统的电化学测试和微观表征技术虽然被广泛采用,但针对其特殊的双相组织所引发的局部腐蚀机理仍需系统研究。
因此,建立适用于S32101的标准化点蚀评价体系对于优化材料设计和提升工程可靠性具有重要意义。王宇欣等[3]设计并开展恒载荷应力条件、恒变形应力条件以及应变速度呈缓慢变化态势下的腐蚀状态分析试验,旨在系统评估核电站用双相不锈钢S32101焊接接头在含氯溶液等典型介质环境中的点蚀行为特征及演化规律。但此研究未深入分析焊接接头不同区域的点蚀差异机制,不同区域组织、残余应力等不同,点蚀行为存在差异,笼统评估焊接接头,不利于精准掌握薄弱部位的点蚀规律及针对性防护。麦嘉琪等[4]使用支持向量回归模型,分析“输入因素-点蚀电位”的非线性映射关系,通过学习已知样本的“元素/工艺/环境参数”与“点蚀电位”数据,训练出预测模型,用于推算未知样本的点蚀电位。但不锈钢点蚀电位主要由元素间协同效应决定,未引入先验腐蚀机理约束模型参数,导致预测结果可能违背物理规律。雷欣等[5]使用核电厂硼酸溶液,设计正交测试试验,分析Cl-浓度对核电厂水池覆面用不锈钢材料点蚀的协同影响。使用原位电化学阻抗谱分析方法,分析点蚀萌生过程,由容抗弧衰减速率判断钝化膜破损临界条件。但现实服役场景中,不锈钢材料易受温度波动、流速变化或微生物腐蚀等复杂因素影响,单一介质难以完全反映真实腐蚀行为。饶思贤等[6]以电化学测试为基础,结合微观表征揭示不锈钢材料腐蚀机理。通过数值模拟与原位监测优化防护策略,构建“机理分析-性能评价-防护技术”的不锈钢局部腐蚀行为研究体系。但研究体系中未明确量化应力、温度、溶液流速等环境参数对腐蚀机理的协同影响,机理模型可能仅适用于静态溶液条件。
由于船用节镍型双相不锈钢S32101的焊接热影响区存在明显的组织非均质性,且在海水环境中承受复杂的动态腐蚀作用,导致难以准确模拟实际服役工况、揭示两相协同腐蚀机制[7 − 9]。因此,本文提出船用节镍型双相不锈钢S32101点蚀评价方法,系统研究船用节镍型双相不锈钢S32101点蚀行为。
1 材料与方法 1.1 试验设备与材料 1.1.1 试验设备为确保试验的准确性和可靠性,选取的设备需具备高精度、稳定性和良好的适用性,能够满足船用节镍型双相不锈钢S32101试样制备、检测及性能测试的各项要求。具体设备信息如表1所示。
|
|
表 1 试验设备 Tab.1 Test equipment |
试验材料的选择需符合船用节镍型双相不锈钢S32101相关试验的标准要求,确保材料的质量和性能稳定,以保证试验结果的准确性和可靠性。具体材料信息如表2所示。
|
|
表 2 试验材料 Tab.2 Test materials |
选取12.5 mm厚度的S32101节镍双相不锈钢热轧钢板制作试样,化学成分(见表3)与力学性能(见表4)均满足标准要求。
|
|
表 3 S32101化学成分 Tab.3 Chemical composition of S32101 |
|
|
表 4 S32101力学性能 Tab.4 Mechanical properties of S32101 |
鉴于从生产现场获取的S32101不锈钢原始试样材料组织难保均匀,为此进行“固溶处理”,改善其内部组织结构,使其均匀化,为后续的点蚀评估等实验提供可靠材料基础。具体如下:采用台式箱式炉对S32101不锈钢原始试样进行固溶,设定固溶温度为
对固溶处理试样作如下处理:非测试面用环氧树脂封装,试样表面位置用松香石蜡填充缝隙,避免缝隙出现点蚀问题;使用水砂纸将试样表面打磨至镜面后,使用丙酮、酒精和去离子水清洗吹干,静置干燥24 h后取出用于点蚀试验分析。试样焊接示意图如图1所示。
|
图 1 船用节镍型双相不锈钢S32101试样焊接示意图 Fig. 1 Welding diagram of marine nickel saving duplex stainless steel S32101 specimen |
S32101双相不锈钢中含有氮元素,可提高强度及焊接接头的耐点蚀性能。当S32101试样中铁素体和奥氏体两相比例适当时(以铁素体含量是45%为最优),其综合性能最佳。若两相比例偏离此范围,材料的耐点蚀性和力学性能均会下降。当铁素体含量低于25%时,抗拉强度及耐氯化物应力腐蚀性能显著降低。当铁素体含量超过75%时,冲击韧性和耐点蚀性能将明显恶化。因此,在进行点蚀试验前,需依据ASTM E562-19标准对焊缝区包括熔合线、热影响区及母材进行铁素体含量测定,确保相比例符合标准要求,以排除组织因素对耐点蚀性能评价的干扰,在此基础上开展点蚀性能评估。
1.4 点蚀评价方法船用节镍型双相不锈钢S32101试样点蚀主要从点蚀率评价、电化学点蚀性能评价2个角度着手研究。
1.4.1 ASTM A1084-15a方法ASTM A1084-15a是针对双相不锈钢的试验标准,用于检测材料中的有害金属间相,涉及金相检查、点蚀试验等。本研究选用该标准中的方法C测试S32101双相不锈钢的耐点蚀性能。
将制备好的S32101试样,浸入温度为(25±1)℃的5%FeCl3+1%NaNO3溶液中进行24 h点蚀试验,计算其点蚀率
| $ A = \frac{{{V_1} - {V_2}}}{R} \times {10^4} 。$ | (1) |
式中:
为进一步分析海水温度和浓缩度对船用节镍型双相不锈钢S32101试样点蚀性能的影响,实验溶液由分析纯试剂和去离子水配制而成。按照ASTM D1141标准人工海水成分(NaCl、MgCl2、Na2SO4、CaCl2、KCl、NaHCO3、KBr和SrCl2的浓度分别为24.54、5.21、4.08、1.17、0.71、0.21、0.11和0.04 g/L),配制浓缩度CR为1.55倍的海水,溶液pH值用0.16 mol/L的NaOH溶液调至8.2,实验溶液温度分别为20℃、30℃、40℃、50℃、60℃。
1.4.2 电化学方法电化学测试系统结构如图2所示。使用电化学测试系统检测S32101试样时,采用标准三电极体系(工作电极、参比电极、对电极)连接恒电位仪。通过电化学工作站施加特定电位扫描信号,该信号经内置功率放大器放大后驱动电化学反应。在模拟海水环境中,可观察到包括点蚀引发、钝化膜破裂等特征电化学行为。工作电极的实时电位由高阻抗电位监测通道采集,并相对于参比电极的稳定电位进行校准。同时,通过零阻电流计(ZRA)精确测量工作电极与对电极间的法拉第电流,经模数转换后传输至计算机。
|
图 2 电化学方法实验示意图 Fig. 2 Schematic diagram of electrochemical method experiment |
船用节镍型双相不锈钢S32101表面金相分析使用光学显微镜完成,通过光学显微镜可清晰观察试样表面的组织结构、晶粒大小以及可能的缺陷等,为分析点蚀行为与材料微观结构之间的关系提供直观依据。同时,采用扫描电子显微镜(SEM)对试样点蚀后的微观形貌进行表征,能够进一步深入观察点蚀坑的形态、尺寸、分布等特征,有助于深入理解点蚀的发生和发展机制。
2 试验数据分析 2.1 双相不锈钢S32101试样铁素体含量检测结果船用节镍型双相不锈钢S32101试样最后焊道区域、根部焊道金相图如图3和图4所示。
|
图 3 S32101试样最后焊道金相图 Fig. 3 Metallographic diagram of the last weld bead of S32101 specimen |
|
图 4 根部焊道金相图 Fig. 4 Metallographic diagram of root pass |
可知,船用节镍型双相不锈钢S32101试样铁素体未呈现“单一相主导”的异常形态(如连续粗大网状、孤立岛状);焊缝与热影响区的铁素体分布均匀,无明显偏析带。可推断铁素体含量比例适当,因此“不会对耐点蚀性能产生较大影响”。
2.2 点蚀评价 2.2.1 5%FeCl3+1%NaNO3溶液中S32101点蚀评价1)点蚀率量化分析
船用节镍型双相不锈钢S32101试样点蚀率测试结果见表5。
|
|
表 5 试样点蚀率量化分析数据 Tab.5 Quantitative analysis data of sample pitting rate |
可知,船用节镍型双相不锈钢S32101试样焊缝区的点蚀率显著低于母材,这表明母材区域的点蚀敏感性高于焊缝区。焊缝区在焊接时,熔化-凝固速度较快,便会形成相对均匀,且有利耐蚀的组织结构,点蚀敏感性也随之降低,相对于母材位置,其点蚀率较小。
2)微观形貌直观表征
船用节镍型双相不锈钢S32101试样母材和焊缝区在溶液中极化测试后的SEM形貌如图5所示。
|
图 5 极化SEM形貌 Fig. 5 Polarized SEM morphology |
可知,母材区观察到严重的点蚀形貌,焊缝区表面完整、无点蚀。母材经轧制、固溶等工艺,组织相对均匀,但可能存在如硫化物夹杂、位错露头、晶界碳化物沉积等“局部缺陷”,成为点蚀“突破口”。焊接时焊缝经历快速熔化-凝固,可能形成有利耐腐蚀的组织。
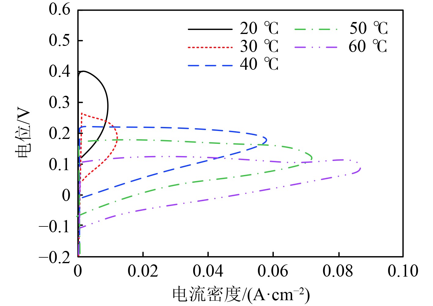
2.2.2 海水环境对S32101点蚀性能影响测试船用节镍型双相不锈钢S32101在海洋环境温度(20℃、30℃、40℃、50℃、60℃)中的循环阳极极化曲线,测试结果如图6所示。
|
图 6 海水温度和浓缩度对S32101点蚀性能的影响 Fig. 6 Effect of seawater temperature and concentration on pitting performance of S32101 |
可知,当船用节镍型双相不锈钢S32101试样电位处于限值时,电位曲线出现拐点,且电流密度变大,此时S32101钝化膜破坏并发生点蚀。随着海水温度的升高,S32101不锈钢的点蚀电位呈现持续下降趋势,表明温度对其耐蚀性能具有显著影响,是调控S32101不锈钢在海水环境中点蚀行为的关键因素。高温环境会弱化材料表面钝化膜的稳定性,同时加速电化学腐蚀动力学过程,从而显著增加材料发生点蚀和全面腐蚀的风险。
图7为60℃下浓缩度为1.55倍的海水中,S32101试样电极极化后典型点蚀形貌的SEM图像。
|
图 7 阳极极化后的点蚀形貌 Fig. 7 Pitting morphology after anodic polarization |
可知,船用S32101试样在海水环境中,点蚀状态在闭塞电池效应的影响下,形成多孔状蚀坑,会因温度值变大而加速自催化点蚀。现实应用中,如果船舶接触高温海水,需注意表面钝化问题,避免点蚀萌生与扩展。
3 结 语此次研究构建的船用节镍型双相不锈钢S32101点蚀评价方法,为深入剖析其在海水环境下的点蚀行为提供了可靠依据。主要结论如下:
1)S32101 母材区由于存在局部缺陷,其点蚀敏感性较高,而焊缝区因焊接过程中形成相对均匀且耐蚀的组织结构,点蚀敏感性较低。
2)ASTM A1084-15a方法可有效评估S32101的点蚀率,通过该标准方法获得的点蚀率数据能够准确反映材料在特定溶液中的耐蚀性能,为材料耐蚀性评价提供可靠的标准依据。
3)海水温度对点蚀性能影响显著,随着海水温度升高,S32101不锈钢的点蚀电位下降,耐蚀性能降低;高温和高浓缩度会加速点蚀的萌生与发展,在船舶工程应用中,对于接触高温和高浓缩度海水的部件,需重点关注并采取相应防护措施,如涂层保护、阴极保护等,以延长船舶部件的使用寿命,保障船舶的安全运行。
| [1] |
朱加雷, 郭方涛, 李守根, 等. S32101双相不锈钢U形坡口激光填充焊接修复工艺[J]. 焊接学报, 2024, 45(10): 69-78. ZHU J L, GUO F T, LI S G, et al. Laser filling welding repair process for U-shaped groove of S32101 duplex stainless steel[J]. Transactions of the China Welding Institution, 2024, 45(10): 69-78. |
| [2] |
李国平, 武敏. 冷变形对S32101双相不锈钢组织和力学性能的影响[J]. 钢铁, 2024, 59(7): 122-129. LI G P, WU M. Effect of cold deformation on microstructure and mechanical properties of S32101 duplex stainless steel[J]. Iron & Steel, 2024, 59(7): 122-129. |
| [3] |
王宇欣, 郭城湘, 胡月飞, 等. 核电站不锈钢焊接接头的应力腐蚀行为[J]. 腐蚀与防护, 2022, 43(5): 25-29,55. WANG Y X, GUO C X, HU Y F, et al. Stress corrosion behavior of welded joints of stainless steel in nuclear power plants[J]. Corrosion and Protection, 2022, 43(5): 25-29,55. |
| [4] |
麦嘉琪, 徐鹏程, 丁松, 等. 支持向量回归预测不锈钢的点蚀电位[J]. 上海大学学报(自然科学版), 2022, 28(3): 485-491. MAI J Q, XU P C, DING S, et al. Prediction of pitting potential for stainless steel by support vector regression[J]. Journal of Shanghai University(Natural Science Edition), 2022, 28(3): 485-491. |
| [5] |
雷欣, 杨天野, 陈婉琦, 等. 核电厂水池覆面用不锈钢结构件在含SO42-及Cl-硼酸溶液中的腐蚀行为[J]. 机械工程材料, 2023, 47(7): 31-36. LEI X, YANG T Y, CHEN W Q, et al. Corrosion behavior of stainless steel structural parts for nuclear power plant pool cladding in boric acid solution containing[J]. Materials for Mechanical Engineering, 2023, 47(7): 31-36. |
| [6] |
饶思贤, 郭祥钦, 华晓春, 等. 基于扫描电化学显微镜研究316L不锈钢的局部腐蚀行为[J]. 机械工程材料, 2023, 47(10): 68-73. RAO S X, GUO X Q, HUA X C, et al. Local corrosion behavior of 316L stainless steel studied by scanning electrochemical microscope[J]. Materials for Mechanical Engineering, 2023, 47(10): 68-73. |
| [7] |
RAFAEL M, SHOHEI U, EITA T. Ductility loss of a metastable austenitic stainless steel and its tig weldment due to hydrogen embrittlement at low temperatures considering the effect of pre-strain at 4 K[J]. ISIJ International, 2024, 64(14): 2042-2050. DOI:10.2355/isijinternational.ISIJINT-2024-182 |
| [8] |
刘晓军, 方超富, 宁凯, 等. 不锈钢焊管旋压损伤模型建立及损伤因子修正[J]. 计算机仿真, 2023, 40(8): 270-274. |
| [9] |
李杰, 周江维. 船用316L不锈钢管耐海水腐蚀研究[J]. 广船科技, 2023, 43(1): 92-94. |
2025, Vol. 47
